Дата:
Класс: 10
Тема: Параллельность прямой и плоскости
Цели урока:
а) образовательные:
· повторить теоретический материал по теме «Параллельность прямых и плоскостей»;
· закрепить умения:решать задачи на доказательство, опираясь на точные аргументы (знания теоретического материала);
· при решении стереометрических задач применять знания, полученные при изучении планиметрии;
· при выполнении рисунка к задаче учитывать наглядность и правила изображения пространственных фигур
б) развивающие: развитие навыков
· самостоятельной работы,
· пространственного мышления, логического мышления;
в) воспитательная: воспитывать у учащихся
· умения слушать друг друга, задавать вопросы, аргументированно оценивать ответы;
· интерес к предмету
Предметные: знать понятие параллельных прямых, параллельности прямой и плоскости; уметь применять полученные знания при решении задач
Метапредметные: уметь устанавливать причинно – следственные связи, строить логическое рассуждение, умозаключение. Умение действовать в соответствии с предложенным алгоритмом.
Личностные: готовность к жизненному и личностному самоопределению, знания моральных норм, умения выделять нравственный аспект поведения и соотносить поступки и события с принятыми этическими нормами, ориентация в жизненных ролях и межличностных отношениях (формируются во время выполнения заданий, в которых школьникам предлагается дать собственную оценку)
Регулятивные: уметь поставить учебную цель, задачу на основе того, что уже известно и усвоено; уметь планировать последовательность своих действий для достижения конечного результата.
Коммуникативные: планирование учебного сотрудничества с учителем и сверстниками; постановка вопросов.
Тип урока: урок совершенствования знаний, умений и навыковОборудование: конспект, учебник, доска, чертёжные принадлежности
Ход урока
I. Организационный момент
Сообщить тему и цели урока.
II. Проверка домашнего задания
II. Проверка домашнего задания
III. Актуализация знаний учащихся.
Фронтальный опрос
1) Какие прямые в пространстве называются параллельными?
2) Всегда ли через две параллельные прямые можно провести - плоскость? А через две пересекающиеся прямые? (Да, да.)
3) В пространстве дано число n параллельных между собой прямых. Известно, что никакие три из них не лежат в одной плоскости. Сколько различных плоскостей можно провести через эти прямые? (Число n плоскостей.)
4) Сформулируйте лемму о пересечении плоскости параллельными прямыми.
5) Каково может быть взаимное расположение прямой и плоскости в пространстве?
6) В каком случае прямая параллельна плоскости?
IV. Решение задач
1) Решение у доски с записью в тетрадях
Задача № 22
Дано: A ∈ α, В ∈ α, С ∈ α; AM = МС; BN = NC.
Доказать: MN || α.
Доказательство: MN || АВ (по свойству средней линии), АВ ∈ α; MN || α по признаку.
Перед решением задачи № 26 дать понятие отрезка, параллельного плоскости.
«Отрезок параллелен плоскости, если прямая, содержащая этот отрезок, параллельна плоскости».
Задача № 26
Дано: АС || α, АВ ∩ α = М; СВ ∩ α = N (рис. 1).
Доказать: ΔАВС ~ ΔMBN.

Доказательство:
1. Докажем, что AC || MN;
![]()
(по определению).
2. Так как АС || MN ⇒ ΔАВС ~ ΔMBN.
2) Самостоятельное решение задач по уровням
I уровень
Отрезок АВ не пересекает плоскость α. Через середину отрезка С и концы отрезка А и В проведены прямые, параллельные между собой и пересекающие плоскость α в точках А1, В1, С1.
Вычислить длину отрезка СС1, если АА1 = 5, BB1 = 7.
Дано:
АА1 = 5 см, ВВ1 = 7
см (рис. 2).
Найти: СС1.

Решение:
1. Докажем, что A1, С1 и В1 лежат на одной прямой. (АА1, ВВ1) = β, β ∩ а = А1В1. Докажем, что С1 ∈ А1В1.
2. Пусть С1 ∈ А1В1,
тогда CC1 ∩ β = c, с - прямая
пересечения;
по лемме
АА1 ∩ β. Получили противоречие, значит, С1 ∈ А1В1.
3. Так как А1А || ВВ1, значит, А1АВВ1 - трапеция,
СС1 - средняя линия
(Ответ: 6 см.)
II уровень
Точка М лежит на отрезке АВ. Отрезок АВ пересекается с плоскостью α в точке В. Через А и М проведены параллельные прямые, пересекающие α в точках А1 и M1.
а) Докажите, что А1, М1 и В лежат на одной прямой.
б) Найдите длину отрезка АВ, если АА1 : ММ1 = 3 : 2, AM = 6.
Дано: ![]()
(рис. 3).
Докажите: М1 ∈ А1В.

Найдите: АМ = 6.
Решение:
1.
Предположим,
М1 ∈ А1В, тогда
значит,
что противоречит
условию.
2.
(Ответ: 12 см.)
V. Подведение итогов. Рефлексия
VI. Домашнее задание
I уровень: № 24, 28.
II уровень: № 31, дополнительная задача № 1.
I уровень
Задача № 24
Дано: ABCD - трапеция М ∉ (ABC) (рис. 4).
Доказать: AD || (ВМС).

Доказательство: AD || ВС (по определению трапеции); ВС ∈ (ВМС), значит AD || (ВМС) по признаку.
Задача № 28
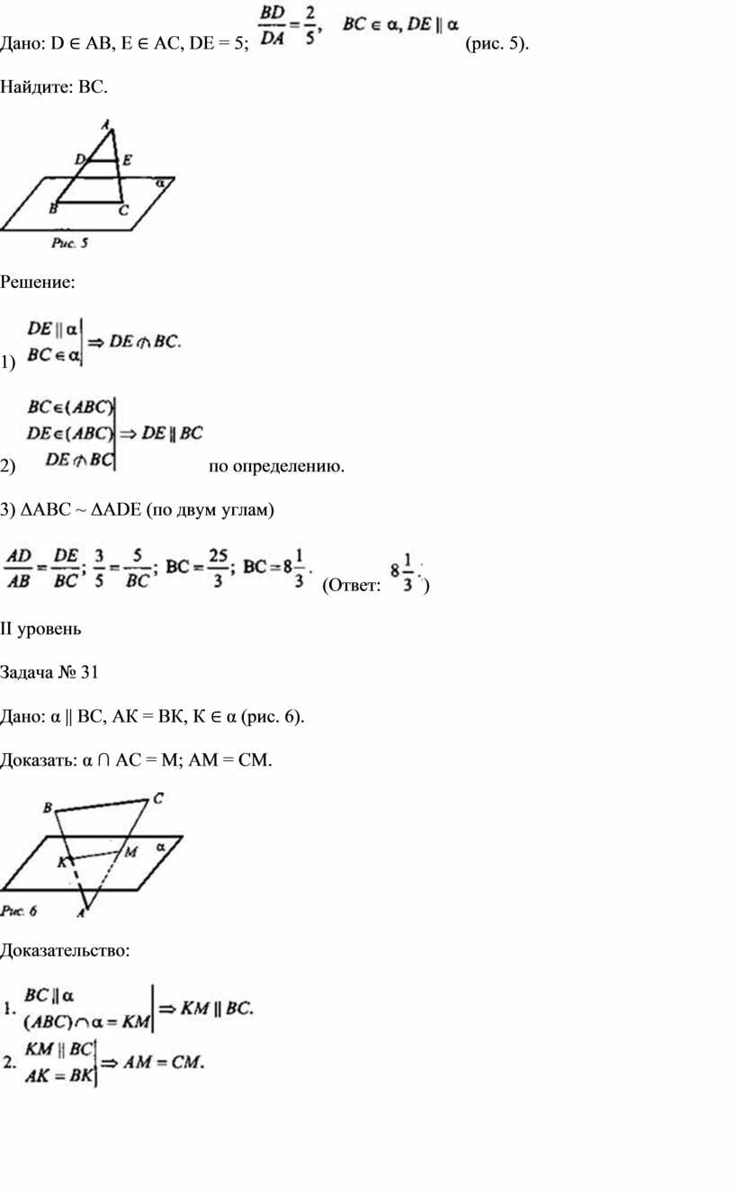
Дано: D ∈ AB, Е ∈ AC, DE = 5;
(рис. 5).
Найдите: ВС.

Решение:
1) ![]()
2)
по определению.
3) ΔАВС ~ ΔADE (по двум углам)
(Ответ:
)
II уровень
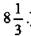
Задача № 31
Дано: α || ВС, АК = ВК, К ∈ α (рис. 6).
Доказать: α ∩ АС = М; АМ = СМ.

Доказательство:

Скачано с www.znanio.ru
Материалы на данной страницы взяты из открытых источников либо размещены пользователем в соответствии с договором-офертой сайта. Вы можете сообщить о нарушении.