Лекция 4. Представление чисел в ЭВМ. Прямой, обратный и дополнительный коды.
В ВТ, с целью упрощения реализации арифметических операций, применяют специальные коды. За счет этого облегчается определение знака результата операции, а операция вычитания чисел сводится к арифметическому сложению. В результате упрощаются устройства, выполняющие арифметические операции.
В ВТ применяют прямой, обратный и дополнительный коды.
Прямой двоичный код Рпр(х) — это такое представление двоичного числа х, при котором знак «+» кодируется нулем в старшем разряде числа, а знак «-» — единицей. При этом старший разряд называется знаковым.
Например, числа +5D и -5D, представленные в прямом четырехразрядном коде, выглядят так: +5D = 0'101 В; -5D = 1'101. Здесь апострофом условно (для удобства определения знака) отделены знаковые разряды.
Обратный код Робр(х)
получается из прямого кода по следующему
правилу:
Из приведённого выражения видно, что обратный код для положительных чисел совпадает с прямым кодом. Чтобы представить отрицательное двоичное число в обратном коде, нужно оставить в знаковом разряде 1, во всех значащих разрядах заменить 1 на 0, а 0 на 1. Такая операция называется инвертированием и обозначается горизонтальной чертой над инвертируемым выражением
Пример 4. Получить обратный код для числа .х =-11D.
Решение.
![]()
Считается, что здесь числа представлены пятью разрядами. Из рассмотренного примера видно, что обратный код для положительных чисел совпадает с прямым, а для отрицательных чисел получается инверсией (переворотом) всех разрядов, кроме знакового разряда.
Дополнительный код Рдоп(х) образуется следующим образом:

Из выражения видно, что дополнительный код положительного числа совпадает с прямым кодом, а для отрицательного числа получается инверсией всех значащих разрядов и добавлением единицы к младшему разряду результата.
Дополнительный код отрицательного числа может быть получен из обратного кода путем прибавления 1 к младшему разряду обратного кода (естественно, с учетом переносов между разрядами).
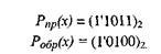
Пример 5. Получить дополнительный код для числа
х = -13D.
Решение.
Pnp(x) = (1'1101) прямой код
Робр(х) =(1’0010) обратный код
Рдоп(х ) = (1’0011) дополнительный код.
При алгебраическом сложении двоичных чисел положительные слагаемые представляют в прямом коде, а отрицательные — в дополнительном коде и производят арифметическое суммирование этих кодов, включая разряды знаков, которые при этом рассматривают как старшие разряды. При возникновении переноса из разряда знака единицу переноса отбрасывают, в результате получают алгебраическую сумму в прямом коде, если эта сумма положительная, и в дополнительном коде, если сумма отрицательная.
Пример 6. Выполнить алгебраическое сложение с использованием дополнительного кода для чисел х1 =7D х2- -3D.
Решение.
Необходимо найти сумму: у = х1 + х2.
Учитывая, что х1 >0, это число нужно представить в прямом коде, а так как х2 < О, то х2 нужно перевести в дополнительный код.

Так как результат положителен (в знаковом разряде Р(у) — 0), значит, он представлен в прямом коде. После перевода двоичного числа в десятичную СС получим ответ: у = +4D.
Пример 7. Выполнить алгебраическое сложение с использованием дополнительного кода для чисел X; = 8D и х2 - -13D.
Необходимо найти сумму: у = x1 + х2.
Число х1 нужно представить в прямом коде, а х2 — в дополнительном коде.

В знаковом разряде стоит единица, и, значит, результат получен в дополнительном коде. Для перехода от дополнительного кода
Рдоп(у)=1’1011В к прямому коду Рпр(у) необходимо выполнить следующие преобразования:
Робр(y) = Рдоп(у) -1 =1’1011-1=1’1010
Рпр(y) = Робр(y) = 1’Инв(1010) = 1’0101В. Переходя от двоичной СС к десятичной СС, получим ответ: у = -5D.
Материалы на данной страницы взяты из открытых источников либо размещены пользователем в соответствии с договором-офертой сайта. Вы можете сообщить о нарушении.