Многочлены_Тождественные преобразования выражений_Приложение № 4

  • docx
  • 30.04.2020
Публикация на сайте для учителей

Публикация педагогических разработок

Бесплатное участие. Свидетельство автора сразу.
Мгновенные 10 документов в портфолио.

Иконка файла материала Многочлены_Тождественные преобразования выражений_Приложение № 4.docx

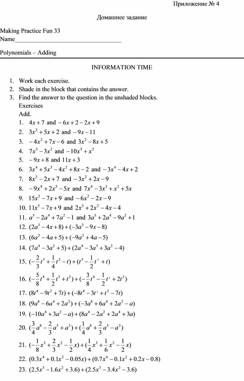
                                                                                               Приложение № 4

Домашнее задание

Making Practice Fun 33                                                           Name__________________________________

Polynomials – Adding

INFORMATION TIME

1.      Work each exercise.

2.      Shade in the block that contains the answer.

3.      Find the answer to the question in the unshaded blocks.

Exercises

Add.

1.       and  

2.       and

3.       and

4.       and

5.       and

6.       and

7.       and

8.       and

9.       and

10.   and

11.   and

12. 

13. 

14. 

15. 

16. 

17. 

18. 

19. 

20. 

21. 

22. 

23. 

24. 

25. 

 

Who was the winner of the first “Indianapolis 500” and what year did he win it?

Who was the winner of the first “Indianapolis 500” and what year did he win it?

 

D

1939

H

S

1912

E

V

A

1942

S

P

I

R

O

Y

A

C

R

A

Y

L

T

O

L

1911

M

O

U

1910

R

A

R

N

N

K