Литературная гостиная "В гостях у Маршака"

  • Занимательные материалы
  • Карточки-задания
  • Конкурсы
  • Мероприятия
  • docx
  • 01.06.2018
Публикация на сайте для учителей

Публикация педагогических разработок

Бесплатное участие. Свидетельство автора сразу.
Мгновенные 10 документов в портфолио.

Литературная гостиная «В гостях у Маршака» Цель привить интерес к творчеству писателя. Задачи. 1. Образовательная: расширить знания детей о жизни и творчестве С.Я.Маршака. 2. Развивающая: развивать воображение, мышление, культуру общения. 3. Воспитательная: воспитывать доброе отношение к людям, умение работать в коллективе. 4. Здоровьесберегающая: следить за здоровьем учащихся, посадкой, за недопустимостью переутомления. Оборудование: портрет С.Я.Маршака; выставка книг; рисунки к стихам; костюмы; презентация; минусовки песен; ширма для кукольного спектакля Примечание: роли ведущих и героев исполняли учащиеся шестого классавикторина
Иконка файла материала конспект.docx
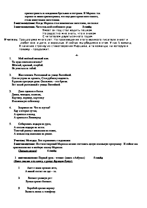
Литературная гостиная «В гостях у Маршака» Цель привить интерес к творчеству писателя.                   Задачи. 1. Образовательная: расширить знания детей о жизни и творчестве С.Я.Маршака. 2. Развивающая: развивать воображение, мышление, культуру общения. 3. Воспитательная: воспитывать доброе отношение к людям, умение работать в коллективе. 4. Здоровьесберегающая:      следить за здоровьем учащихся,  посадкой,  за недопустимостью       переутомления. Оборудование: портрет С.Я.Маршака; выставка книг; рисунки к стихам; костюмы; презентация; минусовки песен;  ширма для кукольного спектакля Примечание: роли ведущих и героев исполняли учащиеся шестого класса­3­ Ход мероприятия Учитель: Сегодня я приглашаю всех вас в литературную гостиную. Ребята, а                    как вы думаете – гостиная ­ от какого слова произошла? (от слова                    ГОСТИ). Совершенно верно. Посмотрите, как много гостей к нам                   пришло. Но мы с вами тоже отправимся в гости. А к кому – мы                    сейчас узнаем.  (Стук в дверь) Учитель: Кто стучится в дверь ко мне?                  С толстой сумкой на ремне?                  С цифрой 5 на медной бляшке?                  В синей форменной фуражке? Все (хором): Это он, это он, Ленинградский почтальон (входит Почтальон – ученик 6 класса): Здравствуйте. Я принёс вам заказное                                                             письмо.  Учитель: (Вытаскивает из конверта большие буквы): Странное какое­то                     письмо. Ничего не понять. Ребята, давайте­ка попробуем его                     расшифровать – расставить все буквы по порядку (1 команда получает буквы, выходит к доске и составляет – С. Я. МАРШАК) Учитель: Спасибо, ребята. Ну, конечно. Сегодня мы отправляемся в гости к                    Самуилу Яковлевичу Маршаку              1 слайд 1. Раз, два, три, четыре.                           Начинается рассказ.           В сто тринадцатой квартире            Великан живёт у нас. 1 шестиклассник: Эти слова написал знаменитый писатель Самуил Яковлевич                                   Маршак. 3 ноября 2012 г. ему исполнится 125 лет. И сегодня мы                                   у него в гостях. (на экране – Маршак в детстве), 2 шестиклассник (показывая на слайд) ­  Я ­  Сёма (так звали меня в семье), родился в городе Воронеже.   2 слайд   В семье у нас было 6 детей. Стихи я начал сочинять с 4 лет. Они                   получались лёгкими и были понятны даже самым маленьким детям. 2 шестиклассник: Когда Маршак был маленьким, родители часто оставляли егоприсматривать за младшими братьями и сестрами. И Маршак так                  хорошо за ними присматривал, что еще двое кроме него самого,                  стали известными писателями. 3 шестиклассник: Когда Маршак стал знаменитым писателем, он сказал: 2 шестиклассник. Читатель мой особенного рода:               3 слайд Умеет он под стол ходить пешком. Но радостно мне знать, что я знаком С читателем двухтысячного года». Учитель: Прошло уже много лет. Но произведения этого великого писателя знают и любят все: и дети, и взрослые. И сейчас мы убедимся в этом. У нас 5 команд. Я начинаю строчку из стихотворения Маршака, а та команда, на которую я покажу – продолжит. ­4­ 1. Мой весёлый звонкий мяч.            Ты куда помчался вскачь?           Жёлтый, красный, голубой.            Не угнаться за тобой. 2. Жил человек Рассеянный на улице Бассейной.            Сел он утром на кровать, Стал рубашку надевать.            В рукава просунул руки. Оказалось – это брюки.            Вот какой рассеянный с улицы Бассейной. 3. Дама сдавала в багаж           Диван, чемодан, саквояж,           Картину, корзину, картонку            И маленькую собачонку. 4. Закричал он: Что за шутки? Еду я вторые сутки, А приехал я назад, А приехал в Ленинград 5. Собирались лодыри на урок, А попали лодыри на каток. Толстый ранец с книжками на спине, А коньки под мышками на ремне. Учитель: Молодцы. Все справились с заданиями  3 шестиклассник: Из стихотворений Маршака можно составить целую школьную программу.  И сейчас мы  приглашаем вас в весёлую школу Маршака (Звенит звонок)               4 слайд 1 шестиклассник: Первый урок ­ чтение: (книга «Азбука»)             5 слайд (дети стоят в колонну, в руках держат букву): 1 Аист с нами прожил лето,            А зимой гостит он где – то.  Бегемот разинул рот:       2            Булки просит бегемот. Воробей просил ворону       3           Вызвать волка к телефону.­5­  Гриб растёт среди дорожки, ­    4            Голова на тонкой ножке.  Мёд в лесу медведь нашёл.      5            Мало мёда – много пчёл. Ослик был сегодня зол:  6           Он узнал, что он осёл.  Ученик учил уроки,        7            У него в чернилах щёки.  Ягод нет кислее клюквы.     8            Я на память знаю буквы. Учитель: мы с вами вспомнили не весь алфавит. Сейчас вы должны восстановить                    ещё по одному стихотворению (на столах у каждого рассыпанное стихотворение про букву. Надо на столе разложить карточки по  порядку и прочитать хором стихотворение) 1. 2. 3. 4. Часовщик, прищурив глаз, чистит часики для нас (7) Носорог бодает рогом. Не шутите с носорогом (7) Спит спокойно старый слон. Стоя спать умеет он (8) Роет землю серый крот – разоряет огород 4 шестиклассник. Второй урок – математика:   6 слайд (ученики выстраиваются в колонну с цифрами)  Вот один иль единица.         9          Очень тонкая, как спица. А вот это – цифра 2,        10         Полюбуйся, какова:         Выгибает двойка шею.         Волочится хвост за нею. А за двойкой – посмотри –         11         Выступает цифра 3.         Тройка – третий из значков,         Состоит из двух крючков. За тремя идёт четыре.           12         Острый локоть оттопыря. А потом пошла плясать          13         По бумаге цифра 5.         Руку вправо протянула,         Ножку круто изогнула.  Эти цифры по порядку      14          Запиши в свою тетрадку.          Я про каждую сейчас          Сочиню тебе рассказ. ­6­ Учитель: Дома вы рисовали к стихотворениям Маршака про цифры картинки.Из ваших карточек мы составили книгу. Эту книжку мы подарим на                    8 марта Денискиной маме, чтобы она могла в детском саду учить                    с малышами цифры. 3 шестиклассник. Третий урок – ОКРУЖАЮЩИЙ МИР     7 слайд  Открываем календарь.  15            Начинается январь. 16 В январе, в январе много снегу на дворе.                       Снег на крышах, на крылечке.            Солнце в небе голубом.           В нашем доме топят печки,           В небо дым идёт столбом 17 Рыхлый снег темнеет в марте.       Тают льдинки на окне. Зайчик бегает по парте И по карте на стене.      18  В октябре, в октябре                               Частый дождик на дворе. 19 20 21 22 23 24                     19      В декабре, в декабре                                         Все деревья в серебре.                               Нашу речку, словно в сказке                               За ночь вымостил мороз.                               Наточил коньки, салазки,                                Ёлку из лесу принёс. 3 шестиклассник. А теперь приглашаем вас в зоопарк.          8 слайд 23.                 Я тигрёнок, а не киска. Эй, не стойте слишком близко:                                       9 слайд 24.  Дали туфельку слону.                                                    10 слайд                 Взял он туфельку одну                 И сказал: нужны пошире                 И не две, а все четыре.  Прочь, гусята, от водицы,   25.            Прочь, гусята, от воды!            Не мочите белых перьев,            Не наделайте беды. ­7­ (после песни появляется Человек Рассеянный)  (песня «2 весёлых гуся» ­ на свирелях) Человек Рассеянный: Это что за остановка?                                          Бологое иль Поповка? 1 шестиклассник: Это – городок Хотьково.                            2А класс из пятой школы. Человек рассеянный: Как всегда я всё напутал.Еду я вторые сутки.                                  И от дяди Маршака                                   Вам привёз подарок я (даёт сундук)                                  До свиданья. Всем – пока! (уходит) Учитель: (заглядывая в сундук): Ребята, да здесь загадки, которые сочинил                     Самуил Яковлевич Маршак. Давайте разгадаем их. (На каждом столе                     лежат картинки. Ведущие читают загадку. Надо поднять картинку –                     отгадку) 1. Бьют его рукой и палкой.                       Никому его не жалко.           А за что беднягу бьют?           Да за то, что он надут (мяч) 2. Его весной и летом                    Мы видели одетым.           А осенью с бедняжки           Сорвали все рубашки.           Но зимние метели           В меха его одели (дерево) 3. Я конём рогатым правлю,                             Если этого коня                Я к забору не приставлю,               Упадёт он без меня (велосипед) 4. 5. 6. 7. 8. В Полотняной стране по реке­простыне          Плывёт пароход то назад, то вперёд. А за ним – такая гладь –  Ни морщинки не видать (Утюг) ­8­ Самый бойкий я рабочий в мастерской,                Колочу я что есть мочи день­деньской. Чуть завижу лежебоку, что валяется без проку, Я прижму его к доске да как стукну по башке! В доску прячется бедняжка – чуть видна его рубашка! (молоток и гвозди) Мы ходим ночью, ходим днём,                    . Но никуда мы не уйдём. Мы бьём исправно каждый час, А вы, друзья, не бейте нас! (часы) Принялась она за дело,                             Завизжала и запела. Ела, ела дуб, дуб, Поломала зуб, зуб (пила) Что такое перед нами –                          оглобли за ушами, На глазах по колесу И седёлка на носу (очки)4 шестиклассник. Ну что ж, мы передохнули. А впереди следующий урок – урок                                   музыки.                   12 слайд Учитель: Давайте споём песенку, которую мы учили на уроке чтения.  С какого                   языка перевёл Маршак эту песню? (с английского) (песня «Кораблик» ­ из учебники чтения) Учитель: Маршак не только хорошо писал стихи. Он был ещё знаменитым                    переводчиком. И сейчас вы услышите многие знакомые всем строки,                    которые Самуил Яковлевич перевёл с других языков и обработал. 13 слайд ­9­ 2 шестиклассник  ­  Считалочка!  Второклассник: Вышли мыши как­то раз                                     Поглядеть, который час.                    Раз, два, три, четыре.  Мыши дёрнули за гири.                                  Вдруг раздался страшный звон –                                  Убежали мышки вон. (инсценировка – участвуют 4 ученика: Ведущий, кошка, 2 котёнка):    Потеряли котятки на дороге перчатки.         И в слезах прибежали домой.       Мама, мама, прости,       Мы не можем найти,       Мы не можем найти перчатки!       Потеряли перчатки? Вот дурные котятки!      Я вам нынче не дам пирога.      Мяу – мяу. Не дам, мяу – мяу, не дам.      Я вам нынче не дам пирога.      Побежали котятки,            Отыскали перчатки. И, смеясь, прибежали домой.       Мама, мама, не злись, Потому что нашлись,       Потому что нашлись перчатки!       Отыскали перчатки?       Вот спасибо, котятки!       Я за это вам дам пирога.       Мур­мур­мур, пирога.         Мур­мур­мур, пирога.       Я за это вам дам пирога! Учитель: А следующую песенку в переводе Маршака мы приглашаем всех спеть                   вместе с нами. Ребята, давайте встанем. Кто хочет, можете подтанцовывать  песня «На далёкой Амазонке»14 слайд 1 шестиклассник. О Маршаке можно говорить ещё очень много. Все знают его                                   сказки:           «Кошкин дом», ­ 15 слайд           «12 месяцев» ­ 16 слайд           «Теремок»  ­ 17 слайд      и другие произведения, которые ставят в театрах. 3 шестиклассник:  И у нас в гостях – герои пьесы Маршака «Петрушка –                  иностранец» ­10­ Сценка «Петрушка ­ иностранец» Учитель: Вот и подошло к концу наше путешествие в гости к Самуилу Яковлевичу                    Маршаку. В 3 классе мы будем отмечать юбилей этого удивительного                    человека, и тогда вы узнаете новые страницы его биографии и творчества.                    А сегодня мне хотелось бы закончить нашу встречу словами, с которыми                    обращается сам писатель ­  «Пожелание друзьям»   Желаю вам цвести, расти,                   Копить, крепить здоровье.         Оно для дальнего пути –          Главнейшее условие.    Пусть каждый день и каждый час               Вам новое добудет.         Пусть добрым будет ум у вас,         А сердце умным будет.    Вам от души желаю я,            Друзья, всего хорошего.         А всё хорошее, друзья,         Даётся нам недёшево!  Литература:1. Маршак С.Я. Собрание сочинений в восьми томах. Том первый. Том второй ­ Москва:  Художественная литература 1968 год. 2. Бутнару Оксана Васильевна ­ учитель  начальных  классов МОУ  СОШ  №  24 г. Гуково  Ростовской области 2009, презентация, взято в Интернете.