Практическая работа №11-12
Линейная алгоритмическая конструкция. Разветвляющая алгоритмическая конструкция. Рекурсивный алгоритм
Блок-схемы (элементы блок-схем, типы блоков).
Цель: Научить составлять блок-схемы для различных типов алгоритмов.
Краткие теоретические сведения
Решение задач на компьютере основано на понятии алгоритма. Алгоритм – это точное предписание, определяющее вычислительный процесс, ведущий от варьируемых начальных данных к исходному результату.
Графический способ описания алгоритма (блок - схема) получил самое широкое распространение. Для графического описания алгоритмов используются схемы алгоритмов или блочные символы (блоки), которые соединяются между собой линиями связи.
Каждый этап вычислительного процесса представляется геометрическими фигурами (блоками). Они делятся на арифметические или вычислительные (прямоугольник), логические (ромб) и блоки ввода-вывода данных (параллелограмм).
Таблица 1. Основные символы для схем алгоритмов
|
Название символа |
Обозначение и пример заполнения |
Пояснение |
|
Процесс |
|
Вычислительное действие или |
|
Решение |
|
Проверка условий |
|
Модификация |
|
Начало цикла |
|
Предопределенный процесс |
|
Вычисления по подпрограмме, |
|
Ввод-вывод |
|
Ввод-вывод в общем виде |
|
Пуск-останов |
|
Начало, конец алгоритма, |
|
Документ |
|
Вывод результатов на печать |
Порядок выполнения этапов указывается стрелками, соединяющими блоки. Геометрические фигуры размещаются сверху вниз и слева на право. Нумерация блоков производится в порядке их размещения в схеме.
По структуре выполнения алгоритмы и программы делятся на три вида: линейные, ветвящиеся, циклические.
Линейный алгоритм (линейная структура) – это такой алгоритм, в котором все действия выполняются последовательно друг за другом и только один раз. Схема представляет собой последовательность блоков, которые располагаются сверху вниз в порядке их выполнения. Первичные и промежуточные данные не оказывают влияния на направление процесса вычисления.
Алгоритмы разветвляющейся структуры
На практике часто встречаются задачи, в которых в зависимости от первоначальных условий или промежуточных результатов необходимо выполнить вычисления по одним или другим формулам.
Такие задачи можно описать с помощью алгоритмов разветвляющейся структуры. В таких алгоритмах выбор направления продолжения вычисления осуществляется по итогам проверки заданного условия. Ветвящиеся процессы описываются оператором IF (условие ЕСЛИ).

Циклические вычислительные процессы
Для решения многих задач характерно многократное повторение отдельных участков вычислений. Для решения таких задач применяются алгоритмы циклической структуры (циклические алгоритмы). Цикл – последовательность команд, которая повторяется до тех пор, пока не будет выполнено заданное условие. Циклическое описание многократно повторяемых процессов значительно снижает трудоемкость написания программ.
Существуют две схемы циклических вычислительных процессов.

Особенностью первой схемы является то, что проверка условия выхода из цикла проводится до выполнения тела цикла. В том случае, если условие выхода из цикла выполняется, то тело цикла не выполняется ни разу.
Особенностью второй схемы является то, что цикл выполняется хоты бы один раз, так как первая проверка условия выхода из цикла осуществляется после того, как тело цикла выполнено.
ЗАДАНИЕ:
1. Составить алгоритм и представить блок-схему алгоритма для рещения следующей задачи:
Вычислить объем круглого конуса. Для вычисления следует воспользоваться формулой

При заданных двух размерах (r — радиус основания и h — высота конуса) эта формула дает предписание исполнителю, как действовать, т. е. определены характер и последовательность действий.
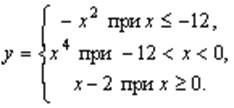
2. Составить алгоритм и представить блок-схему алгоритма для рещения следующей фугкции:

3. Составьте алгоритм по следующей блок-схеме:

4. Составьте алгоритм по следующей блок-схеме:

5. Составьте алгоритм по следующей блок-схеме:

Материалы на данной страницы взяты из открытых источников либо размещены пользователем в соответствии с договором-офертой сайта. Вы можете сообщить о нарушении.