Theoretical material
Very rarely, things move in circles. Some planets move in roughly circular orbits. A conker on a string might move around my head in a circle. A car turning a corner might, briefly, move along the arc of a circle. The key thing to note about circular motion is that there is no force pulling outwards from the circle, and there is no force pulling the moving object tangential to the circle. Centrifugal force does not exist. There is only one force acting in circular motion, which is known as centripetal force. It always acts towards the centre of the circle. The object does not follow a circular path because two forces are balanced. Instead, the centripetal force accelerates the object with a constant magnitude in an ever-changing direction. The object has a velocity, and will continue moving with this velocity unless acted on by the centripetal force, which is perpetually adding velocity towards the centre of the circle.
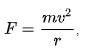
If you were to subject a stationary object to the centripetal force, it would simply fall. If you gave it a little bit of velocity, it would still fall, but it would not land directly beneath its starting position. If you kept increasing the velocity and dropping it, there would come a point when it would land infinitely far away - it would go into orbit. The relationship between this 'magic' velocity and the magnitude of the centripetal force is as follows:

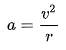
where m is the mass of the object in circular motion, v is the magnitude of its velocity, and r is the distance from the centre of the circle to the object. Since F=ma, the centripetal acceleration is:

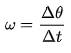
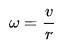
Velocity is the rate of change of displacement. Angular velocity is the rate of change of angle, commonly denoted ω and measured in radians per. second:

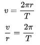
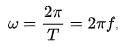
In circular motion:
![]()
where T is the time for one revolution and f is the frequency of rotation. However:

Therefore, the relationship between velocity and angular velocity is:
![]()
|
Marking scheme (Didactic material #3) |
1 a θ =
´ 2π =
» 0.52 rad [1]
b θ =
´ 2π »
3.7 rad [1]
c θ =
´ 2π »
8.7 ´ 10−4 rad [1]
2 a θ =
´ 360 = 57.3° » 57° [1]
b θ =
´ 360 » 230° [1]
c θ =
´ 360 » 8.6° [1]
3 a 88 days is equivalent to 2π radians.
θ =
´ 2π = π rad [1]
b θ =
´ 2π »
0.071 rad (4.1°) [1]
4 a w =
=
[1]
w =
7.5 ´ 105 rad s−1 [1]
b a =
[1]
a =
[1]
a = 1.125 m s–2 » 1.1 m s−2 [1]
c F = ma =
80 ´ 1.125 [1]
F = 90 N [1]
5. a i Time
=
= 0.82 s [1]
ii Distance = circumference of circle = 2π ´ 0.80 = 5.03 m » 5.0 m [1]
iii speed =
=
[1]
speed, v = 6.13 m s−1
» 6.1 m s−1 [1]
iv a =
[1]
a =
[1]
a = 47 m s–2 [1]
v F = ma =
0.090 ´ 47 [1]
F » 4.2 N [1]
6 net force = ![]()
net force =
= 2.4 N [2]
weight W of stone = mg = 0.120 ´ 9.81 = 1.18 N » 1.2 N [1]
At the top: W + TB = 2.4 so TB = 2.4 - 1.2 = 1.2 N [1]
At the bottom: TA - W = 2.4 so TA = 2.4 + 1.2 = 3.6 N [1]
ratio =
=
= 3.0 [1]
Additional problems (optional as homework or differentiated tasks)
1. A tennis ball of mass 10g is attached to the end of a 0.75m string and is swung in a circle around someone's head at a frequency of 1.5 Hz. What is the tension in the string?
2. A planet orbits a star in a circle. Its year is 100 Earth years, and the distance from the star to the planet is 70 Gm from the star. What is the mass of the star?
3. A 2000 kg car turns a corner, which is the arc of a circle, at 20kmh−1. The centripetal force due to friction is 1.5 times the weight of the car. What is the radius of the corner?
4. Using the formulae for centripetal acceleration and gravitational field strength, and the definition of angular velocity, derive an equation linking the orbital period of a planet to the radius of its orbit. 5.A planet of 1.5g revolves around the earth at a radius if 0.5 cm at a of frequency of 2 Hz. Find force.
Useful sources of literature
https://bilimland.kz/en/courses/physics-en/mechanics/kinematics/lesson/curvilinear-motion
https://www.academia.edu/28917633/Kinematics_of_Particles_Plane_Curvilinear_Motion_Rectangular_Coordinates_x-y
http://www.iitg.ac.in/kd/Lecture%20Notes/ME101-Lecture24-KD.pdf
http://pioneer.netserv.chula.ac.th/~anopdana/263/22xy.pdf
Скачано с www.znanio.ru
Материалы на данной страницы взяты из открытых источников либо размещены пользователем в соответствии с договором-офертой сайта. Вы можете сообщить о нарушении.