Тема урока. «Арифметическая прогрессия.»
Тип урока: урок изучения нового материала
Оборудование: - компьютер, проектор;
- презентация;
-карточки с текстами задач.
Цели урока:
- (познавательные логические УУД): приобретение учебной информации и развитие интеллектуальных умений при изуче-нии: а) понятий; б) свойств; в) формул; г)типов задач
- (познавательные общеучебные УУД; регулятивные УУД): контроль усвоения теоретических знаний: а) определений; б) формул; в) типов и классов задач
- (коммуникативные УУД сотрудничество; коммуникативные УУД для общения: развитие устной и письменной речи): применение знаний и интеллектуальных умений при решении учебных задач
- (коммуникативные УУД сотрудничество; коммуникативные УУД для общения: развитие устной и письменной речи): развитие коммуникативных умений через: включение в групповую работу; взаимопомощь, рецензирование ответов; организацию взаимоконтроля и взаимопроверки на всех этапах УПД
- (познавательные общеучебные УУД; регулятивные УУД): развитие организационных умений (целеполагание, планирование)
Структура урока:
Этап 1. Вступительное слово учителя, постановка целей,
объявление тематики урока - 3мин.
Этап 2. Построение опорных знаний - 10мин.
Этап 3. Изложение нового материала - 8мин.
Этап 4. Выполнение теста «Как понял ты новый - 5мин.
материал»
Этап 5. Решение задач по новой теме - 16мин.
Этап 6. Обобщение изученного, задание на дом. - 3мин
Методы и приёмы преподавания:
- фронтальная беседа;
- сообщение;
- тестирование;
- экспресс-опрос;
- упражнения - демонстрация;
- математический диктант.
План – конспект урока.
Ход урока.
Этап 1. Вступительное слово учителя
- Здравствуйте. На предыдущих уроках мы изучали тему «Последовательность». Из всех числовых последовательностей особо выделяют две. Их назвали прогрессиями. В силу своих особенностей, или закономерностей, одну прогрессию назвали арифметической, другую – геометрической. Слово «прогрессия» (с латинского) буквально означает «движение вперёд» (как и слово «прогресс»). Сегодня мы с вами подробно разберем тему « Арифметическая прогрессия».
Этап 2. Построение опорных знаний
Учитель предлагает учащимся ответить на вопросы и выполнить устное задание:
· Что называется числовой последовательностью?
· Какие способы задания последовательностей вы знаете?
Задание. Определить закономерность числовых последовательностей:
1) 2, 4, 6,…
2) 10, 7, 4,…
3) -3, -1, 1,…
4) 20, 15, 10,…
1. Назовите первые пять членов последовательности ( ап), если ап = п2+ 3
Этап 3. Изложение нового материала
1.ОПРЕДЕЛЕНИЕ АРИФМЕТИЧЕСКОЙ ПРОГРЕССИИ.
ЗАДАЧА.
Горизонтальные перегородки забора имеют такую длину: наименьшая 7дм, а каждая следующая на 2дм длиннее. Запишите длину восьми перегородок забора
1)Запишите последовательность в соответствии с условием задачи.
9;11;13;15;17,19,21.
2) Запишите последовательность с помощью таблицы.
|
а1 |
а2 |
а3 |
а4 |
а5 |
а6 |
а7 |
|
9 |
11 |
13 |
15 |
17 |
19 |
21 |
3) Найдите разность между предыдущим и последующими членами последовательности.
а2 - а1 =11-9=2 а3 - а2 =13-11=2
а4 - а 3=15-13=2 а5 - а4=17-15=2
а6 - а5 =19-17=2 а7 - а6 =21-19=2
d-разность ;
d= а2 - а1 = а3 - - а2 = а4 - а3 = …
d= ап+1 – ап- разность
4)Задайте эту последовательность с помощью рекуррентной формулы.
а1 = 8, ап+1 = ап +2
Такая последовательность называется арифметической прогрессией. Термин «прогрессия» (от лат. рrogressio — движение вперед) был введен римским философом Боэцием в VI в. и понимался просто как последовательность чисел, построенная по такому закону, который позволяет неограниченно продолжать эту последовательность в одном направлении.
Арифметическая прогрессия появилась с возникновением натуральных чисел, так как каждое следующее натуральное число на 1 больше предыдущего.
5) Попробуйте дать определение арифметической прогрессии.
Учащиеся пытаются сформулировать
определение, учитель им помогает.
6) Работа с учебником.
Учащиеся находят правило в учебнике, один из учащихся
читает определение вслух.
7) Найдите среднее арифметическое чисел 7 и 9.
(7+9):2=8.
8) Справедлива ли такая закономерность для любых трех членов арифметической прогрессии?
(а1+ а3 ) :2= а2 (7+9):2=8, а2=8,
9) Докажите, что для членов арифметической прогрессии справедлива закономерность
d= ап+1 - ап = ап+2 - ап+1=…
ап+1 - ап = ап+2 - ап+1
ап+1 = ап+2 + ап
ап+1 =( ап+2 + ап):2
ап+1 =( ап+2 + ап):2
Каждый член арифметической прогрессии, начиная со второго, есть среднее арифметическое между предыдущим и последующим членами прогрессии. Отсюда и произошло название прогрессии- арифметическая.
ПРИМЕР.1. Дано:( ап)-арифметическая прогрессия,
а1 =3, d= 7.
Найти: первые пять членов, т.е. а2, а3, а4, а5
Решение:
а2 = а1+ d=3+7=10
а3= а2+ d=10+7=17
а4 = а3+ d=17+7=24
а5 = а4+ d=24+7=31
Ответ: 3;10;17;24;31.
2.ВЫВОД ФОРМУЛЫ п-го ЧЛЕНА АРИФМЕТИЧЕСКОЙ ПРОГРЕССИИ.
( ап )- арифметическая прогрессия,
d-разность прогрессии,
а1 - первый член .
а2 = а1 + d
а3= а2+ d = а1+ d + d = а1 +2 d
а4 = а3+ d = а1 +2 d + d = а1 +3d
………………………………
|
ап ап = а1 + (п-1) d |
- формула п-го члена арифметической прогрессии.
ПРИМЕР.2. Дано: (ап )-арифметическая прогрессия,d=3, а1=20,
Найти: а5 ,а12 .
Решение: ап = а1 + (п-1) d
а5= а1 + (5-1) d
а5=20+4*3=32
а12= а1 + (12-1) d
а12=20+11*3=53
Ответ: а5=32, а12=53.
ПРИМЕР.3. Дано: 15; 13; 11;… -арифметическая прогрессия.
Найти: а11
Решение:
а1=15, а2=13, d= а2 – а1
d=13-15= - 2,
ап = а1 + (п-1) d
а11 = а1 + (11-1) d
а11 = 15 + 10*(-2)=-5.
Ответ: а11=-5.
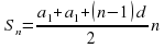
3.ВЫВОД ФОРМУЛЫ СУММЫ п ПЕРВЫХ ЧЛЕНОВ АРИФМЕТИЧЕСКОЙ ПРОГРЕССИИ.
1)Постановка проблемы.
2;5;8;11;14.-арифметическая прогрессия. Найдите сумму первых пяти членов этой прогрессии.
2)Изобразим эти числа с помощью ступенчатой фигуры (используя клетки тетради).
В Д О
А С Е
3) Дополним эту фигуру АВДС до прямоугольника АВОЕ.
4) Получим две равные фигуры: АВДС=ОЕСД.
Следовательно, равны их площади: S(АВДС)=S(ОЕСД).
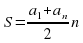
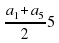
5) Найдем площадь фигуры АВОД как площадь прямоугольника.
S(ABGE)= AE*AB
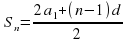
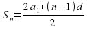
S(ABGE)=(AC +CE)*AB
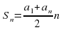
2 S(ABDC)=( первый член + п-й член) * число членов
S(ABDC)=
n
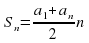
![]()
Sn- сумма n – первых членов арифметической прогрессии.
|
|
-формула суммы п первых членов арифметической прогрессии.
![]()
ап = а1 + (п-1) d
![]()
![]()
|
|
-формула суммы п первыхчленов арифметической прогрессии.
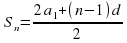
ПРИМЕР.4. Дано: (ап)-арифметическая прогрессия,
а1=-40, а5= -32.
Найти:S5.
Решение:
![]()
=![]()
![]()
S5=-180
Ответ: S5=-180.
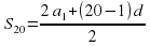
ПРИМЕР.5. Дано:8;4;0;…-арифметическая прогрессия.
Найти:S20
Решение:
![]()
20
d= a2 – a1=4-8=-4
20
=- 600 .
Ответ: -600.
Этап 4. Выполнение теста «Как понял ты новый материал»
Самостоятельная работа
Вариант 1 Вариант 2
Заполни пропуски
|
а1 |
d |
a6 |
|
-35 |
5 |
|
|
7 |
|
62 |
|
-3 |
6 |
|
|
а1 |
d |
a6 |
|
10 |
4 |
|
|
-2 |
|
53 |
|
2 |
9,6 |
|
Карточка 1
1. (аn) –арифметическая прогрессия. Найдите а4, если а1=10,
d=-0,1
1) 9,7 2) 97 3)-97 4) 10,3 5) -10,3
2. (bn) – геометрическая прогрессия. Найдите b6 , если b1=4, q=2
1) -0,125 2) 0,125 3) 1,25 4) 12,5 5) 1,25
3.Найдите сумму бесконечной геометрической прогрессии:
12; 6…
1) 6 2) -12 3) 24 4) -24 5) 1,25
4. Представьте в виде обыкновенной дроби число 0,(11)…
1. 1 1/9 2) -9 3)-1/9 4) 1/9 5) 9
5. Найдите сумму ста первых членов последовательности (хn), если хn =2n+1
1) 20400 2) 1200 3) 102 4) 1020 5) 10200
Карточка 2
1. (bn) – геометрическая прогрессия. Найдите b5 , если b1=32,
q=-1/2
1) 2 2) -2 3) 1/2 4) -1/2 5) 32
2. . (bn) – геометрическая прогрессия b1=625,
q=1/5.Найдите S5.
1) -781 2)781 3) 871 4) -871 5) -10
3.Арифметическая прогрессия: 10; 8… Найдите S10
1) 190 2) -190 3) 10 4) 1 5) -10
4. Представьте в виде обыкновенной дроби число (0,21)…
1. 1/33 2) 1/7 3)-7/33 4) 7/33 5) 33/7
5.Найдите 25-й член арифметической прогрессии: -3; -6…
1) 69 2)-69 3) 75 4) -75 5) -72
Карточка 3
1. . Представьте в виде обыкновенной дроби число 0,(6)
1. 2/3 2) -2/3 3)-1 1/3 4) 1 1/3 5) 0,6
2.Вычислите S4, если (bn) – геометрическая прогрессия и b1=1,
q=3
1)81 2) 40 3) 80 4) -80 5) -40
3. Найдите 8-й член геометрической прогрессии (bn), если b1=32,
q=1/2
1) 1/2 2) -1/4 3) 1/4 4) -1/2 5)64
4. (аn) –арифметическая прогрессия. а1=-10,
d=2 Найдите S5
1) -28 2) -70 3)70 4) -30 5) 39
5. Найдите 10-й член арифметической прогрессии 3; 7…
1)-36 2) 36 3) -33 4) 33 5) 39
Этап 5. Решение задач по новой теме
Работа с заданиями в учебнике.
Подведем итог
Арифметическая прогрессия – это числовая последовательность, каждый член которой, начиная со второго равен предыдущему сложенному с одним и тем же числом.
![]()
-
разность арифметической прогрессии (число)
Свойство n –го члена арифметической прогрессии
Каждый член арифметической прогрессии, начиная со второго, равен среднему арифметическому двух соседних с ним членов

Этап 6. Обобщение изученного, задание на дом.
• Читать параграф 18, учить правила.
• Уметь выводить формулу n – го члена арифметической прогрессии и свойство n – го члена арифметической прогрессии.
• № 234, № 236 (1,3), № 237 (1,3)
Материалы на данной страницы взяты из открытых источников либо размещены пользователем в соответствии с договором-офертой сайта. Вы можете сообщить о нарушении.