Задания для самостоятельной работы ученика

  • docx
  • 27.04.2020
Публикация на сайте для учителей

Публикация педагогических разработок

Бесплатное участие. Свидетельство автора сразу.
Мгновенные 10 документов в портфолио.

Иконка файла материала 30.docx

Урок №     АЛГЕБРА

23 января 2013 год

9 «Б» класс

Тема: Арефметическая и геометрическая прогрессия

Основные цели и задачи урока

Цели и задачи урока:

1) образовательная: повторить материалы о геометрической и арифметической прогрессии

2) воспитательная:

- воспитывать внимательность, интерес к изучаемому предмету, сообразительность;

- воспитывать познавательный интерес к предмету и уверенность в своих силах;

- воспитывать творческую самоответственность личности, стремящуюся к  самореализации и составлению субъективности на всех этапах урока.

3) развивающая:

-развивать логическое мышление учащихся, умение применять рациональные способы при решении задач. 

 - развивать навыки самостоятельной работы,  самоконтроля, самооценки;

 - развивать коммуникабельность, креативность, умение анализировать, обобщать, сравнивать, выделять главное

Ключевые идеи урока

Новые подходы в преподавании и обучении

- диалоговое обучение

- обучение тому, как обучаться

Оценивание для обучения и оценивание обучения

Обучение критическому мышлению

Обучение талантливых и одарённых детей

Инклюзивное обучение

Тип урока

Урок обобшение

Методы обучения

Наглядный (презентация), словесный (беседа, объяснение, диалог), практический.

Формы организации учебной деятельности уч-ся

фронтальная; групповая; парная; индивидуальная.

Используемые интерактивные методы обучения

Взаимооценивание, Самооценивание, Групповая работа, Индивидуальное работа,

Оценивания для обучения, ИКТ, Дифференцированное обучение

Применение модулей

Обучение тому, как обучаться, Обучение критическому мышлению, Оценивания для обучения, Использование ИКТ в преподавании   и обучения, Обучение талантливых и одаренных детей

Оборудование и материалы

Учебник, Интерактивная доска ActivInspire, Видеоролик, кодоскоп,маркера, ватмат А3, миллиметровка, цветтные карандаши, стикера, смайлики, таймер, мигалка

 

Этапы урока

ХОД УРОКА

 

Прогнозируемые результаты

Создание колобративной среды

1.                  Организационный момент

(Приветствие учащихся, определение отсутствующих, проверка готовности учащихся к уроку, организация внимания).

Деление по группам.

Вступительное слово учителя

 

Просмотр ролика «Самая большая победа»

      Постановка цели урока

 

Полная готовность класса и оборудования урока к работе; быстрое включение класса в деловой ритм, организация внимания всех учащихся

 Фильмы на уроке  помогает сделать занятия более яркими и динамичными, запоминающимися и увлекательными

Основная часть урока

2.                  Подготовка учащихся к активному, сознательному усвоению знаний.

Фронтальный опрос

         Какая последовательность называется геометрической прогрессией?

         Что называется знаменателем геометрической прогрессии?

         Какова формула n –го члена геометрической прогрессии?

         Формулы суммы n первых членов геометрической прогрессии?

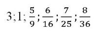
ФОКУС

1; 4; 7; 10; 13; 16; 19; 22; 25;

28; 31; 34; 37; 40; 43; 46; 49;

52; 55; 58; 61; 64; 67; 70;…

Старинная задача «Бай и купец»

Я буду ежедневно отдавать тебе по 100 000 тенге. А ты мне в первый день за 100 000тенге дашь 1 тенге.,во второй день за 100 000 тенге — 2 тенге. И так каждый день я буду увеличивать предыдущее число денег в 2 раза. Если тебе выгодна сделка, то с завтрашнего дня начнем.

Найдите формулу общего члена последовательности

(Парная работа)

Групповая работа

Найти седьмые члены следующих

арифметических прогрессий:

а) (an): -6;-3; 0;…

б) (an): a1 = 6; d = 5;

в) an = 27 – 6n;

г) (an): a1 = -26; d = 7;

д)(an): 4; 6; 8;…

С помощью ключа прочитайте зашифрованное слово.

 

 

Задание для групп:

«Смелее решайте – формулу применяйте!»

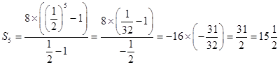
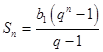
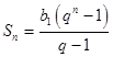
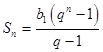
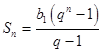
№3. Найдите сумму пяти первых членов геометрической прогрессии, у которой ,  (у доски).

Решение.

,                  .

Ответ: .

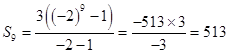
№ 4. Найдите сумму шести первых членов геометрической прогрессии: 54; 36… (у доски).

Решение.

,                              ,                                      Ответ: .

№ 5. (Задание выполняется самостоятельно по вариантам  с последующей самопроверкой по слайду)

Найдите сумму девяти первых членов геометрической прогрессии, если

I вариант

а). .

Решение.

,                               .

Ответ: .

II вариант

б).  ,       .

Решение.

,                                .

Ответ: .

Проверка решений «Автобусная остановка» 2 звезды и одно пожелание

Физкультминутка «Алдар косе»

Тест по уровню (индивидуальная работа)

Взаимооценивание

 

 

Учащиеся учатся анализировать и делать выводы.

 

Правильные ответы в процессе диалога, активность учащихся

 

 

Ученики найдут секрет фокуса

 

 

 

Учащиеся находят ответы на поставленные вопросы.

 

 

 

Ученики в парной работе совещаются и находят верные решения задания

 

 

Формируется логическое мышление у учащихся

 

 

 

 

 

 

 

 

 

 

Ученикам будет интересно узнать новое о истории математики

 

 

 

 

 

 

 

 

 

 

 

 

 

 

 

 

 

 

 

 

 

 

 

Правильные ответы в процессе диалога, общения активность ученика

 

 

 

 

 

Учащиеся выполняют задание

 

 

 

 

 

 

Решают самостоятельно, проверка на флипчартах.

Не будут  бояться ошибок, наглядно на флипчартах все станет ясно.

 

 

 

 

 

 

 

Ученики совещаются, работая в группе, консультируются с учителем, одаренными детьми

 

 

 

 

 

 

 

 

Учащиеся оценивают работу другой группы, выставляют оценку. Результаты  показывают, что изученный материал усвоен.

 

 

 

 

 

 

 

 

 

 

выявляются насколько учеников активных и заинтересованных на уроках математики на исходном этапе

 

 

 

 

 

 

 

 

 

 

 

 

 

Рефлексия

1.      Подведение итога

Подвести итоги урока, отметить наиболее активных учащихся. Поблагодарить учащихся за работу на уроке.

  Ученики на стикерах прилепляют записи, о том чему они научились, что нового они узнали, как поняли урок, понравилось ли урок, как они чувствовали на уроке.

Домашнее задание

№ 240  №242

 Уровень-С Творческая Подкастинг:

Учитель загружает на программу

Dropbox фильм о треугольнике Паскаля, где ученики могут на своем компьютере открыть этот файл. Просмотрев фильм одаренные ученики проводят исследования треугольника Паскаля, перечисляют закономерности, которые они обнаружили.

 

Итог урока. Рефлексия.

Ребята по кругу высказывали обратную связь, выбирая начало фразы из рефлексии на экране доски.

  1.  сегодня я узнал…
  2. было интересно…
  3. было трудно…
  4. я выполнял задания…
  5. я понял, что…
  6. теперь я могу…
  7. я почувствовал, что…
  8. я приобрел…
  9. я научился…
  10. у меня получилось …
  11. я смог…
  12. я попробую…
  13. меня удивило…
  14. урок дал мне для жизни…
  15. мне захотелось…

 

 

 

 

Затруднений при выполнении домашнего задания не будет

 

Домашнее задание с помощью подкастинга будет интересной для учащихся

 

 


 

Скачивание материала доступно только для авторизованных пользователей.