английские слова_на_все_случаи_жизни

  • docx
  • 25.12.2021
Публикация на сайте для учителей

Публикация педагогических разработок

Бесплатное участие. Свидетельство автора сразу.
Мгновенные 10 документов в портфолио.

Иконка файла материала англиские слова_на_все_случаи_жизни_168.docx

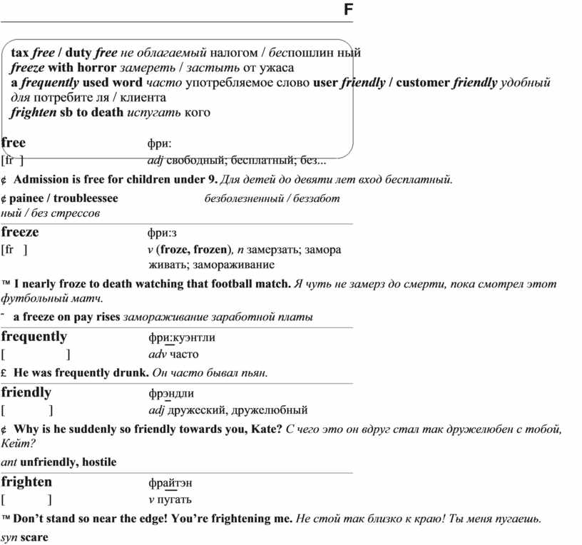
F

 

 


tax free / duty free не облагаемый налогом / беспошлин ный

freeze with horror замереть / застыть от ужаса

a frequently used word часто употребляемое слово user friendly / customer friendly удобный для потребите ля / клиента

frighten sb to death испугать кого

 

free                                           фри:

 

[fr  ]                                            adj свободный; бесплатный; без...

 

¢   Admission is free for children under 9. Для детей до девяти лет вход бесплатный.

 

¢ painee / troubleessee                               безболезненный / беззабот

 

ный / без стрессов

 

 


freeze                                       фри:з

 

[fr    ]                                           v (froze, frozen), n замерзать; замора

 

живать; замораживание

 

I nearly froze to death watching that football match. Я чуть не замерз до смерти, пока смотрел этот футбольный матч.

 

˜   a freeze on pay rises замораживание заработной платы

 

 


frequently

фри:куэнтли

 

 

 

 

 

[

]

adv часто

 

£   He was frequently drunk. Он часто бывал пьян.

 

 


friendly

фрэндли

 

 

 

 

 

[

]

adj дружеский, дружелюбный

 

¢   Why is he suddenly so friendly towards you, Kate? С чего это он вдруг стал так дружелюбен с тобой, Кейт?

 

ant unfriendly, hostile

 

 


frighten

фрайтэн

 

 

 

 

 

[

]

v пугать

 

Don’t stand so near the edge! You’re frightening me. Не стой так близко к краю! Ты меня пугаешь.

 

syn scare


 

Посмотрите также