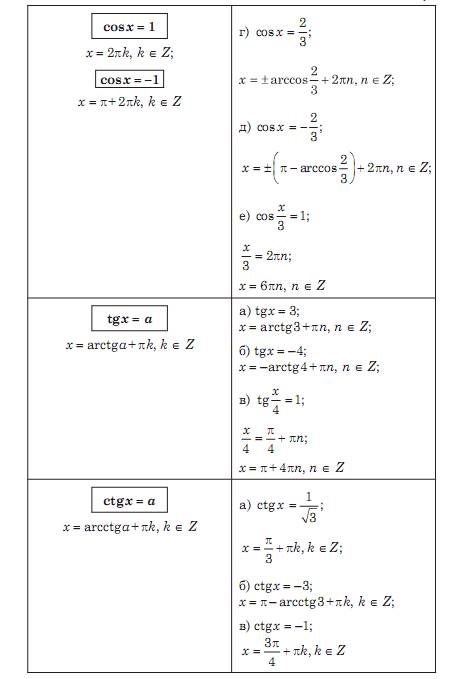
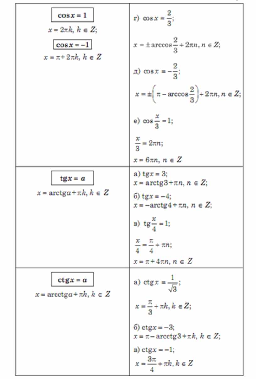
Алгебра в схемах таблицах

  • docx
  • 26.12.2021
Публикация на сайте для учителей

Публикация педагогических разработок

Бесплатное участие. Свидетельство автора сразу.
Мгновенные 10 документов в портфолио.

Иконка файла материала Алгебра в схемах таблицах _62.docx


 

Скачивание материала доступно только для авторизованных пользователей.