Методические рекомендации проектирования технологической карты практического занятия с профессионально- ориентированным содержанием Тема: Технологическая карта практического занятия «Нахождение производных функций»

  • Руководства для учителя
  • docx
  • 31.05.2025
Публикация на сайте для учителей

Публикация педагогических разработок

Бесплатное участие. Свидетельство автора сразу.
Мгновенные 10 документов в портфолио.

Профессиональная направленность всегда была одним из основных условий преподавания математики в системе профессионального образования. Она дает возможность показать, как изучаемые основы наук находят применение в практике, на производстве и влияют на развитие новых технологий, на эффективность производственной деятельности квалифицированных рабочих кадров.
Иконка файла материала МЕТОДИЧЕСКИЕ РЕКОМЕНДАЦИИ проектирования технологической карты.docx

МИНИСТЕРСТВО ОБРАЗОВАНИЯ и НАУКИ НИЖЕГОРОДСКОЙ ОБЛАСТИ

Государственное автономное профессиональное образовательное учреждение «Выксунский металлургический колледж

им. А.А.Козерадского»

 

 

 

 

 

 

 

 

 

 

 

 

 

МЕТОДИЧЕСКИЕ РЕКОМЕНДАЦИИ

проектирования технологической карты практического занятия с профессионально-ориентированным содержанием

по общеобразовательной дисциплине "Математика"

 

 

 

 

 

 

 

 

 

 

 

 

 

 

 

 

 

Автор:_Мудренко Галина Александровна,

преподаватель математики и общепрофессиональных дисциплин

 

 

Выкса, 2025г.

СОДЕРЖАНИЕ

 

 

1.

Пояснительная записка

стр.3

2.

Рекомендации по разработке технологической карты

стр.4

3.

Технологическая карта практического занятия «Нахождение производных функций»

стр.7

4.

Заключение

стр.16

 

 

 

 

 

 

 

 

 

 

 

 

 

 

 

 

 

 

 

 

 

 

 

 

 

 

 

 

 

 

ПОЯСНИТЕЛЬНАЯ ЗАПИСКА

 

Профессиональная  направленность всегда была одним из основных условий преподавания математики в системе профессионального образования.

Она дает возможность показать, как изучаемые основы наук находят применение в практике, на производстве и влияют на развитие новых технологий, на эффективность производственной деятельности квалифицированных рабочих кадров.

Принцип профессиональной направленности преподавания заключается в своеобразном использовании педагогических средств и инновационных технологий, при котором обеспечивается усвоение учащимися предусмотренных программами знаний, умений и навыков и одновременно формируется интерес к выбранной профессии, ценностное отношение к ней и профессиональные качества личности будущего рабочего.

Связь  с избранной профессией является одним из положительных мотивов, стимулирующих интерес к изучению основных вопросов курса математики.

 Для реализации принципа профессиональной направленности  использую специально разработанные дидактические материалы и задачи с профессиональной направленностью по избранной профессии.

Конструирование образовательного процесса, другими словами – планирование изучения математики  выполняю в форме технологической карты.

Технологическая карта – это способ графического проектирования занятия, таблица, позволяющая структурировать занятие по выбранным преподавателем параметрам. Такими параметрами могут быть этапы занятия, его цели, содержание учебного материала, методы и приемы организации учебной деятельности обучающихся, деятельность преподавателя и деятельность обучающихся.

Технологическая  карта – это проект педагогического процесса в границах одной темы. Она для меня заменяет тематическое планирование, иначе говоря, является тематическим планом, представленным в виде технологической карты.

Обучение с использованием технологической карты позволяет организовать эффективный учебный процесс, обеспечить профессиональную направленность, реализацию предметных, метапредметных и личностных умений  в соответствии с требованиями ФГОС, существенно сократить время на подготовку к занятию.

 

 

 

 

 

 

 

Рекомендации по разработке дидактических материалов

содержание, основная часть

 

Методические рекомендации по разработке технологических карт занятий с профессиональной направленностью по математике включают несколько ключевых этапов. Они помогут вам структурировать занятия таким образом, чтобы обеспечить связь теоретического материала с практическими аспектами будущей профессии обучающихся.

 

Шаг 1: Определение целей и задач

Цели:

1.     Формирование базовых знаний математики, необходимых для успешного освоения профессиональных дисциплин.

2.     Развитие практических навыков решения прикладных задач, связанных с профессией.

3.     Подготовка студентов к выполнению конкретных производственных заданий в рамках выбранной специальности.

 

Задачи:

1.     Выявление и систематизация основных математических понятий и методов, используемых в профессиональной деятельности.

2.     Организация учебного процесса с учетом специфики конкретной отрасли.

3.     Создание условий для самостоятельной работы студентов над решением профессиональных задач.

 

Шаг 2: Структура технологической карты

Технологическая карта должна включать следующие элементы:

1. Общая информация

-       Название дисциплины.

-       Количество часов на изучение темы.

-       Уровень подготовки обучающихся (начальная, средняя, высшая).

-       Форма проведения занятий (лекции, практические занятия, лабораторные работы).

2. Планируемые результаты обучения

-       Перечень компетенций, которые будут сформированы у студентов после прохождения курса.

-       Описание ожидаемых результатов в виде конкретных знаний, умений и навыков.

3. Содержание учебного материала

-       Тема занятия.

-       Основные понятия и формулы, рассматриваемые на занятии.

-       Примеры задач, имеющих профессиональное значение.

-       Методы и технологии, применяемые для решения задач.

4. Методы обучения

-       Лекционные методы (рассказ, беседа, демонстрация примеров).

-       Практические методы (решение задач, выполнение лабораторных работ).

-       Самостоятельная работа студентов (домашние задания, проекты).

5. Формы контроля и оценки

-       Виды контроля (текущий, промежуточный, итоговый).

-       Критерии оценивания успеваемости студентов.

-       Формы проверки знаний (тесты, контрольные работы, защита проектов).

6. Ресурсное обеспечение

-       Учебники и учебные пособия.

-       Дополнительная литература.

-       Компьютерные программы и онлайн-ресурсы.

-       Лабораторное оборудование и материалы.

 

Шаг 3: Конкретизация содержания

Для каждого занятия важно предусмотреть взаимосвязь между теорией и практикой. Например, если рассматривается тема «Производная функции», можно включить следующие аспекты:

Теоретический материал: определение производной, правила дифференцирования, геометрический смысл производной.

Профессиональная направленность: применение производной для оптимизации процессов производства, расчета скоростей изменения различных величин в технических системах.

Примеры задач: расчет максимальной производительности оборудования, оптимизация затрат ресурсов, анализ динамики изменения показателей качества продукции.

 

Шаг 4: Интеграция междисциплинарных связей

Необходимо учитывать связи математики с другими дисциплинами профессионального цикла. Это позволит студентам лучше понимать, как математические знания применяются в реальной практике. Например, можно организовать совместные занятия с преподавателями инженерных дисциплин, где студенты будут решать задачи, связанные с проектированием, моделированием и управлением техническими системами.

 

Шаг 5: Оценка эффективности

Регулярно проводите оценку эффективности разработанных занятий. Анализируйте обратную связь от студентов и корректируйте содержание и методы обучения в зависимости от полученных результатов. Используйте различные формы мониторинга: опросы, анкетирование, анализ выполненных заданий.

 

 

 

 

 

 

 

 

 

 

 

 

 

 

 

 

 

 

 

 

 

 

 

 

 

 

 

Технологическая карта практического занятия

«Нахождение   производных функций»

 

Дисциплина: Математика

Тема: «Нахождение производных функций»

Цель:

-       Повторить, обобщить и систематизировать знания о производной.

-       Закрепить навыки нахождения производных.

-       Развивать логическое мышление, память, внимание и самостоятельность

 

Тип занятия: занятие закрепления изученного материала  на практике

 

Образовательные педагогические технологии: технология  уровневой дифференциации, технология проблемного обучения, технология развивающего обучения.

 

Методы обучения: системно-деятельностный подход, разноуровневое обучение, проблемное обучение, частично-поисковый метод

 

Формы организации познавательной деятельности обучающихся: занятие-практикум

 

Наглядные средства обучения: Методические указания по выполнению ПЗ, презентация

 

Средства обучения: дидактические материалы, доска, компьютер, мультимедийный проектор, экран, презентация, карточки.

 

 

 

 

 

 

 

 

 

 

 


Этапы занятия

Деятельность преподавателя

Деятельность обучающихся

Планируемые образовательные результаты

Типы оценочных мероприятий

1. Организационный этап занятия

Создает комфортную рабочую атмосферу в группе. Проверяет готовность к занятию математики.

*Приветствие студентов, проверка     присутствующих в аудитории. Настраивание студентов на свободное общение с педагогом.

* Проверка внешнего состояния кабинета;

Приветствуют преподавателя, настраиваются на занятие, проверяют наличие необходимых принадлежностей для работы на занятии.

Демонстрируют готовность к учебной деятельности

ОК 01, ОК 02, ОК 04, ОК 05,

 

2. Мотивация учебной деятельности.

*Запишем в тетради число и тему практического занятия:

«Нахождение производных функций»

Преподаватель подчеркивает актуальность изучаемой темы, её социальную значимость для будущей практической деятельности, связь с другими предметами.

Производная - это не что иное, как ставка. Скорость, с которой что-то меняется относительно независимой переменной.

Много таких вещей, как ускорение велосипеда, скорость.

Скорость, с которой рассеивается энергия (мощность), когда вы ходите в спортзал, можно определить скорость потери тепла от вашего тела зимой!!!!!

И вы можете найти множество применений в медицине, астрономии и т. д....

На занятиях по математике у обучающихся формируется умение решать задачи, которое в дальнейшем должно быть использовано для решения профессиональных задач технологического профиля.

*Записывают дату и тему занятия.

*Слушают установки преподавателя.

* Ребят заинтересовала следующая проблема: А где находит приложение производная? Каково применение производной в реальной жизни?

ОК 01, ОК 02, ОК 04, ОК 05,

 

 

 

 3. Этап формулирование темы и цели занятия.

Проверка домашнего задания (Разбор нерешенных примеров).

Вопросы для закрепления теоретического материала к практическому занятию:

 

Преподаватель задает вопросы по соответствующей теме.

– Что мы с Вами изучали на предыдущих занятиях?

 Студенты отвечают на вопросы.

 Исправляет ошибки, дополняет ответы.

– Почему мы выполняем вычисление производных в математике?

- А так ли это важно в жизни?

- Как производные могут быть  использованы для решения  реальных проблем?

- Итак, как бы я использовал производные в своей “реальной жизни”? Вы играете в бейсбол? Когда-нибудь бросали мяч? Ваш мозг должен был неявно вычислить путь, по которому будет следовать мяч, как только вы его отпустите, следовательно, вычислите производную в тот момент, когда вы отпустите мяч. Хорошо,  вы не использовали исчисление столько, сколько подразумевали. Но это все равно приложение. По мере того, как вы практикуете свои броски, ваш мозг лучше оценивает производную и все силы, приложенные к этому мячу.

- Наша проблема – производная функции, и ее роль в специальности «Технология машиностроения». Зачем нужна производная в вашей профессиональной деятельности? Выполняя практическое занятие, мы убедимся, что производная  помогает нам успешно решать не только математические задачи, но и задачи практического характера в разных областях науки и техники.

-Какова тема нашего сегодняшнего занятия?

А цель занятия?

*Цель нашего занятия:           

-Повторить, обобщить и систематизировать знания о производной

-Закрепить навыки нахождения производных

 -Развивать логическое мышление, память, внимание и самостоятельность

*Знакомит с планом проведения учебного занятия.

-Отвечают на вопросы преподавателя, вспоминая  ранее изученный материал. Проводят самоанализ, вспоминают правила, формулы, алгоритмы, определения
1.Определение производной
2.Механический и геометрический смысл производной
3.Правила дифференцирования функций

-Участвуют в решении тренировочных упражнений по закреплению темы «Нахождение производных функции»

 

 Тема нашего практического занятия «Нахождение производных функции»

*Слушают установки преподавателя.

*Включаются в процесс формулировки целей и задач занятия.

*Формулировка последовательности действий по достижению целей:

- повторение теоретического материала, связанного с понятием производной;

- решение типовых заданий;

- выполнение самостоятельной работы;

- проведение самоанализа.

 

 

Устный опрос

 

Этап 4. Практический этап

Решение тренировочных упражнений на закрепление основных понятий, формул дифференцирования функций

Методические указания к проведению практического занятия – предлагается познакомиться с этапами ПЗ

Разобрать решение задач по профилю специальности, дисциплина Техническая механика.

-Индивидуальная  работа студентов:

Выполнить тестовое задание (прил.1)

Решить задания по вариантам (см. прилож.2)

Участвуют в решении тренировочных упражнений по закреплению темы.

Решают задачи по технической механике

Задача 1

Техническая механикаТочка движется по окружности радиусом Техническая механика согласно уравнению.

Определить скорость и ускорение точки в конце 3 секунды

Техническая механика

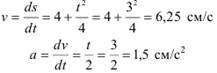
Задача 2

Дано уравнение движения точки: s=0.36t2 +0.18t

Определить скорость точки в конце третьей секунды движения и среднюю скорость за первые 3 секунды.

Техническая механикаРешение:

Уравнение скорости

 

Примеры решения задач технической механике

Скорость в конце третьей секунды Примеры решения задач технической механикеПримеры решения задач технической механике

·         Средняя скорость

Примеры решения задач технической механике

Задача 3

Ротор электродвигателя вращается со скоростью, описываемой уравнением Примеры решения задач технической механике. Определить вид движения.

Решение:

1.      Анализируем выражение для скорости: скорость меняется и зависит от времени линейно. Следовательно, угловое ускорение — постоянно, Примеры решения задач технической механике.

2.      Движение равнопеременное (равноускоренное, т. к. ускорение положительно).

 

Задача 4

По заданному графику угловой скорости определить вид вращательного движения.

 

Примеры решения задач технической механике

Решение:

1.      Участок 1 — неравномерное ускоренное движение, Примеры решения задач технической механикеПримеры решения задач технической механике.

2.      Участок 2 — скорость постоянна — движение равномерное, Примеры решения задач технической механике.

3.      Участок 3 — скорость убывает, равномерно — равнозамедленное движение, Примеры решения задач технической механике.

 

- Записывают решение задач в тетрадь

 

Задача 5 Вращающееся маховое колесо, задерживаемое тормозом, за t секунд поворачивается на угол . Определить момент остановки колеса.

Решение. =b-2ct
b-2ct=0
2ct=b  

 

Задача 6 Зависимость модуля упругости материала от температуры задано формулой :

где  модуль упругости при температуре t,

E- модуль упругости при комнатной температуре,

.

Определить  быстроту изменения модуля упругости материала при нагревании.

Что необходимо найти в данной задаче?

Производную функции

Всё ли нам известно для нахождения данной величины?

Нет. Мы не знаем E- модуль упругости при комнатной температуре

А как его можно узнать?

Найти его в справочной литературе.

Этим вы будете заниматься при изучении спецдисциплин. А мы сейчас решим задачу с учетом того, что Е=const

Решение:

ОК 01, ОК 02, ОК 04, ОК 05,

Индивидуальные, решение задач

 5. Подведение итогов занятия

  - акцентируется внимание студентов на важности изучаемой темы

 

- даётся краткий анализ подготовленности  группы к занятию, отмечаются лучшие  и слабые ответы

- выставляются оценки  с комментариями

 

 

 6. Рефлексия и выбор домашнего задания.

Задает обучающимся вопросы.

Предлагает ответить на вопросы:

 

Создаёт условия для заключительной рефлексии:

 

Комментировано выставляет оценки за работу в аудитории.

Задаёт вопросы  о достижении целей занятия, о трудностях, возникших на занятии у студентов

 

Домашнее задание.

*Проводит инструктаж по выполнению домашнего задания:

*Проверка соответствующих записей.

– Всем спасибо за занятие! До встречи, ребята.           

1. Применяется ли производная в решении задач прикладного характера?

2. Для решения каких задач вашей профессии применима производная?

3. Что было не понятно вам?

4. Что вас удивило?

 

-Сегодня на занятии я научилась(ся)…

-Сегодня на занятии я узнал(а)…

-Что ещё я хотел(а) бы узнать о применении производной…

-Неожиданностью для меня явилось то, что….

-Сегодня на занятии я понял(а), что...

-Особенно интересным было…

 

Задача1

Точка движется по кривой радиуса  Примеры решения задач технической механике согласно уравнению  Примеры решения задач технической механике 

Определить полное ускорение точки в конце второй секунды движения и указать направление касательной и нормальной составляющих ускорения в точке М .

Задача 2

Свободная материальная точка, масса которой 5 кг, движется согласно уравнению Примеры решения задач технической механике  . Определить величину движущей силы.

Действующая сила согласно основному закону динамики Примеры решения задач технической механике .

Отвечают на вопросы. Определяют, достигнута ли цель занятия.

 

 

*Студенты задают вопросы по заданию.

 

*Записывают рекомендации по выполнению домашнего задания.

Наводят порядок на столах, уходят, прощаясь с преподавателем

 

 

 

 

 

 


Заключение

 

Разработка технологической карты занятий с профессиональной направленностью требует тщательной проработки всех элементов образовательного процесса. Важно помнить, что главная цель — подготовить студентов к успешной профессиональной деятельности, обеспечивая прочные знания и навыки, необходимые для выполнения реальных производственных задач.


 

Скачано с www.znanio.ru

Скачивание материала доступно только для авторизованных пользователей.