Зачёты по химии для школ при исправительных учреждениях

  • docx
  • 06.12.2025
Публикация на сайте для учителей

Публикация педагогических разработок

Бесплатное участие. Свидетельство автора сразу.
Мгновенные 10 документов в портфолио.

Иконка файла материала Зачёты по химии за 1 полугодие для пенницитарных школ.docx

8 класс

Зачет № 1 по химии

по темам «Первоначальные химические понятия. Важнейшие представители неорганических веществ (Воздух. Кислород. Понятие об оксидах. Водород. Понятие о кислотах и солях»

Инструкция для учащихся

Зачетная работа состоит из 13 заданий. На её выполнение отводится 40 минут. Задания рекомендуется выполнять по порядку. Если задание не удается выполнить сразу, перейдите к следующему. Если останется время, вернитесь к пропущенным заданиям.

1 вариант

Часть 1

1. Какой процесс не относится к химическим явлениям:

 а) ржавление железа     б) растворение сахара в воде   в) таяние снега                            

2. Химия – это наука, изучающая: а) свойства веществ       б) вещества 

в) вещества, их свойства и превращения в другие вещества:                                                

3. Химический элемент – это:   а) участник химических реакций      

б) элементарные частицы   в) определенный вид атомов с одинаковым зарядом ядра.     

4. Укажите, где о водороде говорится как о химическом элементе:

а) водород самый легкий газ на Земле     б) 2 атома водорода входит в состав молекулы воды   

в) водород – газ бесцветный, без вкуса и запаха                                                                               

5. Валентность водорода в соединениях равна: а) I     б) II     в) III    г) IV                          

6. Выберите из приведённого перечня веществ оксиды:  

  а) Н2О   б) K2MnO4  в) SO2   г) MnO2   д) CaCO3    е) NaOH                                                 

7.Укажите уравнение реакции разложения:                                                                       

а) 2Н2О + 2 Na = 2NaOH + H2       б) CaCl2 + Na2CO3 = CaCO3 + 2NaCl  

в) 2KМnO4 = K2MnO4 + MnO2 + O2     г) 2SO2 + O2 = 2 SO3

8. Молекулярная масса серной кислоты H2SO4  равна:     а) 102   б) 98   в) 44   г) 32         

9.Чему равна валентность фосфора в соединении Р2О5?  а) II  б) V   в) VI    г) I              

10.Дайте определение кислотам. Запишите формулу угольной кислоты.                           

Часть 2

11.Установите соответствие между названием вещества и формулой соединения.          

А) Соляная кислота                           1. NaOH.

Б) Хлорид натрия                               2. HCI

В) Оксид магния                                3. MgO

Г) Гидроксид натрия                         4. NaCI

Д) Гидроксидкалия                         

12. Найдите объём кислорода (н.у.), необходимого для сгорания 270 г алюминия. К какому типу относится эта реакция?

13. Вычислить массовую долю меди в соединении CuSO4.                                                  

 

Система оценивания отдельных заданий и зачетной работы в целом

В работу включено  10 заданий с выбором ответа из 4-х или 3-х предложенных, 2 задания   требующие краткого ответа учащегося  и  1 задание  с развёрнутым ответом.Работа состоит из 2-х частей:

Часть 1 (№ 1-10 ) содержит задания с выбором ответа первого уровня сложности .

Часть 2 (№ 11-13) содержит задания   повышенного уровня сложности.

За верное выполнение   задания 1-10  обучающийся получает  по 1 баллу, за неверный ответ или его отсутствие выставляется 0 баллов.  11-13 задания   – по 2 балла(при одной ошибке – 1б).

Максимальное количество баллов, которое может набрать обучающийся, правильно выполнивший задания 1 части работы – 10 баллов; 2 части – 6 баллов.

Максимальное количество баллов, которое может получить ученик за выполнение всей работы –

16 баллов.

 

 

 

 

 

8 класс

Зачет № 1 по химии

по темам «Первоначальные химические понятия. Важнейшие представители неорганических веществ (Воздух. Кислород. Понятие об оксидах. Водород. Понятие о кислотах и солях»

 Инструкция для учащихся

Зачетная работа состоит из 13 заданий. На её выполнение отводится 40 минут. Задания рекомендуется выполнять по порядку. Если задание не удается выполнить сразу, перейдите к следующему. Если останется время, вернитесь к пропущенным заданиям.

                                                              2 вариант

Часть 1

1. Химия - это наука, изучающая:   а) свойства веществ       б) вещества 

в) вещества, их свойства и превращения в другие вещества                                                

2. К химическим явлениям относятся:  а) выпадение осадка  б) таяние снега

в) появление ржавчины на железе                                                                                            

3. Химический элемент – это: а) участник химических реакций      

б) элементарные частицы в) определенный вид атомов с одинаковым зарядом ядра      

4. Укажите, где о кислороде говорится как о простом веществе:

а) 1 атом кислорода ходит в состав молекулы воды 

б) кислород – бесцветный газ, без вкуса и запаха, поддерживает дыхание и горение.    

5. Валентность кислорода в соединениях равна:   а) I     б) II     в) III    г) IV  

6. Выберите из приведённого перечня веществ основания:                                                 

а) Н2О   б) KOH  в) SO2   г) MnO2   д) Ca(OН)2   е) NaOH

7. Укажите уравнение реакции соединения:                                                                       

            а) 2Н2О + 2 Na = 2NaOH + H2       б) CaCl2 + Na2CO3 = CaCO3 + 2NaCl  

            в) 2KMnO4 = K2MnO4 + MnO2 + O2     г) 2SO2 + O2 = 2 SO3                              

8. Молекулярная масса серной кислоты H3РОравна:   а) 102   б) 98   в) 44   г) 32          

9. Чему равна валентность азота в соединении N2О5 ?  а) II    б) V   в) VI    г) I                

10. Дайте определение основаниям. Запишите формулу гидроксида натрия.                   

Часть 2

11. Установите соответствие между названием вещества и формулой соединения:           

А) Серная кислота                                             1. Mg(OH)2

Б) Хлорид калия                                                 2. H2SO4

В) Оксид цинка                                                  3. ZnO

Г) Гидроксид магния                                         4. КCI

 Д) Соляная кислота                                          

12. Какой объём водорода (н.у.) можно получить при взаимодействии цинка массой 13 г с соляной кислотой? К какому типу относится эта реакция?

13.Рассчитать массовую долю алюминия в соединении AlPO4. . 

Система оценивания отдельных заданий и зачетной работы в целом

В работу включено  10 заданий с выбором ответа из 4-х или 3-х предложенных, 2 задания   требующие краткого ответа учащегося  и  1 задание  с развёрнутым ответом.Работа состоит из 2-х частей:

Часть 1 (№ 1-10 ) содержит задания с выбором ответа первого уровня сложности .

Часть 2 (№ 11-13) содержит задания   повышенного уровня сложности.

За верное выполнение   задания 1-10  обучающийся получает  по 1 баллу, за неверный ответ или его отсутствие выставляется 0 баллов.  11-13 задания   – по 2 балла(при одной ошибке – 1б).

Максимальное количество баллов, которое может набрать обучающийся, правильно выполнивший задания 1 части работы – 10 баллов; 2 части – 6 баллов.

Максимальное количество баллов, которое может получить ученик за выполнение всей работы –

16 баллов.

 

 

 

 

9 класс

Зачет № 1 по химии

по теме: «Вещества и химические реакции. Неметаллы и их соединения (Галогены, сера, азот, фосфор и их соединения»

Вариант 1

Инструкция для учащихся

Зачетная работа состоит из 13 заданий. На её выполнение отводится 40 минут. Задания рекомендуется выполнять по порядку. Если задание не удается выполнить сразу, перейдите к следующему. Если останется время, вернитесь к пропущенным заданиям.

Часть 1

1.  Эндотермическая реакция соединения

1)  2Mg + O2 = 2MgO + Q              2) N2 + O2 = 2NO − Q

3)  CaCO3 = CaO + CO2 Q

4)  NaOH + HCl = NaCl + H2O + Q

2.  Гетерогенная реакция обмена

1)  Fe + CuSO4 = Cu + FeSO4

2)  2) СаО + СO2 = СаСО3

3)  CuS + H2SO4 = CuSO4 + H2S

4)  NaOH + HCl = NaCl + Н2О

3.  Азот имеет степень окисления +3 в соединении

1)  KNO2

2)  Li3N   3) (NH4)2SO4      4) NH3

4.  Окислительно-восстановительная реакция

1)  ZnO + 2НСl = 2ZnCl2 + Н2O

2)  СаСO3 + 2НСl = CaCl2 + Н2О + СО2

3)  Cu(OH)2 = CuO + Н2O

4)  2AgNO3 = 2Ag + 2NO2 + O2

5.  Признаком протекания химической реакции между раствором ацетата натрия и серной кислотой является

1)  выпадение осадка

2)  выделение газа

3)  появление запаха

4)  изменение цвета

6.  Скорость взаимодействия раствора соляной кислоты максимальна с кусочком

1)  железа

2)  магния

3)  цинка

4)  меди

7.  Верны ли следующие суждения?

А. Скорость химической реакции — это изменение концентрации реагентов за единицу времени. Б. Концентрация компонента в смеси -это отношение массы компонента к объему смеси.

1)  верно только А

2)  верно только Б

3)  верны оба суждения

4)  оба суждения неверны

8.  Скорость реакции возрастает при увеличении

1)  объема продуктов реакции

2)  концентрации продуктов реакции

3)  объема реагентов

4)  концентрации реагентов

9.  Укажите реакцию, которая при обычных условиях протекает с наибольшей скоростью.

1)  Zn + 2НСl = MgCl2 + Н2

2)  6Li + N2 = 2Li3N

3)  S + O2 = SO2

       4) Ag+ + Cl = AgCl↓.

10.  Верны ли следующие суждения?

А. При повышении температуры скорость любой химической реакции увеличивается.

Б. При понижении температуры на 10 °С скорость химической реакции уменьшается в 2-4 раза.

1)  верно только А

2)  верно только Б

3)  верны оба суждения

4)  оба суждения неверны

Часть 2

11.     Среди нижеперечисленных характеристик укажите признаки химических реакций:

1)  нагревание

2)  выпадение осадка

3)  введение катализатора

4)  появление запаха

5)  изменение окраски

6)  повышение давления

Ответ дайте в виде последовательности цифр в порядке их возрастания.

12.      Установите соответствие между схемой химической реакции и веществом, являющимся окислителем в этой реакции. Ответ дайте в виде последовательности цифр, соответствующих буквам по алфавиту.

Схема реакции

А) H2SO3 + Н2О2 → H2SO4 + Н2О                Б) H2SO3 + H2S → S + Н2О

В) HCl + MnO2 → MnCl2 + Cl2 + Н2О             Г) HCl + Mg → MgCl2 + Н2О

Окислитель

1)  Mg

2)  2H2O

3)  MnO2

4)  HCl

5)  H2S

6)  H2SO3

13. Напишите молекулярные и ионные уравнения реакций серной кислоты с гидроксидом меди (II), оксидом железа (III) и карбонатом натрия.

 

Система оценивания отдельных заданий и зачетной работы в целом

В работу включено  10 заданий с выбором ответа из 4-х предложенных, 2 задания   требующие  краткого ответа учащегося  и  1 задание  с развёрнутым ответом.

Работа состоит из 2-х частей:

Часть 1 (№ 1-10 ) содержит задания с выбором ответа первого уровня сложности .

Часть 2 (№ 11-13) содержит задания   повышенного уровня сложности.

За верное выполнение   задания 1-10  обучающийся получает  по 1 баллу, за неверный ответ или его отсутствие выставляется 0 баллов.

11-12 задания   – по 2 балла(при одной ошибке – 1б).

  Максимальное количество баллов, которое может набрать обучающийся, правильно выполнивший задания 1 части работы – 10 баллов; 2 части – 6 баллов.

Максимальное количество баллов, которое может получить ученик за выполнение всей работы – 16 баллов.

 

Таблица перевода баллов в отметки по пятибалльной шкале

 

Отметка

Тестовый балл

«2»

 Менее 10

«3»

10-12

«4»

13-14

«5»

15-17

 

 

 

 

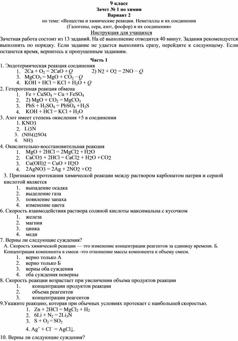
9 класс

Зачет № 1 по химии

Вариант 2

по теме: «Вещества и химические реакции. Неметаллы и их соединения

(Галогены, сера, азот, фосфор) и их соединения»

Инструкция для учащихся

Зачетная работа состоит из 13 заданий. На её выполнение отводится 40 минут. Задания рекомендуется выполнять по порядку. Если задание не удается выполнить сразу, перейдите к следующему. Если останется время, вернитесь к пропущенным заданиям.

Часть 1

1. Эндотермическая реакция соединения

1.      2Са + O2 = 2СаO + Q              2) N2 + O2 = 2NO − Q

3.   MgCO3 = MgO + CO2 Q

4.   KOH + HCl = KCl + H2O + Q

2. Гетерогенная реакция обмена

1.         Fe + CuSO4 = Cu + FeSO4

2.         2) MgО + СO2 = MgСО3

3.         PbS + H2SO4 = PbSO4 + H2S

4.         KOH + HCl = KCl + Н2О

3. Азот имеет степень окисления +5 в соединении

1. KNO3

2.      Li3N

         3.   (NH4)2SO4

         4.    NH3

4. Окислительно-восстановительная реакция

1.         MgO + 2НСl = 2MgCl2 + Н2O

2.         СаСO3 + 2НСl = CaCl2 + Н2О + СО2

3.         Cu(OH)2 = CuO + Н2O

4.         2AgNO3 = 2Ag + 2NO2 + O2

3.   Признаком протекания химической реакции между раствором карбонатом натрия и серной кислотой является

1.         выпадение осадка

2.         выделение газа

3.         появление запаха

4.         изменение цвета

6. Скорость взаимодействия раствора соляной кислоты максимальна с кусочком

1.        железа

2.         магния

3.        цинка

4.         меди

7. Верны ли следующие суждения?

А. Скорость химической реакции — это изменение концентрации реагентов за единицу времени. Б. Концентрация компонента в смеси -это отношение массы компонента к объему смеси.

1.         верно только А

2.         верно только Б

3.         верны оба суждения

4.         оба суждения неверны

8. Скорость реакции возрастает при увеличении объема продуктов реакции

1.                  концентрации продуктов реакции

2.                  объема реагентов

3.                  концентрации реагентов

9.Укажите реакцию, которая при обычных условиях протекает с наибольшей скоростью.

1.      Zn + 2НСl = MgCl2 + Н2

2.      6Li + N2 = 2Li3N

3.      S + O2 = SO2

          4. Ag+ + Cl = AgCl↓.

10. Верны ли следующие суждения?

А. При повышении температуры скорость любой химической реакции увеличивается.

Б. При понижении температуры на 10 °С скорость химической реакции уменьшается в 2-4 раза.

1.      верно только А

2.      верно только Б

3.      верны оба суждения

4. оба суждения неверны

Часть 2

11.Среди нижеперечисленных характеристик укажите признаки химических реакций:

1.      нагревание

2.      выпадение осадка

3.      введение катализатора

4.      появление запаха

5.      изменение окраски

6.      повышение давления

Ответ дайте в виде последовательности цифр в порядке их возрастания.

12. Установите соответствие между схемой химической реакции и веществом, являющимся окислителем в этой реакции. Ответ дайте в виде последовательности цифр, соответствующих буквам по алфавиту.

Схема реакции

А) H2SO3 + Н2О2 → H2SO4 + Н2О                Б) H2SO3 + H2S → S + Н2О

В) HCl + MnO2 → MnCl2 + Cl2 + Н2О             Г) HCl + Mg → MgCl2 + Н2О

Окислитель

1. Mg

2. 2H2O

3. MnO2

4. HCl

5. H2S

6. H2SO3

13. Напишите молекулярные и ионные уравнения реакций серной кислоты с гидроксидом меди (II), оксидом железа (III) и карбонатом натрия.

Система оценивания отдельных заданий и зачетной работы в целом

В работу включено  10 заданий с выбором ответа из 4-х предложенных, 2 задания   требующие  краткого ответа учащегося  и  1 задание  с развёрнутым ответом.

Работа состоит из 2-х частей:

Часть 1 (№ 1-10 ) содержит задания с выбором ответа первого уровня сложности .

Часть 2 (№ 11-13) содержит задания   повышенного уровня сложности.

За верное выполнение   задания 1-10  обучающийся получает  по 1 баллу, за неверный ответ или его отсутствие выставляется 0 баллов.

11-12 задания   – по 2 балла(при одной ошибке – 1б).

  Максимальное количество баллов, которое может набрать обучающийся, правильно выполнивший задания 1 части работы – 10 баллов; 2 части – 6 баллов.

Максимальное количество баллов, которое может получить ученик за выполнение всей работы – 16 баллов.

 

Таблица перевода баллов в отметки по пятибалльной шкале

 

Отметка

Тестовый балл

«2»

 Менее 10

«3»

10-12

«4»

13-14

«5»

15-16

 

 

 

 

 

 

 

 

 

 

10 класс

Зачет № 1 по химии

«Теоретические основы органической химии. Углеводороды (Алканы, алкены, алкадиены)»

Вариант 1

Инструкция для учащихся

Зачетная работа состоит из 13 заданий. На её выполнение отводится 40 минут. Задания рекомендуется выполнять по порядку. Если задание не удается выполнить сразу, перейдите к следующему. Если останется время, вернитесь к пропущенным заданиям.

Часть 1

1. Вешества с общей формулой СnH2n к классу: а) алканов     б) алкенов    в) алкинов    г) аренов

2. Вещество, формула которого  CH3-CH2 - CH2 - CH3 является  а) алканом   б) алкеном   

 в) алкином

3. Вещество, формула которого CH2= CH -CH - CH3 называется:

 

                                                                            СН3

а) 2-метилбутен-3   б) 2-метилбутин-3  в) 3-метилбутен-1   г) 3-метилбутин-1

4. Характерной реакцией для алканов является: а) замещения  б) гидрирования  в) присоединения   г) дегидрирования

5. Гомологом пропена является:  А) С 2Н4     б) С 3Н6      в) С 4Н10     г) С 2Н6

6. Какие вещества присоединяются к пропену в соответствии с правилом Марковникова?                  1) хлор 2) бром 3) хлороводород 4) водород 5) вода 6) бромоводород

7. Тип реакции взаимодействия этена с хлором:  а) замещения    б) присоединения  в) гидрирования   г) дегидрирования

8. Каучук получают, используя реакцию:  а) этерификации  б) присоединения   в) изомеризации 

г) полимеризации

9. Дайте определение. Риформинг – это

10. Молекулярная формула бензола: а) С2Н2,   б) С6Н6,   в) СН4,  г) С2Н4

Часть 2

11. Запишите структурную формулу: а) 2,3-диметилгексена-1  б) бутена-1 в) пропина

12. Запишите структурные формулы возможных изомеров пентена-1, назовите вещества.

13. Осуществите превращения. Назовите вещества. Укажите условия протекания реакций.   

 СН4à С2Н2à С2Н4à С2Н2

 

Система оценивания отдельных заданий и зачетной работы в целом

В работу включено  10 заданий с выбором ответа из 4-х предложенных, 2 задания   требующие  краткого ответа учащегося  и  1 задание  с развёрнутым ответом.

Работа состоит из 2-х частей:

Часть 1 (№ 1-10 ) содержит задания с выбором ответа первого уровня сложности .

Часть 2 (№ 11-13) содержит задания   повышенного уровня сложности.

За верное выполнение   задания 1-10  обучающийся получает  по 1 баллу, за неверный ответ или его отсутствие выставляется 0 баллов.

11-12 задания   – по 2 балла(при одной ошибке – 1б).

  Максимальное количество баллов, которое может набрать обучающийся, правильно выполнивший задания 1 части работы – 10 баллов; 2 части – 6 баллов.

Максимальное количество баллов, которое может получить ученик за выполнение всей работы – 16 баллов.

 

Таблица перевода баллов в отметки по пятибалльной шкале

 

Отметка

Тестовый балл

«2»

 Менее 10

«3»

10-12

«4»

13-14

«5»

15-16

 

 

10 класс

Зачет № 1 по химии

«Теоретические основы органической химии. Углеводороды (Алканы, алкены, алкадиены)»

Вариант 2

Инструкция для учащихся

Зачетная работа состоит из 13 заданий. На её выполнение отводится 40 минут. Задания рекомендуется выполнять по порядку. Если задание не удается выполнить сразу, перейдите к следующему. Если останется время, вернитесь к пропущенным заданиям.

Часть 1

1. Вешества с общей формулой СnH2n+2 к классу: а) алканов     б) алкенов    в) алкинов    г) аренов

2. Вещество, формула которого CH2=CH -CH2 -CH3 является   а) алканом   б) алкеном     в) алкином

3. Вещество, формула которого CH2= CH- CH- CH3 называется:

 

                                                                         СН3

а) 2-метилбутен-3   б) 2-метилбутин-3  в) 3-метилбутен-1   г) 3-метилбутин-1

4. Характерной реакцией для алканов является:  а) замещения  б) гидрирования  в) присоединения   г) дегидрирования

5. Гомологом пропена является: а) С 2Н4     б) С 3Н6      в) С 3Н8     г) С 2Н6

6. Установите соответствие между формулой вещества и классом углеводородов, к которому оно принадлежит.

                       ФОРМУЛА ВЕЩЕСТВА                                 КЛАСС УГЛЕВОДОРОДОВ

                        А) С6Н14                                                                      1) арены

                        Б) С6Н12                                                                       2) алканы

                        В) С6Н6                                                                        3) алкины

                        Г) С6Н10                                                                      4) алкены

                                                                                                               5) алкадиены

7. Тип реакции взаимодействия этена с бромом: а) замещения    б) присоединения  в) гидрирования   г) дегидрирования

8. Резину получают, используя реакцию: а) этерификации  б) вулканизации   в) изомеризации  г) полимеризации

9. Дайте определение. Крекинг – это

10. Применяют для изготовления труб, плёнок, пакетов, игрушек и т.д.

а) бензол,   б) метан,   в) полиэтилен,   г) каучук

Часть 2

11. Запишите структурную формулу: а) 2,3-диметилпентана  б) бутена-2 в) пропина -1

12. Запишите структурные формулы возможных изомеров пентана, дайте названия соединениям.

13. Осуществите превращения. Назовите вещества. Укажите условия протекания реакций.   

С2Н2à С2Н4à С2Н2àC6Н6

Система оценивания отдельных заданий и зачетной работы в целом

В работу включено  10 заданий с выбором ответа из 4-х или 3-х предложенных, 2 задания   требующие  краткого ответа учащегося  и  1 задание  с развёрнутым ответом.

Работа состоит из 2-х частей:

Часть 1 (№ 1-10 ) содержит задания с выбором ответа первого уровня сложности .

Часть 2 (№ 11-13) содержит задания   повышенного уровня сложности.

За верное выполнение   задания 1-10  обучающийся получает  по 1 баллу, за неверный ответ или его отсутствие выставляется 0 баллов.

11-12 задания   – по 2 балла(при одной ошибке – 1б).

  Максимальное количество баллов, которое может набрать обучающийся, правильно выполнивший задания 1 части работы – 10 баллов; 2 части – 6 баллов.

Максимальное количество баллов, которое может получить ученик за выполнение всей работы – 16 баллов.

Таблица перевода баллов в отметки по пятибалльной шкале

 

Отметка

Тестовый балл

«2»

 Менее 10

«3»

10-12

«4»

13-14

«5»

15-16

11 класс

Зачет № 1 по химии

по темам «Азотсодержащие органические соединения. Высокомолекулярные соединения»

1 вариант

Инструкция для учащихся

Зачетная работа состоит из 13 заданий. На её выполнение отводится 40 минут. Задания рекомендуется выполнять по порядку. Если задание не удается выполнить сразу, перейдите к следующему. Если останется время, вернитесь к пропущенным заданиям.

Часть 1

1. Основные свойства аминов определяет:

А)

Гидроксильная группа

В)

Нитрогруппа

Б)

Карбонильная группа

Г)

Аминогруппа

2. В водном растворе этиламина среда:

А)

Кислотная

В)

Щелочная

Б)

Нейтральная

Г)

Изменяется в зависимости от температуры

3. Анилин:

А)

Реагирует с кислотами с образованием солей

Б)

Построен из цепочек, образованных остатками аминокислот

В)

Содержит карбоксильную группу

Г)

В растворе создает кислотную среду

4. Укажите вещество, которое будет реагировать с метиламином:

А)

Br2(р-р)

В)

HCl (p-p)

Б)

NaOH (р-р)

Г)

Na2CO3 (p-p)

5. Укажите, к какому типу реакций относится взаимодействие анилина с раствором брома в воде:

А)

Присоединение

В)

Отщепление

Б)

Замещение

Г)

Полимеризации

6. Этиламин способен реагировать:

А)

Этанолом

В)

Муравьиной кислотой

Б)

Ацетоном

Г)

Ацетиленом

7.  В молекуле анилина влияние аминогруппы на бензольное кольцо подтверждает реакция с:

А)

Соляной кислотой

В)

Хлорметаном

Б)

Бромной водой

Г)

Уксусным ангидридом

8. Реакцией Зинина называют:

А)

Гидратацию ацетилена в присутствии солей ртути

Б)

Тримеризацию ацетилена с образованием бензола

В)

Нитрование предельных углеводородов

Г)

Восстановление нитробензола до анилина

9. Используя глицин и аланин, можно получить различных дипептидов:

А)

1

Б)

2

В)

3

Г)

4

10. Глицин образует сложный эфир в результате взаимодействия:

А)

С гидроксидом натрия

В)

С этанолом

Б)

С бромоводородом

Г)

С аминоуксусной кислотой

Часть 2

11. Метиламин можно получить взаимодействием:

1)

Метанола с аммиаком

2)

Бромметана с аммиаком

3)

Хлорида метиламмония с гидроксидом калия

4)

Метана с азотной кислотой

5)

Метанола с азотом

6)

Метана с аммиаком

12. Анилин

1)

Относится к нитросоединениям

2)

Получают нитрованием бензола

3)

Является ароматическим амином

4)

Взаимодействует с бромной водой

5)

Относится к третичным амином

6)

Реагирует с соляной кислотой

 

13.  При получении трипептида из аминоуксусной кислоты выделилось 36 г воды.  Рассчитайте массу полученного  трипептида.

 

Система оценивания отдельных заданий и зачетной работы в целом

В работу включено  10 заданий с выбором ответа из 4-х или 3-х предложенных, 2 задания   требующие  краткого ответа учащегося  и  1 задание  с развёрнутым ответом.

Работа состоит из 2-х частей:

Часть 1 (№ 1-10 ) содержит задания с выбором ответа первого уровня сложности .

Часть 2 (№ 11-13) содержит задания   повышенного уровня сложности.

За верное выполнение   задания 1-10  обучающийся получает  по 1 баллу, за неверный ответ или его отсутствие выставляется 0 баллов.

11-12 задания   – по 2 балла (при одной ошибке – 1б).

  Максимальное количество баллов, которое может набрать обучающийся, правильно выполнивший задания 1 части работы – 10 баллов; 2 части – 6 баллов.

Максимальное количество баллов, которое может получить ученик за выполнение всей работы – 16 баллов.

 

 

Таблица перевода баллов в отметки по пятибалльной шкале

 

Отметка

Тестовый балл

«2»

 Менее 10

«3»

10-12

«4»

13-14

«5»

15-16

 

 

 

 

 

 

 

 

 


11 класс

Зачет № 1 по химии

по темам «Азотсодержащие органические соединения. Высокомолекулярные соединения»

2 вариант

Инструкция для учащихся

Зачетная работа состоит из 13 заданий. На её выполнение отводится 40 минут. Задания рекомендуется выполнять по порядку. Если задание не удается выполнить сразу, перейдите к следующему. Если останется время, вернитесь к пропущенным заданиям.

 

Часть 1

1. Соединение С6Н5NHC6H5– это:

А)

Вторичный амин

В)

Первичный амин

Б)

Соль аммония

Г)

Аминокислота

2. Укажите,  сколько изомеров может образовывать амин с формулой C6H4(CH3)(NH2)

А)

1

Б)

2

В)

3

Г)

4

3. В водном растворе метиламина среда:

А)

Кислотная

В)

Щелочная

Б)

Нейтральная

Г)

Изменяется в зависимости от температуры

4. Этиламин:

А)

Реагирует с кислотами с образованием солей

Б)

Построен из цепочек, образованных остатками аминокислот

В)

Содержит карбоксильную группу

Г)

В растворе создает кислотную среду

5. Укажите вещество, которое будет реагировать с анилином:

А)

Br2(р-р)

В)

NaCl (p-p)

Б)

NaOH (р-р)

Г)

Na2CO3 (p-p)

6. Укажите, к какому типу реакций относится взаимодействие анилина с раствором бромоводорода  в воде:

А)

Нейтрализация

В)

Отщепление

Б)

Замещение

Г)

Полимеризации

7. Этиламин способен реагировать:

А)

Этанолом

В)

Кислородом 

Б)

Ацетоном

Г)

Водородом

8. Получение анилина в промышленности основано на реакции:

А)

Восстановления нитробензола

Б)

Нитрования толуола

В)

Хлорирования бензола

Г)

Декарбоксилирования бензойной кислоты

9. Аминокислоту можно получить при взаимодействии аммиака с:

А)

 бромбензолом

В)

Пропанолом-2

Б)

этилхлоридом

Г)

α-хлорпропановой кислотой

10. Основные свойства аминокислот обусловлены наличием в них:

А)

Карбоксильной группы

В)

Карбонильной группы

Б)

Аминогруппы

Г)

Нитрогруппы

Часть 2

11. Этиламин можно получить взаимодействием:

1)

Этанола с аммиаком

2)

Этана с азотной кислотой

3)

Бромэтана с аммиаком

4)

Хлорида этиламмония с гидроксидом калия

5)

Метиламина с метаном

6)

Этана с азотом

12. Какие утверждения справедливы для анилина?

1)

Устойчив к окислению

2)

Относится к алифатическим аминам

3)

Проявляет основные свойства

4)

Получают восстановлением нитробензола

5)

Является вторичным амином

6)

Реагирует с соляной кислотой

13. При взаимодействии α-аминопропионовой кислоты массой 44.5 г с гидроксидом натрия образовалась соль массой 50 г. Рассчитайте массовую долю выхода соли.

 

Система оценивания отдельных заданий и зачетной работы в целом

В работу включено  10 заданий с выбором ответа из 4-х или 3-х предложенных, 2 задания   требующие  краткого ответа учащегося  и  1 задание  с развёрнутым ответом.

Работа состоит из 2-х частей:

Часть 1 (№ 1-10 ) содержит задания с выбором ответа первого уровня сложности .

Часть 2 (№ 11-13) содержит задания   повышенного уровня сложности.

За верное выполнение   задания 1-10  обучающийся получает  по 1 баллу, за неверный ответ или его отсутствие выставляется 0 баллов.

11-12 задания   – по 2 балла (при одной ошибке – 1б).

  Максимальное количество баллов, которое может набрать обучающийся, правильно выполнивший задания 1 части работы – 10 баллов; 2 части – 6 баллов.

Максимальное количество баллов, которое может получить ученик за выполнение всей работы – 16 баллов.

 

 

Таблица перевода баллов в отметки по пятибалльной шкале

 

Отметка

Тестовый балл

«2»

 Менее 10

«3»

10-12

«4»

13-14

«5»

15-16

 

 

 

 

 

 

 

 

 

 

 

 

 

 

 

 

 

 

 

 

 

 

 

 

 

 

 

 

 

 

 

 

12 класс

Зачёт № 1 по химии

по теме «Теоретические основы химии»

Вариант 1

Инструкция для учащихся

Зачетная работа состоит из 13 заданий. На её выполнение отводится 40 минут. Задания рекомендуется выполнять по порядку. Если задание не удается выполнить сразу, перейдите к следующему. Если останется время, вернитесь к пропущенным заданиям.

     Часть 1

1.         Укажите химическую реакцию, в результате которой состав вещества не меняется: 

      1) 2SO2 + O2 = 2SO3   2) 3H2 + N2 = 2NH3    3) C(графит) = С(алмаз)   4) NaOH + HCl = NaCl + H2O

2. Укажите уравнение реакции обмена     

      1) 2Н2О + 2 Na = 2NaOH + H2       2) CaCl2 + Na2CO3 = CaCO3 + 2NaCl 

      3) 2KMnO4 = K2MnO4 + MnO2 + O2     4) 2SO2 + O2 = 2 SO3

3. Укажите тип реакции: С + О2 = СО2                

      1) реакция соединения   2) реакция обмена  3) реакция замещения   4) реакция разложения

4.         Скорость химической реакции зависит от:

      1) природы реагирующих веществ    2) температуры реакции    3) присутствия катализатора  

      4) от каждого из перечисленных факторов                         

5. Реакция ионного обмена протекает с выделением газа при добавлении соляной кислоты  раствору 1) сульфата натрия  2) нитрата серебра    3) карбоната калия   4)  гидроксида кальция

6. Из перечисленных веществ выберите три вещества, которые относятся к средним солям

      1) NaCl      2) H2SO4      3) CaHCO3    4) Cu(NO3)2    5) (CH3COO)2Ca       6) Mg(H2PO4)2

 7. Какие реакции относятся к экзотермическим? Дайте определение. Запишите пример.   

 8. Степень окисления во всех соединениях + 2 проявляет

      1) олово     2) фосфор     3) железо    4) магний                          

 9. Дайте определение кислотам с точки зрения теории электролитической диссоциации.

10. Допишите уровнения:

            НСI =

            NaOH =

            K2CO3 =

Часть 2

11. Установите соответствие между классом вещества и его формулой.

Формулы веществ                                      Класс вещества 

А) C2H5OH                                                  1) карбоновые кислоты

Б) HCOOCH3                                              2) спирты                                

В) CH3COOH                                              3) алкен

Г) С2Н4                                                        4) сложные эфиры

 

12. По термохимическому уравнению реакции горения оксида углерода (II) газа:      

2CO2 (г) + О2 (г) = 2СО2 (г) + 566 кДж. Определите объем (н.у.) сгоревшего оксида углерода(II), если выделилось 1520 кДж теплоты.

 13. Используя метод электронного баланса, составьте уравнение реакции

            P2O3 + HСlO4 + H2O = HCl + H3PO4                                                            

            Определите окислитель и восстановитель.

 

Система оценивания отдельных заданий и зачетной работы в целом

В работу включено 10 заданий с выбором ответа из 4-х предложенных, 2 задания, требующие краткого ответа учащегося, и 1 задание с развёрнутым ответом.

Работа состоит из 2-х частей:

Часть 1 (№ 1-10) содержит задания с выбором ответа первого уровня сложности.

Часть 2 (№ 11-13) содержит задания   повышенного уровня сложности.

За верное выполнение   задания 1-10  обучающийся получает  по 1 баллу, за неверный ответ или его отсутствие выставляется 0 баллов.

11-12 задания   – по 2 балла (при одной ошибке – 1б).

  Максимальное количество баллов, которое может набрать обучающийся, правильно выполнивший задания 1 части работы – 10 баллов; 2 части – 6 баллов.

Максимальное количество баллов, которое может получить ученик за выполнение всей работы – 16 баллов.

 

Таблица перевода баллов в отметки по пятибалльной шкале

 

Отметка

Тестовый балл

«2»

 Менее 10

«3»

10-12

«4»

13-14

«5»

15-16

 

12 класс

Зачёт № 1

по теме «Теоретические основы химии»

Вариант 2

Инструкция для учащихся

Зачетная работа состоит из 13 заданий. На её выполнение отводится 40 минут. Задания рекомендуется выполнять по порядку. Если задание не удается выполнить сразу, перейдите к следующему. Если останется время, вернитесь к пропущенным заданиям.

Часть 1

1. Укажите химическую реакцию, в результате которой состав вещества не меняется:  

    1) 2SO2 + O2 = SO3    2) 3H2 + N2 = 2NH3   3) Р(белый) = Р(красный)   4) KOH + HCl = KCl + H2O

2. Укажите уравнение реакции разложения:

    1) 2Н2О + 2 Na = 2NaOH + H2        2) CaCl2 + Na2CO3 = CaCO3 + 2NaCl   

    3) 2KMnO4 = K2MnO4 + MnO2 + O2    4) 2SO2 + O2 = 2 SO3

3. Укажите тип следующей реакции: Н2 + О2 = Н2О;  1) реакция соединения  2) реакция обмена  

    3) реакция замещения    4) реакция разложения

4. Скорость химической реакции зависит от:

    1) природы реагирующих веществ     2) температуры реакции    3) присутствия катализатора  

    4) от каждого из перечисленных факторов

5. В результате реакции дегидратации из этанола получают

    1) этаналь   2) бутен – 2   3) этилен   4) уксусную кислоту

6. Из перечисленных веществ выберите три вещества, которые относятся к кислотам.

      1) NaCl      2) H2SO4      3) H 2CO3    4) Cu(NO3)2    5) CH3COOН       6) Mg(H2PO4)2

7. Какие реакции относятся к эндотермическим? Запишите пример.

8. Степень окисления во всех соединениях + 1 проявляет  1) калий   2) фосфор  3) железо  4) магний

9. Дайте определение солям с точки зрения теории электролитической диссоциации.

10. Допишите уровнения:

            KСI =

            LiOH =

           Na2CO3 =    

Часть 2

11. Установите соответствие между классом вещества и его формулой.

Формулы веществ                                      Класс вещества 

А) C2H5OH                                                  1) карбоновые кислоты

Б) HCOOC 2H5                                            2) спирты                                

В) НCOOH                                                  3) алкан

Г) С2Н6                                                        4) сложные эфиры

12. По термохимическому уравнению реакция горения ацетилена:                

    2C2Н2 (г) + 5О2 (г) = 4СО2 (г) + Н2О + 2610 кДж. Вычислите количество теплоты, которая выделится при сгорании 1,12 л ацетилена (н.у.)

 13.   Используя метод электронного баланса, составьте уравнение реакции

            P2O3 + HClO4 + H2O = HCl + H3PO4     Определите окислитель и восстановитель.  

 

Система оценивания отдельных заданий и зачетной работы в целом

В работу включено  10 заданий с выбором ответа из 4-х предложенных, 2 задания   требующие  краткого ответа учащегося  и  1 задание  с развёрнутым ответом.

Работа состоит из 2-х частей:

Часть 1 (№ 1-10 ) содержит задания с выбором ответа первого уровня сложности .

Часть 2 (№ 11-13) содержит задания   повышенного уровня сложности.

За верное выполнение   задания 1-10  обучающийся получает  по 1 баллу, за неверный ответ или его отсутствие выставляется 0 баллов.

11-12 задания   – по 2 балла(при одной ошибке – 1б).

  Максимальное количество баллов, которое может набрать обучающийся, правильно выполнивший задания 1 части работы – 10 баллов; 2 части – 6 баллов.

Максимальное количество баллов, которое может получить ученик за выполнение всей работы – 16 баллов.

 

Таблица перевода баллов в отметки по пятибалльной шкале

 

Отметка

Тестовый балл

«2»

 Менее 10

«3»

10-12

«4»

13-14

«5»

15-16