Оператор выбора вариантов

  • docx
  • 11.11.2021
Публикация на сайте для учителей

Публикация педагогических разработок

Бесплатное участие. Свидетельство автора сразу.
Мгновенные 10 документов в портфолио.

Иконка файла материала Л2-00652.docx

 Оператор выбора вариантов

Базовый уровень

Задание: написать блок-схему и программу расчета функции для всех вариантов переменных.

 

вар.

Задача

Параметры

 

1

Определить, лежит ли точка А в области, ограни- ченной параболой у=2 - х2 и осью абсцисс. Ответ

вывести в виде сообщения.

1 x=3.5;     y=7.2

2 x=-0.5;    y=1.2

3 x=0.72;    y=-3.12

 

2

Даны три числа. Вывести на экран среднее по начению из них.

1 a=3; b=3.5; c=-2.1

2 a=2,1; b=-6.55; c=0.1

3 a=-9; b=-3.7; c=-0.1

 

3

Даны координаты точки x и y и радиус окружно- сти   R.   Центром  окружности  является   начало

координат. Определить лежит ли данная точка

1. x=2; y=1.5

2.   x=-0.5; y=2.3

3.   x=1.5; y=-0.8

 

внутри окружности.

 


вар.

Задача

Параметры

 

4

Даны значения трех сторон треугольника a, b и c.

Определить, является ли он прямоугольным.

1 a=3; b=3.5; c=-2.1

2 a=21; b=-6.55; c=0.1

3 a=-9; b=-3.7; c=-0.1

 

5

Ввести с клавиатуры номер месяца. Определить сезон в зависимости от номера месяца и вывести сообщение (весна (3,4,5), лето (6,7,8), осень

(9,10,11) зима (12,1,2)) .

1.      Весна

2.      Лето

3.      Осень

4.      Зима

 

6

Даны три числа A,B,C. Увеличить числа в два

раза, если A+B+C>0, в противном случае заменить на нули.

1 A=-3; B=3.5; C=0.1

2 A=58;  B=27;  C=-87

3 A=-8; B=-35; C=42

 

7

Даны координаты точек А(х0, у0) и В(х1, у1). Определить какая из точек А или В наименее удалена от начала координат (О(0,0)).

1 x0=2; y0=2; x1=-4; y1=0;

2 x0=8; y0=9; x1=12; y1=1;

3 x0=-3.5; y0=0.9; x1=2; y1=3;

 

8

Даны значения трех сторон треугольника a, b и c

и определить, является ли он равнобедренным. Ответ вывести в виде сообщения..

1 a=3;  b=3.5; c=1,1

2 a=3;  b=6.55;  c=6.55

3 a=0.9; b=0.9; c=0.9

 

 

9

Дана стоимость минуты разговора у трех операто- ров мобильной связи, а также процентная скидка на звонки в выходные дни. Ввести с клавиатуры количество времени разговоров в будние и в выходные дни, определить стоимость разговоров

у разных операторов.

 

 

1.

2.

3.

 

 

50 коп, 10%

2. 45 коп, 8%

3. 55 коп, 12%

 

 

 

10

Почтовый автомат предлагает поздравительные открытки на три темы в трех вариантах . Ввести с клавиатуры номер темы (от 1 до 3) и номер варианта (a, b, c), выдать нужную открытку (сообщение, например: «Новогодние, вариант с»). Предусмотреть обработку неправильного номера

или варианта.

 

 

1.      Новогодние.

2.      С Днем Рождения.

3.      С Днем Защитника Отечеcтва.

 

 

11

Даны два числа a и b. Разработать и описать алгоритм, в результате которого числа меняют свой знак на противоположный, если они имеют разный знак и будут заменены на нули, если это

не так.

 

1 a=-3; b=3.5;

2 a=5.8;  b=2.7;

3 a=-8; b=-3.5;

 

12

Даны три числа. Вывести наименьшее из них.

1.   а=45, в=13, с=-23

2. а=-31, в=65, с=12

3. а=52,в=-1, с=-33

 

13

Даны три числа x, y, z. Разработать и описать алгоритм, в результате которого вывести на экран числа по модулю большие среднего арифметиче-

ского.

1.

2.

3.

x=3.2; y=-7; z=0.5 x=2.3; y=3; z=2.5 x=23; y=-34; z=89.5

14

Даны

лежит

координаты   точки

ли      данная

B(x,y).

точка

Определить,

на      кривой

1.

2.

x=2.2; y=-6 x=0.3; y=3


вар.

Задача

Параметры

 

ïìsin2 x3                                       если  x  > 1

f (x) = í

ïî   6arcsin x7 + 4,5x6 + 4x2 + 2     если  x  £ 1      .

грешность составляет eps=10-3 (те |f(x)-y|<eps).

 

 

По-

3. x=-0.8; y=-4

 

15

Даны координаты точки А (x, y). Определить, лежит ли данная точка в четвертой четверти.

1.

2.

3.

x=-2.2; y=-6 x=5.3; y=3

x=-0.8; y=-4

 

16

Даны значения трех сторон треугольника a, b, и c. Наименьшая из сторон треугольника является стороной квадрата. Определить, площадь какой из

фигур больше.

1. a=3; b=5; c=4

2. a=3; b=8; c=11

3. a=9; b=9; c=9

 

17

Даны    координаты   точек    A1(x1, y1),    A2(x2, y2),

A3(x3, y3).   Определить,  лежат   ли   эти   точки   в первой четверти.

1.

2.

3.

a=9; b=2 a=7;b=-3 a=0,1;b=4

 

 

18

Даны   координаты   точки   B(x,y).   Определить, лежит ли данная точка на кривой

y={x2 ; если |x|<=2 4; если   |x|>2

Погрешность составляет eps=10-3 (те |f(x)-y|<eps).

1.

2.

3.

x=5; y=-4 x=1; y=6 x=1; y=-1

 

 

19

Даны географические координаты точки А(φ,λ) φ

широта, λ долгота. Определить, в каком полушарии находится точка (северное или южное, западное или восточное). Вывести сообщение.

1.

2.

3.

φ=30, λ=121 φ=-15, λ=50 φ=87, λ=223

 

20

Даны значения трех сторон треугольника a, b и c. Определить вид треугольника (прямоугольный, равносторонний или простой). Ответ вывести в

виде сообщения.

1.

2.

3.

a=3; b=3.5; c=1.5 a=3; b=6.55; c=6.55 a=0.9; b=0.9; c=0.9

 

 

21

Даны два числа A и B. Разработать и описать алгоритм, в результате которого числа меняют свой знак на противоположный, если они имеют

разный знак и будут заменены на нули, если это не так.

 

1.

2.

3.

 

a=-13; b=-3,5 a=5,8; b=37 a=8; b=-15

 

22

Даны три числа. Вывести наименьшее из них.

1. а=15, b=13, с=-33

2.   а=-38, b=25, с=12

3.   а=22, b=-1, с=-33

 

23

Даны три числа а, в, с в десятичной системе . Определить, какие из них больше заданного

двоичного числа 1101011 .

1. а=10, в=34, с=65

2. а=76, в=18, с=55

3. а=81,в=75, с=20

 

24

Даны три числа а, в, с в восьмиричной системе. Определить наибольшее из них .

1.

2.

3.

а=10, в=34, с=65

а=76, в=5, с=55 а=11,в=75, с=20

 

25

Даны три числа а, в, с в шестнадцатеричной cистеме. Определить наименьшее из них.

1.

2.

3.

а=A, в=22, с=41 а=4C, в=5, с=37

а=B, в=4B, с=14


вар.

Задача

Параметры

 

26

Даны двa числа a, b. Определить сумму их цифр и вывести сообщение.

1.

2.

3.

4.

a=56, b=38 a=47, b=91 a=29, b=76

a=19, b=53

 

27

Даны двa числа a, b. Определить произведение их цифр и вывести сообщение.

1.

2.

3.

4.

a=46, b=78 a=41, b=81 a=39, b=76

a=29, b=53

 

28

Даны три сопротивления R1, R2, R3. Определить сопротивление цепи при последовательном и

параллельном подключении этих сопротивлений.

1.

2.

3.

R1=5, R2=10, R3=2 R1=3, R2=5, R3=7 R1=4, R2=6, R3=8

 

 

29

Написать программу выбора реостата для под- ключения нагревательной спирали сопротивлени- ем 20 Ом и рассчитанной на напряжение 30 В к источнику с напряжением 45 В. Сообщение

вывести.

1. 6 Ом, 2 А 2. 30 Ом, 4 А

3. 800 Ом, 06 А

 

30

Написать программу, определяющую, какое из двух значений сопротивлений R1,R2, R3 можно

получить с помощью двух резисторов по 6 кОм.

1.

2.

3.

R1=6, R2=10, R3=2 R1=3, R2=5, R3=7 R1=4, R2=12, R3=8

Средний уровень

Задание: написать блок схему и программу вычисления функции y(x) для всех различных вариантов входных параметров. Ввести с клавиатуры x, вывести значение функции для всех вариантов.

 

вар.

Функция

Варианты

параметров

 

 

1

ì (2 u  + 1)2

ï 7π +  ,          если           u + x > -0 .5

ï

y = ïcos 2 u - sin u , если   - 0.5 £ u + x £ 10 -3

í                           3

ï

ï lg( u + x ) - e x                                                  -3

ï        3 .5 x                если             u + x > 10

î

 

1.        u = sin x

2.        u = cos x

3.        u = tgx

 

2

ìabx - cos2 (zx),        если    x < 3.5a

y = ï(a - x)2  - ln(z + x), если 3.5a £ x £ b

í

ï bx - a + zx 2 ,      если       x > b

î

1. a = 0.4; b = 2.3; z = e2x

2. a = 0.2; b = 0.8; z = ex

3. a = 0.7; b = 8.1; z = 0.8

 

3

ìsin(bm + cos(nx)),      если     bm > x 2

ï

y = ï os(bm - sin x),         если     bm < x 2

íc

ï

ïî   e cos x  +    bmx ,     если      bm  = x 2

1. b = -1.6; m = 0.9;    n = -1.4

2. b = 4.5;    m = -2;      n = 2.2

3. b = -4.5; m = 0.5;    n = -1.5


вар.

Функция

Варианты

параметров

 

4

ìa sin 2 x + b cos(zx ),    если x < - ln(a)

ï

y = íab - cos 3 (a + zx ), если - ln(a ) £ x £ b

ïî   2.5a 3 + (b - zx 2 )6 ,  если      x > b

1. a = 0.2;    b = 0.5;   z = eax 2. a = 0.15; b = 0.2; z = e 2ax 3. a = 0.9; b = 5; z = e 2.5ax

 

5

ìsin(ea+b )+ x 2 ,          если    ea+b > ex

ï

y = íarctg(abc)+ 3 x ,      если ea+b = e x

ï os( x + abc ),         если   ea+b < ex

îc

1. a = 4.2;    b = 5.3; c = 1.5

2. a = -0.35; b = 1.8; c = -1.8

3. a = 2.8;    b = -0.6; c = 2.0

 

6

ì2.8sin 2 ax - bx3 z,        если x < a

y = ïz cos(ax + b)2  + ln(z),  если a £ x £ b2

í

ïïîe2,5ax + zabx,              если   x > b 2

1. a = -5;    b = 2.5; z = ln bx3

2. a = 3;      b = 5;     z = ln bx 3. a = -10; b = 3,     z = ln bx2

 

 

7

ìxea + e bc ,          если 1 - x 2 = a + c

ï

y = ï     2                                                                             2

ísin ax + cos bc, если 1 - x    > a + c

ï                       

ï ab 4 + 5 cx 2 ,        если 1 - x 2 < a + c

î

1. a = 3.2; b = -0.7; c = 2.2

2. a = 10.5; b = -2.5; c = 5.6

3. a = 5.4;  b = 3;         c = 2.6

 

8

ìln mx + n ,       если x 2 > m + n

ï

y = íecos mx-n ,          если x 2 = m + n

ï3 k 2 + cos2 x, если x 2 < m + n

î

1. k = 3.1;        m = 5.15; n = -1.15

2. k = 0.78; m = -2.4, n = 4.36

3. k =1.1;     m = 0.8; n = 0.41

 

9

ìa sin 2 x + b cos(zx + a), если     x < a3

ï

y = í(a + bx )2  - sin (a + zx ) если   a 3 £ x £ b

ïîï   x - (sin (bx + z )),         если       x > b

1. a = 1.2; b = 7.2;     z = e x

2. a = -1.5; b = 3.2; z = e2x

3. a = 1.7;     b = 5.5; z = e3

 

10

ì b 2 +      x + c ,       если     lg a < x

ï

y = ïcos (x - b - c ),          если      lg a = x

í

ïsin( x + a - b ),          если      lg a > x

î

1. a = 0.1;    b = 9.8;     c = 11.12

2. a = 10;    b = 10.05; c = 6.2

3. a = 100; b = 3.03; c = 7.12

 

11

ìeax - 3.5 cos2 (z + bx), x £ a

ï

y = ía + ln a + bx - 2x, a < x £ b3.5

ïa + cos3.5 (a + bxz ), x > b3.5

î

1.a = -1;b = 3.4;z = tgbx 2.a = -3.2;b = 5.5;z = tgbx2 3.a = -5.2;b = 7.2;z = tgbx3

 

12

ìln(lg kx + mn )если 3x > m + n

ï

y = ísin(kmx) +   nx , если 3x = m + n

ï cos x             m+ n

ïîe       + e      ,         если  3x <  m + n

1. k = 4; m = -14.7; n = -0.6

2. k = 3; m = 6.5;      n = 3.15

3. k = 5;    m = -12; n = 0.45


вар.

Функция

Варианты

параметров

 

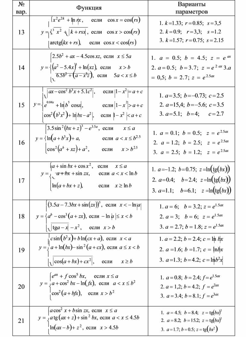
13

ìx 2e2k + ln rx ,      если    cos x = cos(rs)

ï                         

y = í3 x 2 +   k + rsx , если   cos x > cos(rs)

ï

îïarctg(kx + rs),      если  cos x < cos(rs )

1. k =1.33; r = 0.85; s = 3,5

2. k = 0.9;    r = 3,3;      s =1.2

3. k =1.57; r = 0.75; s = 2.15

 

 

14

ì2.5b2 + ax - 4.5cos xz, если x £ 5a

ï

y = í(a2 - 5.4x)3  + ln(xz ),  если       x > b

ï 6.5b2 + (a - x3z ), если     5a < x £ b

î

1.  a = 0.5; b = 4.5;  z = e ax 2. a = 0.5;  b = 3.7;  z = e 2 ax 3.a = 0,5; b = 2.7; z = e 2.5ax

 

15

ì ax - cos2 b3 x + 5.1c2 ,      если 1- x2 = a + c

ï

y = ï 0.04x                   5                                                                                2

íe       + ln b cosx ,              если 1- x > a + c

ï

ïcos2 (b3 x2 )+ ln bx - a2 ,     если 1- x2 < a + c

î

1. a = 3.5; b = -0.73; c = 2.5

2. a =15,4; b = -5.6; c = 3.5

3. a = 5.1;     b = 4;      c = 2.7

 

 

16

ì3.5sin 2 (bx + z)3  - e3.5a ,  если       x £ a

ï

y = íln(a + b3 x)+ a,                если a < x £ b2.5

ïïîcos2 (ab + xz)+ a 2 ,         если      x > b2.5

1. a = 0.1; b = 0.5;   z = e 2.5ax

2. a = 1.2; b = 2.5; z = e 2.5ax

3. a = 2.5; b = 1.2; z = e 2.5ax

 

 

17

ìa + sin bx + cos x 2 , если      x £ a

y = ï a + bx + sin zx,      если a < x < ln b

í

ïîln(a + bx + z),           если    x ³ ln b

1. a =-1.2; b = 0.75; z =ln(tg(bx))

2. a = 0.4;       b = 2.4; z =ln(tg(bx))

3. a =1.1;       b = 6.1;      z =ln(tg(bx))

 

18

ì(3.5a - 7.3bx + sin(zx))3 ,  если  x < - ln a

ï

y = íab - cos3 (a + zx), если - ln a £ x < b

ï

îï   tga - x  - x 2 ,     если   x > b

1. a = 6;   b = 3.2; z = e1.5ax

2. a = 3;   b = 6; z = e1.5ax

3. a = 2.7; b = 1.8; z = e1.5ax

 

19

ìc sin (b2 x)+ b ln(cx + a), если x < a

ï

y = ïa + ln(bx)- sin 2 (a + cx), если a £ x < b

í

ï

îï   cos(a + bx)+ cx 2 ,     если       x ³ b

1. a = 2.2; b = 2.4; c = ln bx 2. a =1.6; b =1.7; c = lnbx 3. a =1.3; b = 4.2; c = lnb2x

 

 

20

ìeax + f cos5 bx,      если x £ a

y = ïa + cos2 bx - ln( fx), если a < x £ b2

í

ïcos2 (a + bfx),     если x > b 2

î

 

1. a = 0.8; b = 2.4; f = e1.5ax 2. a = 1,2; b = 4.2; f = e2ax 3. a = 3.4; b = 8.1; f = e3ax

 

21

ìa cos2 x + b sin zx, если x £ a

y = ïa tg (ax + z) + sin 2 bx, если a < x £ 4.5b

í

ïln(ax - b)+ z 2 , если x > 4.5b

î

1.  a = 4.5;  b = 8.4;   z = tg(bx)2 2.  a = 8.2;  b = 15.2;  z = tg(bx)2 3. a = 1.7; b = 0.5; z = tg(bx2 )


вар.

Функция

Варианты

параметров

 

22

ìa + bx + sin 2 zx 3.5 ,      если x < a

ï

y = ía + ln ab - zx3 + ln x, если a £ x £ b2

ï                    

ïî   a + ctg(zx) + b sin x, если   x > b2

1. a = 0.3; b = 0.9; z = sin x2 2. a = 4.3; b = 3.15; z = sin x3 3. a = 6.5; b = 3.5; z = sin2 x

 

23

ìln bzx + za 2.5 ,         если a3 < x £ b

ï

y = íax 2 + bza + sin 2 zx, если x > b

ïîcos(ax + b)+ ln zx , если  x £ a 3

1. a =1.5; b = 6.4; z = lnbx3 +1.5

2. a =1.9; b = 8.6; z = lnbx3 + 3 3. a = 0.6; b = 2.4; z = lnbx3 +1.8

 

24

ìxex + (z + 7.7abx),         если    x < a

y = ïtg(ax + z) + cos2 bx,      если a £ x £ b2

í

ïln(sin 2 (a + bx + zx 2 )),    если x > b 2

î

1. a = 8.7; b = 3.7; z = tg(bx) 2. a = 9.3; b = 3.5; z = tg(abx) 3. a = 2.1; b = 5.7; z = tg(b2 x)

 

 

25

ì

ïa + z cos2 (bx)3 ,                  если       x < a

y = ïa + sin 2 b 2 + ln(zx),              если a £ x £ b

í

ï

ï3 0.3b +    (a - z 2 - cos x) , если       x > b

î

1. a =1.5; b = 5.7; z =lntg(bx)

2. a =3.7; b =8.4; z =lntg(bx)

3. a = 4.4; b =5.6; z =lntg(bx)

 

 

26

ì (2 z  + 1)2

ï 3 .71 - x  ,            если           z > -0 .5

ï

y = ïsin 3 z - sin     z , если - 0.5 £ z £ 10 -3

í                          3π

ï

ï tg ( z + x ) - e x                                         - 3

ï           3 .5 x                если             z > 10

î

 

1.         z = arcsin x3

2.         z = arccos2 x

3.         z = tgx

 

27

ìa 2 x 3 +    b4 +1.7,    если x < 0.2

ï

y = íarctg(2 x - p ),       если    x = 0.2

ï

îï ln a + 4.3 + x,       если     x  > 0.2

1. a = 0.5; b = 1.5; p = -4

2. a = -1; b = 0.5; p = -4

3. a = -2; b = 0;     p = -4

 

 

28

ìsin(ea+b )+ x 2 ,          если      a + b > x

ï

y = íarctg(abc)+ 3 x ,      если      a + b = x

îïï  rcsin(cos2 (  x ),      если        a + b < x

a

1. a = 7.2;    b = -1.3; c = 2.5

2. a =1.47;   b = 3.81; c = 2.8

3. a = 4.8;     b =10.6; c = 2.7

 

29

ìctg(x2e3k )+ ln r + x ,        если x = rs

ï                            

y = í5 x 2 +     arcsin k ,            если    x > rs

ï

îïarctg(kx + tg(rs)),            если  x < rs

1. k = -0.3; r = 0.85; s = 3.5

2. k = 0.9;    r = 3,3;      s =1.2

3. k = -0.7; r = 0.75; s = 2.15

 

 

30

ìa3 + arctg(sin 3 bx)+ cos2 x 2 , если      x £ a

ï

y = í (a + bx)+ 2 + sin zx,            если a < x < ln b

ïïîarctg(a + bx + z),                     если    x ³ ln b

1. a = 1.5; b = 5.7; z = tg tg(bx)

2. a = 3.7; b = 8.4; z = tg tg(bx)

3. a = 4.4; b = 5.6; z = tg tg(bx)


Высокий уровень

Задание: написать блок-схему и программу с использованием оператора выбора варианта согласно заданию.

вар.

Задача

 

1

Написать программу, которая по коду города и длительности переговоров вычисляет их стоимость и результат выводит на экран: Одесса-код 048, 15грн; Киев-код 044, 18грн; Харьков-код 046, 13грн; Винница-код 045,

11грн.

 

2

Написать программу, которая в зависимости от характера ветра выдает

сообщение о его скорости от 1до 4 м/с - слабый (1); от 5-10 м/c - умеренный (2); от 9-18 м/c - сильный (3); больше 19 м/c - ураганный (4).

 

3

Дано целое число k (1<k<365). Определить, каким днем недели (поне- дельник, вторник, воскресенье) является k-день невысокосного года, если

1 января понедельник.

 

 

 

4

Написать программу , которая по дате рождения (день d месяц n) опреде- ляет знак Зодиака: с 22 марта по 21 апреля - Овен (4); с 22 апреля по 21 мая - Телец (5); с 22 мая по 21 июня - Близнецы (6); с 22 июня по 21 июля

-   Рак (7); с 22 июля по 21 августа - Лев (8); с 22 августа по 21 сентября -

Дева (9); 22 сентября по 21 октября - Весы (10); с 22 октября по 21 ноября

-   Скорпион (11); с 22 ноября по 21 декабря - Стрелец (12); с 22 декабря по

21 января - Козерог (1); 22 января по 21 февраля - Водолей (2); с 22 февраля по 21 марта - Рыбы (3).

 

 

5

Почтовый автомат предлагает поздравительные открытки на три темы (1- Новогодние, 2 - С Днем Рождения, 3 - С Днем Защитника Отечества) в трех вариантах (a, b, c) по цене 2 гривны. Ввести с клавиатуры номер темы , вариант, и купюру оплаты (5,10, 20 гривен). Выдать нужную открытку (сообщение, например: «Новогодние, вариант с», а также сдачу (купюрами 1,2,5,10) с виде сообщения, например, «2гр+1гр». Предусмот-

реть обработку неправильного номера или варианта.

 

 

6

Используя пять вариантов наборов карт 1)«6», «7», «8» 2)«7», «8», «9» 3)

«6», «9», «10» 4)«6», «9», «8» 5)«7», «6», «10», сыграйте с компьютером. Введите с клавиатуры свой вариант и сравните с вариантом компьютера, который создайте, используя функцию генератора случайных чисел (три цифры от 6 до 10 включительно без повторения цифры в варианте). Если

сумма цифр вашего варианта больше суммы цифр компьютера, вы выиграли.

 

 

7

Тестовые задания последовательно вывести на экран, ввести номер правильного ответа и получить оценку. Тестовые задания:

Запишите номер правильного, на Ваш взгляд, ответа:

1) система программного обеспечения, что управляет работой всех структурных узлов компьютера, называется: 1 автоматизированная, балл=0; 2 операционная, балл=2; 3 интеллектуальная, балл=0;


вар.

Задача

 

2)     cовокупность данных, что размещены на диске и имеют общее имя и назначение – это: 1 файл, балл=2 ; 2 процессор, балл=0; 3 сектор, балл=0;

3)     для изображения в блок-схеме алгоритма условия разветвления используются графические элементы: 1 квадрат, балл=0; 2 круг,

балл=0; 3 ромб, балл=1.

 

 

8

Заказать билеты на фильм, выбрав зал и сеанс. Ввести количество биле- тов и определить их стоимость с учетом, если заказывается более пяти билетов – скидка 5%, более 10 билетов – 10%. Красный зал – «Хроники Нарнии», сеансы 12 часов – 25гр, 16 – 35гр, 20 – 45гр. Синий зал – «Чу- жие», сеансы 10 часов – 25гр, 13 – 35гр, 16 – 35гр. Голубой зал – «Ава- тар», сеансы 10 часов 35гр, 14 45гр, 18 45гр. Предусмотреть

обработку ошибок ввода.

 

 

 

9

Закажите гостиницу на курорте Трускавец, выбрав уровень гостиницы количество мест в номере, проживание с питанием или без. Гостиница

«Курортная» пять звезд, одноместная комната – 1000 гр в сутки (с пита- нием 1500 гр), двухместный 1500 гр питанием 2500 гр). Гостиница

«Верховина» четыре звезды, одноместная комната – 600 гр в сутки (с питанием 900 гр), двухместный - 900гр питанием 1500 гр). Гостиница

«Гуцулка» три звезды, одноместная комната – 300 гр в сутки (с питанием 500гр), двухместный – 450 гр (с питанием 800 гр). Предусмотреть обра- ботку ошибок ввода.

 

 

10

Закажите билет на авиарейс. Киев в одном направлении 500гр, в двух

направлениях -750гр. Харьков - в одном направлении 400гр, в двух направлениях -600гр. Донецк - в одном направлении 350гр, в двух на- правлениях -550гр. Львов - в одном направлении 600гр, в двух направле- ниях - 900гр. Если билет заказывается за 45 суток – скидка 20%, за 20 суток – скидка 10%. Определить стоимость заказа. Предусмотреть обра- ботку ошибок ввода.

 


 

Скачано с www.znanio.ru