ЛАБОРАТОРНА РОБОТА №13
Тема: Побудова графіків функцій та поверхонь в MS Excel.
Мета : Придбати навички обробки даних для побудови графіків функцій та поверхонь.
Зміст: Навчитися будувати графіки та поверхні в MS Excel.
Обладнання для виконання роботи:
1. Методичні вказівки що до виконання практичної роботи;
2. Персональний комп’ютер;
3. Відповідне програмне забезпечення (Windows 98, Microsoft Office 2000, XP, 2003, MS Excel, MS Access).
Теоретичні основи:
1. Побудова графіка
Розглянемо приклад побудови графіка
функції на прикладі функції ![]()
Для побудови графіка функції необхідно спочатку побудувати таблицю її значень при різних значеннях аргументу з фіксованим кроком. Виберемо крок рівним 0,1. Необхідно знайти у(0), у(0,1), у(0,2) ..., у(1). З цією метою в діапазон вічок А1:А11 введемо наступні значення змінної x: 0, 0.1, 0.2, ..., 1. Вибрані значення утворюють арифметичну прогресію. Заповнення вічок членами арифметичної прогресії в Excel можна здійснити двома способами.
Перший спосіб. У вічка А1 і А2 вводимо
перший і другий члени арифметичної прогресії і виділяємо ці вічка. Після цього
встановлюємо покажчик миші на маркер заповнення виділеного діапазону і
протягаємо його вниз до тих пір, поки не вийде числовий ряд потрібної довжини.
Другий спосіб. У вічко А1 вводимо перший член арифметичної прогресії. Вибираємо
команду Правку, Заповнити, Прогресія і в діалоговому вікні, що відкрилося,
Прогресія в групі Розташування встановлюємо перемикач в положення По стовпцях,
а в групі Тип – в 4 положення Арифметична. У полі Крок вводимо значення 0.1, а
в полі Граничне значення – 1. Після натиснення кнопки ОК буде виконано побудову
прогресії. За допомогою команди Правки, Заповнити, Прогресія можна створювати
також геометричні прогресії. Введення формул у вічко можна виробляти з
клавіатури або за допомогою діалогового вікна Майстер функцій, що викликається
командою Вставкою, Функція або натисненням кнопки панелі інструментів
Стандартна
. Майстер функцій містить список всіх вбудованих в
Excel функцій, а також довідки по синтаксису функцій і приклади їх вживання.
Виділимо вічко В1 і натискуватимемо кнопку
. На екрані з'явиться перше діалогове вікно Майстра
функцій. Це вікно містить два списки: Категорія – список, що включає 11
категорій функцій, і Функція – список імен функцій, що входять у вибрану
категорію.
Функція cosx відноситься до категорії Математичні. Виберемо цю функцію і натискуватимемо кнопку ОК. На екрані з'явиться друге діалогове вікно Майстра функцій. У полі Число введемо аргумент функції. У даному випадку це ПІ()*А1. Після натиснення кнопки ОК у вічко В1 буде введена формула:
=COS(ПІ()*A1)
Відзначимо, що при використанні майстра функцій перед введенням формули у вічко не треба вводити знак “=”, оскільки майстер функцій введе його самого. Тепер за допомогою клавіатури додайте в цю формулу операцію зведення в квадрат. Після всіх описаних дій у вічко В1 буде введена формула:
=COS(ПІ()*A1)^2
Для того, щоб завершити процес табулювання функції, виділимо вічко В1, встановимо покажчик миші на маркері заповнення цього вічка і протягнемо його вниз до вічка В11. Для побудови графіка викличемо майстер діаграм . Робота з майстром діаграм здійснюється по кроках. Виклик майстра діаграм виробляється або за допомогою команди Вставки, Діаграма, або натисненням кнопки панелі інструментів Стандартна. На першому кроці в діалоговому вікні, що відкрилося, на вкладці Стандартні вибираємо типа діаграми Графік, її вигляд і натискуємо кнопку Далі.

Рис. 1. Перший крок майстра діаграм
На другому кроці на вкладці Діапазон даних необхідно вказати діапазон даних, по якому будується графік. Для цього треба встановити перемикач Ряди в стовпцях. Після цього у вікні Діапазон треба вказати діапазон даних =$B$1:$B$11. Проте простіше вказати діапазон, протягуючи по ньому мишу. На вкладці Ряд у вікні Підпису осі Х аналогічним чином треба вказати діапазон значень змінної x: =$A$1:$A$11. Значення з цього діапазону використовуються як мітки осі X. Виконавши ці дії потрібно натискувати кнопку Далі.

Рис. 2. Другий крок майстра діаграм. Вкладка Діапазон даних.
На третьому кроці встановлюються параметри діаграми, такі як Підписи дані, Таблиця даних, Заголовки, Осі, Лінії сітки, Легенда. На четвертому кроці вказується місце розміщення діаграми: на окремому аркуші або на тому, що є. Побудова графіка функції завершується натисненням кнопки Готово.
2. Побудова графіка функції з однією умовою
Розглянемо приклад побудови графіка функції

Цей графік будується так само, як і попередній, за одним виключенням – у вічко В1 вводиться формула:
=ЯКЩО(А1<0,5; (1+ABS(0,2-A1))/(1+A1+A1^2); A1^(1/3)).
Функція ЯКЩО використовується для перевірки значень формул і організації переходів залежно від результатів перевірки. Лог_вираз – будь-яке значення або вираз, яке при обчисленні дає значення ІСТИНА або ХИБНО.
Значення_якщо_істіна – значення, яке повертається, якщо лог_вираз має значення ІСТИНУ. Якщо лог_вираз має значення ІСТИНУ і значенння_якщо_істина опущено, то повертається значення ІСТИНА.
Значення_якщо_хибно – це значення, яке повертається, якщо лог_вираз має значення ХИБНО. Якщо лог_вираз має значення ХИБНО і значення_якщо_хибно опущено, то повертається значення ХИБНО. Значення_якщо_хибно може бути іншою формулою.
3. Побудова двох графіків в одній системі координат
Розглянемо приклад побудови в одній системі координат наступних двох функцій

У діапазон вічок А2:А17 вводимо значення змінної x від –3 до 0 з кроком. У вічка В1 і С1 вводимо у і z, відповідно. У вічка В2 і С2 вводимо формули
=2*SIN(A2)
=3*COS(2*A2) -SIN(A2)
Виділимо діапазон В2:С2, встановимо покажчик миші на маркері заповнення цього діапазону і протягнемо вниз так, щоб заповнити діапазон В2:С17. Виділимо діапазон вічок А1:С17, до якого внесені: таблиця значень двох функцій, їх загальний аргумент і заголовки стовпців В і С, і викличемо майстра діаграм.
На третьому кроці вказуємо назву діаграми і напису на осях. Якщо необхідно, наносимо на графік лінії сітки, таблицю даних і легенду. На четвертому кроці вказуємо місце розміщення діаграми.
Література:
1. Кондрашова С.С. Інформаційні технології в управлінні. – К.:МАУП, 1998 р.
2. Пономаренко В.С. Інформаційні системи і технології в економіці. – Київ, Видавничий центр «Академія», 2002р.;
3. Ситник В.Ф. та ін. Основи інформаційних систем. – К: КНЕУ, 2001 р. - 420с.
4. Ситник В. Ф. Системи підтримки прийняття рішень. – К. Техніка, 1995. – 162с.
5. Карпов Б. Microsoft Access 2000: Справочник – СПб Издательство Питер. 2000 – 416 с.: ил.
6. Мишени А.И. Теория экономических информационных систем Учебник – 4-е изд. доп. и перераб. – М: Финансы и статистика, 1999 – 240с. ил.
Техніка безпеки:
Студенти та курсанти, які виконують лабораторні роботи у лабораторіях,
згідно з розкладом занять, повинні виконувати привила техніки безпеки а саме:
1. заходити у лабораторію тільки з дозволу викладача або завідуючого лабораторією;
2. не приносити до лабораторії легко палких та отруйних речовин;
3. без дозволу викладача або завідуючого лабораторією не вмикати ЄОМ та інші електричні прилади;
4. чітко та своєчасно виконувати накази викладача або завідуючого лабораторією;
5. у разі будь-якого інциденту, негайно доповісти викладачу або завідуючому лабораторією.
Послідовність виконання роботи
1.Прочитати методичні вказівки, що до виконання лабораторної роботи.
2.Записати у зошит порядок виконання лабораторної роботи, наприкінці заняття записати результат та висновки лабораторної роботи.
3. Зробити усі частини які пропонуються в лабораторної роботи.
4. Відповісти на контрольні запитання викладача.
Хід виконання роботи
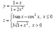
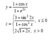
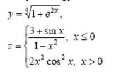
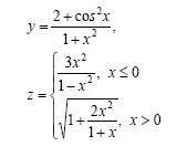
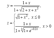
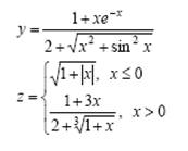
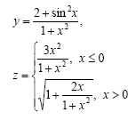
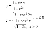
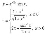
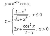
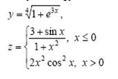
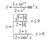
Завдання 1 і 2 взяти з наведеної таблиці 1 по варіанту, згідно свого номеру по списку у журналі
1. Побудувати в різних системах координат при xє[-2, 2] графіки наведених функцій.
2. Побудувати в одній системі координат при xє[-2, 2] графіки наведених двох функцій:
Таблиця 1
|
Варі-анти |
Завдання 1 |
Завдання 2 |
|
1, 16 |
|
|
|
2, 17 |
|
|
|
3, 18 |
|
|
|
4, 19 |
|
|
|
5, 20 |
|
|
|
6, 21 |
|
|
|
7, 22 |
|
|
|
8, 23 |
|
|
|
9, 24 |
|
|
|
10, 25 |
|
|
|
11, 26 |
|
|
|
12, 27 |
|
|
|
13,28 |
|
|
|
14, 29 |
|
|
|
15,30 |
|
|
Контрольні запитання:
1. Принцип побудови графіка функції.
2. Сформулювати принцип побудови графіка функції з однією умовою.
3. Описати принцип побудови двох графіків в одній системі координат.
4. Описати принцип побудови двох графіків в різних системі координат.
Форма звіту
1. Тема, мета роботи.
2. Текст завдання для виконання.
3. Порядок виконання роботи.
4. Хід виконання роботи.
5. Висновок по роботі.
Материалы на данной страницы взяты из открытых источников либо размещены пользователем в соответствии с договором-офертой сайта. Вы можете сообщить о нарушении.