конспект урока "Координаты точек пересечения окружности и прямой"

  • doc
  • 13.04.2026
Публикация на сайте для учителей

Публикация педагогических разработок

Бесплатное участие. Свидетельство автора сразу.
Мгновенные 10 документов в портфолио.

Иконка файла материала Координаты точек пересечения окружности и прямой.doc

Технологическая карта урока

 

№ п/п

Этап урока

Ход урока

Деятельность учителя

Деятельность учащихся

1.

Мотивация (самоопределение) к учебной деятельности

— Здравствуйте, ребята! Улыбнитесь друг другу и мне — начинаем работу.

—Начнём урок с ребуса. Попробуйте его разгадать.

                      

(Ожидаемые ответы: слова окружность и прямая)

—Верно! Слова «окружность» и «прямая» означают, что сегодня мы снова будем работать с этими фигурами.

 

 

Организует работу с ребусом.

Организует работу с ребусом.

2.

Актуализация и пробное учебное действие

— Давайте вспомним, как выглядит уравнение окружности с центром в точке (x0,y0) и радиусом R?

(Ожидаемый ответ  (x−x0)2+(y−y0)2=R2 )

— Отлично. А теперь проверим, умеем ли мы определять центр и радиус по готовому уравнению.

 

— Верно. Следующее задание: составьте уравнение окружности.

— Отлично! А теперь вспомним как выглядит уравнение прямой в общем виде?

( Ожидаемый ответ ax+by+c=0)

— Верно. Как составить уравнение прямой, проходящей через две точки (x1,y1) и (x2,y2)?

Ожидаемый ответ:  


— Составим уравнение прямой через точки (2,3) и (4,7).

Ответ: y=2x1

— Прекрасно! Всё это мы уже умеем делать.

Организует повторение формул. Предлагает устные и письменные задания. Контролирует правильность ответов.

 

  Вспоминают формулу окружности и прямой. Определяют центр и радиус по уравнению. Составляют уравнения по заданным данным.

 

3.

Выявление места и причины затруднения

Как может быть расположена прямая относительно окружности?

(Она может пересекать окружность, касаться. Может не пересекать.)

—Посмотрите на эти рисунки. Как здесь заданы прямая и окружность?

(Графически.  С помощью рисунка.)

— Верно, графически. А каким ещё способом мы умеем задавать прямую и окружность?

(с помощью уравнений.)

— Если у нас есть только уравнения, а чертежа нет, то как понять, есть ли у прямой и окружности точки пересечения и где они находятся?

(Ожидаемый ответ: Нужно как-то вычислять. Надо определить, есть ли точки пересечения по уравнениям.  И найти координаты этих точек, если они есть.)

 

Давайте попробуем сформулировать тему нашего урока.

 

(Ожидаемый ответ: тема нашего урока: «Координаты точек пересечения прямой и окружности»

— Итак, ребята, мы определили тему нашего урока.

— А какую цель мы хотим достичь на этом уроке? Что мы хотим уметь к концу занятия?

(Ожидаемый ответ: научиться находить координаты точек пересечения прямой и окружности, научиться определять, есть ли пересечения или нет.)

 

Предлагает задачу на пересечение прямой и окружности. Подводит к осознанию нового способа. Организует обсуждение.

 

Пытаются решить задачу известными способами. Обнаруживают невозможность решения прежним способом.

Формулируют причину затруднения.

 

4.

Построение проекта выхода из затруднения (целеполагание),  реализация построенного проекта

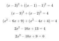
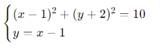
— У нас есть задача:

— Что будем делать, если предполагаем, что прямая и окружность пересекаются?

Ожидаемый ответ:
Нужно найти точки пересечения, их координаты, количество точек.

— Что значит, что точка лежит и на прямой, и на окружности?

Ожидаемый ответ:
Её координаты должны удовлетворять обоим уравнениям одновременно.

— Как это сделать?

Ожидаемый ответ:
Составить систему уравнений и решить её.

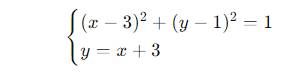
— Наша система:

— Каким методом будем решать систему?

Ожидаемый ответ:

Решаем систему методом подстановки.

 — После того как получили квадратное уравнение, что мы обычно находим?

Ожидаемый ответ:

Дискриминант, который показывает количество корней квадратного уравнения.

— А что это значит для нашей задачи?

Ожидаемый ответ:
Каждый корень соответствует точке пересечения прямой и окружности.

— Значит:

·         Если D>0, квадратное уравнение имеет два разных корня → прямая пересекает окружность в двух точках.

·         Если D=0, есть один корень → прямая касается окружности, только одна точка пересечения.

·         Если D<0, нет действительных корней → прямая не пересекает окружность, точек пересечения нет.

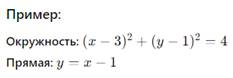
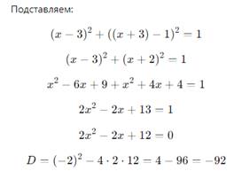
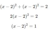
— В нашем случае  , значит, у прямой и окружности две точки пересечения.

— После этого находим корни x и соответствующие y, чтобы определить координаты точек.

Получаем: Две точки пересечения получились: (3;3) и (1;1)

Пытаются решить задачу известными способами. Обнаруживают невозможность решения прежним способом. Формулируют причину затруднения. Организует пошаговое решение задачи. Задаёт направляющие вопросы. Акцентирует связь дискриминанта с количеством точек.

 

 Направляет к формулировке темы и цели. Организует поиск способа решения. Подводит к необходимости решения системы. ·  Организует пошаговое решение задачи. Задаёт направляющие вопросы. Акцентирует связь дискриминанта с количеством точек.

 

 

5.

Первичное закрепление с комментированием во внешней речи

Физминутка «Нарисуй фигуру глазами»
— Ребята, вы отлично поработали, ваш мозг искал точки пересечения, теперь дайте отдохнуть глазам и телу. Встаньте, пожалуйста.
— Представьте, что перед вами огромный белый лист, а ваш нос — это карандаш.

1.                               «Рисуем окружность»: Не поворачивая головы, медленно «нарисуйте» носом в воздухе большую ровную окружность. Сначала по часовой стрелке (3 раза). А теперь против часовой стрелки (3 раза). Старайтесь, чтобы круг был ровным. Молодцы!

2.                               «Чертим прямую»: А теперь «начертим» прямую линию. Подбородок неподвижен, работаем только носом и глазами. Ведем «карандашом» строго горизонтально вправо-влево (4 раза). А теперь вертикально вверх-вниз (4 раза). Отлично!

3.                    «Касательная»: А теперь резко моргните 5 раз (это как касание — быстро и точно).
— Отдохнули? Садитесь. Продолжаем нашу работу. Теперь попробуем закрепить новый способ.

 

— Теперь попробуем закрепить новый способ. Вспомним алгоритм:

1.       Составляем систему уравнений (окружность + прямая).

2.       Подставляем одно уравнение в другое (метод подстановки).

3.       Получаем квадратное уравнение по одной переменной.

4.       Вычисляем дискриминант, чтобы определить количество точек пересечения.

5.       Находим координаты всех точек пересечения.

 

 

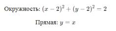
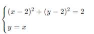
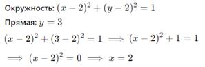
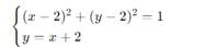
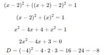
Точка пересечения (2;3)

 

 

 

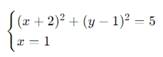
Дискриминант отрицательный → решений нет, прямая не пересекает окружность.

Организует фронтальное решение. Контролирует ход рассуждений. Корректирует ошибки.

 

Организует фронтальное решение. Контролирует ход рассуждений. Корректирует ошибки.

 

6

Самостоятельная работа с самопроверкой по эталону

— Сейчас вы будете работать самостоятельно.
Ваша задача — применить алгоритм полностью:

1.       Составить систему.

2.       Выполнить подстановку.

3.       Получить квадратное уравнение.

4.       Вычислить дискриминант.

5.       Сделать вывод о количестве точек пересечения.

6.       Найти координаты точек (если они есть).

Работаем аккуратно, записываем решение полностью. После выполнения сверим ответы

 

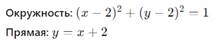
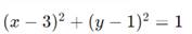
Окружность:

Прямая:

 

Дискриминант отрицательный → решений нет.

— Поднимите руку, у кого оба задания выполнены верно.
Где возникли затруднения? На каком шаге чаще всего возникают ошибки?

Предлагает индивидуальное задание. Обеспечивает условия для самостоятельной работы. Предоставляет ответ для самопроверки. Организует анализ ошибок.

 

 Самостоятельно решают задачу. Сверяют решение с эталоном. Выявляют и исправляют ошибки. Оценивают правильность выполнения.

 

7

Рефлексия учебной деятельности на уроке

Ребята давайте подведем итог нашей работы.

— Вспомним, какую цель мы ставили в начале урока. Чему мы должны были научиться?

Ожидаемые ответы: Определять взаимное расположение прямой и окружности по уравнениям. Находить координаты точек пересечения.

— Достигли ли мы этой цели?

Ожидаемые ответы: Да. Теперь мы умеем решать такие задачи.

— А теперь оцените, насколько хорошо вы поняли сегодняшнюю тему.
Поднимите карточку нужного цвета:

Зелёный — всё понял(а), могу решить задачу самостоятельно.
Жёлтый — в целом понимаю, но нужна ещё практика.
Красный — есть затруднения, нужно повторить тему.

Спасибо за честную оценку.

 

Задаёт наводящие вопросы. Организует самооценку (приём «Светофор»).

 

Вспоминают цель урока. Соотносят результат с целью. Оценивают уровень понимания темы.

 

8

Домашнее задание

1. Найдите точки пересечения прямой и окружности. Определите их взаимное расположение.

 

2. Определите взаимное расположение прямой и окружности.
Если точки пересечения существуют — найдите их координаты.

3. Определите, есть ли точки пересечения.
Если есть — найдите их координаты.

Творческое задание (по желанию)

Составьте собственный пример окружности и прямой:

·         так, чтобы они имели две точки пересечения,

·         одну точку (касание),

·         или не имели общих точек.

— Дома вам нужно будет закрепить способ, который мы сегодня открыли.

— Обратите внимание: в каждом задании необходимо:

  1. составить систему,
  2. решить её методом подстановки,
  3. получить квадратное уравнение,
  4. сделать вывод по дискриминанту о количестве точек пересечения,
  5. записать ответ.

— Во втором и третьем задании сначала подумайте: сколько решений может быть? Обоснуйте это через дискриминант.

— Творческое задание выполняется по желанию. Оно позволит вам попробовать себя в роли составителя задач.

Объясняет содержание домашнего задания.

Акцентирует алгоритм выполнения.

Даёт рекомендации по оформлению.

Отвечает на уточняющие вопросы

Записывают домашнее задание. Уточняют порядок выполнения. Задают вопросы при необходимости

 

 

 


Скачивание материала доступно только для авторизованных пользователей.