Контрольная работа 6 класс по теме "Графики и диаграммы"

  • docx
  • 20.08.2025
Публикация на сайте для учителей

Публикация педагогических разработок

Бесплатное участие. Свидетельство автора сразу.
Мгновенные 10 документов в портфолио.

Иконка файла материала 6 кл_Контрольная работа_Графики и диаграммы.docx

Контрольная работа                                     «Графики и диаграммы»

1 вариант

 


№ 1.

 

 

 

 

 

 

 

 

 

 

 

 

 

 

 

№ 2.

 

№ 3.

 

 

 

 

 

 

 

 

 

 

 

 

 

 

 

 

 

 

 

 

№ 4. На диаграмме показано распределение деревьев, растущих в парке.

1) Сколько процентов растущих в парке деревьев составляют ели?

2) Каких деревьев меньше всего растет в парке?

3) Во сколько раз больше в парке растёт берез, чем клёнов?

 

 

 

 

 

 

 

 

 

 

 


№ 5.

 

 

 

 

 

 

 

 

 

 

 

 

 

 

 

 

 

 

 

 

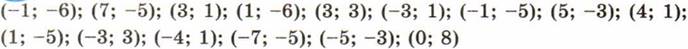
№ 6. Постройте в системе координат рисунок по заданным координатам.

 

 

 

 

 


№ 7.

 

 

 

 

 

 

 

 

 

 

 

 

 

 

 

 

 

 

 

 

 

 

 

 

 

 

 

 

 

 

 

 

 

 

 

 

 

 

 

 

 

№ 8.

 

 

 

 

 

 

 

 

 

 

 

 

 

 

 

 

 

 

 

 

 

№ 9. На диаграмме представлены данные о количестве посетителей шашечного клуба за неделю. По вертикали указано количество посетителей. Сколько человек посетило клуб с четверга по субботу?

 

 

 

 

 

 

 

 

 

 

 

 

 

 

 

 

 


Контрольная работа                                     «Графики и диаграммы»

2 вариант

 


№ 1.

 

 

 

 

 

 

 

 

 

 

 

 

 

 

 


№ 2.

 

№ 3.

 

 

 

 

 

 

 

 

 

 

 

 

 

 

 

 

 

 

 

 

№ 4. На диаграмме показано распределение площади огорода под посадку различных овощей.

1) Сколько процентов площади огорода занято свёклой?

2) Какой овощной культурой засажена наибольшая часть огорода?

3) Во сколько раз площадь, занятая кабачками, меньше площади, занятой морковью?

 

 

 

 

 

 

 

 

 

 

 


№ 5.

 

 

 

 

 

 

 

 

 

 

 

 

 

 

 

 

 

 

 

 

 

 

 

 

 

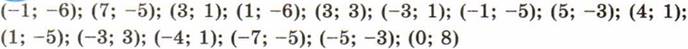
№ 6. Постройте в системе координат рисунок по заданным координатам.

 

 


№ 7.

 

 

 

 

 

 

 

 

 

 

 

 

 

 

 

 

 

 

 

 

 

 

 

 

 

 

 

 

 

 

 

 

 

 

 

 

 

 

 

 

 

 

 

 

 

 

 

 

 

 

 

 

 

 

 

№ 8.

 

 

 

 

 

 

 

 

 

 

 

 

 

 

 

 

 

 

 

 

 

№ 9. На диаграмме представлены данные о количестве посетителей шашечного клуба за неделю. По вертикали указано количество посетителей. Сколько человек посетило клуб в будние дни?