Математические модели
Если зависимость между величинами удается представить в математической форме, то мы имеем математическую модель.
Математическая модель - это совокупность количественных характеристик некоторого объекта (процесса) и связей между ними, представленных на языке математики.
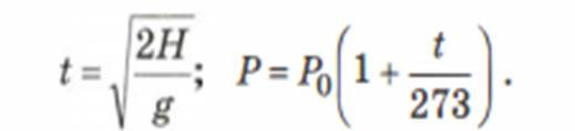
Хорошо известны математические модели для первых двух примеров. Они отражают физические законы и представляются в виде формул:

Это примеры зависимостей, представленных в функциональной форме. Первую зависимость называют корневой (время пропорционально квадратному корню высоты), вторую - линейной.
В более сложных задачах математические модели представляются в виде уравнений или систем уравнений. В конце данной главы будет рассмотрен пример математической модели, которая выражается системой неравенств.
В еще более сложных задачах (пример 3 - одна из них) зависимости тоже можно представить в математической форме, но не функциональной , а иной.
Материалы на данной страницы взяты из открытых источников либо размещены пользователем в соответствии с договором-офертой сайта. Вы можете сообщить о нарушении.