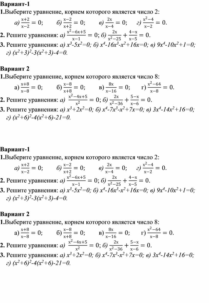
Вариант-1
1.Выберите уравнение, корнем которого является число 2:
а)
б)
в)
г) ![]()
2.
Решите уравнения: а)
; б)
.
3. Решите уравнения: а) х3-5х2=0; б) х4-16х3-х2+16х=0; в) 9х4-10х2+1=0;
г) (х2+3)2-3(х2+3)-4=0.
Вариант 2
1.Выберите уравнение, корнем которого является число 8:
а)
б)
в)
г) ![]()
2.
Решите уравнения: а)
; б)
.
3. Решите уравнения: а) х3+2х2=0; б) х4-7х3-х2+7х=0; в) 3х4-14х2+16=0;
г) (х2+6)2-4(х2+6)-21=0.

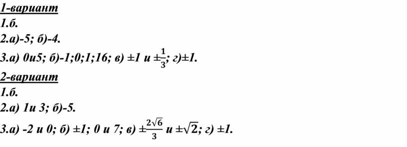
1-вариант
1.б.
2.а)-5; б)-4.
3.а)
0и5; б)-1;0;1;16; в) ±1 и ±
; г)±1.
2-вариант
1.б.
2.а) 1и 3; б)-5.
3.а)
-2 и 0; б) ±1; 0 и 7; в) ±
и ±
; г) ±1.
Скачано с www.znanio.ru
Материалы на данной страницы взяты из открытых источников либо размещены пользователем в соответствии с договором-офертой сайта. Вы можете сообщить о нарушении.