Применение ФСУ при разложении_Урок 2_Краткосрочное планирование

  • docx
  • 30.04.2020
Публикация на сайте для учителей

Публикация педагогических разработок

Бесплатное участие. Свидетельство автора сразу.
Мгновенные 10 документов в портфолио.

Иконка файла материала Применение ФСУ при разложении_Урок 2_Краткосрочное планирование.docx

Раздел 7.3В: Формулы сокращенного умножения

Школа:

Дата:

ФИО учителя:

Класс: 7

Количество присутствующих:

отсутствующих:

Тема урока:

Применение формул сокращенного умножения при разложении многочлена на множители

Тип урока:

·         Урок совершенствования знаний, умений и навыков

Цели обучения, которые достигаются на данном  уроке

7.2.1.14

раскладывать алгебраические выражения на множители с помощью формул сокращённого умножения

 

Предметные цели обучения

Знать формулы сокращенного умножения

Применять формулы сокращенного умножения при разложении многочлена на множители

Уметь раскладывать многочлен на множители

Критерии оценивания

Учащиеся:

Знают формулы сокращенного умножения

Умеют раскладывать многочлен на множители

Применяют формулы сокращенного умножения при разложении многочлена на множители

Языковые цели

Лексика и терминология, специфичная для предмета:

- формулысокращенногоумножения;

- разностьквадратовдвухвыражений;

- квадратсуммыдвухвыражений;

- квадратразностидвухвыражений;

- удвоенноепроизведение;

- утроенноепроизведение;

- кубсуммыдвухвыражений;

- кубразностидвухвыражений;

- суммакубовдвухвыражений

- разностькубовдвухвыражений;

- разложениенамножители;

- общиймножитель;

- наибольшийобщиймножитель;

- способгруппировки;

- полныйквадрат;

неполный квадрат.

Полезные выражения для диалогов и письма:

- разность квадратов двух выражений равна…;

- квадрат суммы (разности) двух выражений равен….;

- куб суммы (разности) двух выражений равен….;

- сумма (разность) кубов двух выражений равна…;

- чтобы вынести общий множитель за скобки…;

- наибольшийобщийделителькоэффициентов…;

- данное выражение можно записать в виде…;

- чтобы разложить многочлен на множители.…;

- произведение множителей равно нулю, если…;

- сгруппируем члены многочлена (выражения), имеющие …;

- чтобы представить данный многочлен в виде произведения, используем …;

чтобы в данном выражении выделить квадрат суммы (разности)….

Привитие ценностей

Умение учиться, добывать самостоятельно информацию, анализировать ситуацию, адаптироваться к новым ситуациям, ставить проблемы и принимать решения, работать в команде, отвечать за качество своей работы, умение организовывать свое время

Привитие ценностей осуществляется посредством работ, запланированных на данном уроке.

Межпредметные связи

Геометрия (видео - объем тора)

Навыки использования ИКТ

Использование интерактивной доски в качестве демонстрационного средства и средства записи.

Предварительные знания

Умение выполнять действия с одночленами и многочленами.

Ход урока

Запланированные этапы урока

Запланированная деятельность на уроке

Ресурсы

Начало урока

3 мин

 

Braingym

8 мин

Орг. момент. Приветствие. Создание благоприятного психологического климата в классе.

- welcome students, creating a positive climate

 

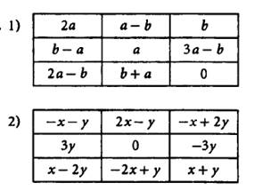
Запишите в клетки каждого квадрата такие выражения, чтобы их сумма в каждом столбце, каждой строке и каждой диагонали была равной «магическому» выражению, записанному в треугольник.

 

 

Ответы

 

 

Приложение 1

 

 

 

 

 

 

 

 

 

 

 

 

 

 

 

 

 

 

Презентация

Слайд 1

Выход на тему, постановка целей

5 мин

 

Просмотр видео.

 

Ответьте на вопросы:

1.      О чем данное видео?

2.      Каким методом было произведено упрощение?

3.      Как это можно связать с нашей темой?

 

Тема нашего урока: «Применение формул сокращенного умножения при разложении многочлена на множители».

http://bilimland.kz/ru/#lesson=11206

 

 

 

 

 

 

 

 

 

 

 

 

 

Презентация

Слайд 2

 

 

Презентация

Слайд 3

 

Актуализация знаний

8 мин

 

 

 

 

Разложите на множители

1)  

2)     

3)     

4)  

 

Критерии оценивания:

ü  Правильно определены подобные слагаемые

ü  Правильно вынесен общий множитель за скобки

 

Ответы:

1)  

2)  

3)  

4)  

 

Рефлексия этапа урока:

-        Что получилось?

-        Что не получилось?

-        Чего не учли в работе?

-        Почему?

-        Как улучшить этот результат?

Коррекция (при необходимости).

 

Презентация

Слайд 4

 

 

 

 

 

 

 

 

Презентация

Слайд 5

 

 

 

 

 

 

 

 

 

Работа в группах

16 мин

 

Объединение в группы (3 группы) по ФСУ:

 

 

Стратегия «Карусель»: учащиеся выполняют задания по карточке, далее обмениваются по часовой стрелке, после того как все группы отработали все карточки, проверяют ответы по слайдам. При необходимости разбор примеров, вызвавших затруднения, у доски.

 

Карточка 1

Вынесите  за  скобки  общий  множитель:

Карточка 2

Разложите  многочлен  на  множители:

Карточка 3

Преобразуйте  в  многочлен:

 

Критерии оценивания:

ü  Правильно определены подобные слагаемые

ü  Правильно вынесен общий множитель за скобки

ü  Правильно вынесен общий бином за скобки

ü  Могут преобразовать в многочлен, используя ФСУ

 

Ответы:

Карточка 1

Карточка 2

Карточка 3

Преобразуйте  в  многочлен:

 

 

Дифференциация (для учащихся, закончивших раньше времени):

1.      Решите уравнение

2.      Упростите выражение

3.      Выполните действия

4.      Вычислите рациональным способом

Ответы:

1.      -1,6

2.  

3.  

4.      899,96

 

 

 

 

 

 

 

 

 

 

 

 

 

 

Приложение 2

 

 

 

 

 

 

 

 

 

 

 

 

 

 

 

 

 

 

 

Презентация

Слайд 6

 

 

 

 

 

 

 

 

 

 

 

 

 

 

 

 

 

 

 

 

 

 

 

 

 

 

 

Приложение 3

 

Рефлексия

3мин

Ø  Whatnewconceptsdidyoulearn in this lesson?

Ø  What concepts are still confusing, or difficult, for you?

Ø  What is a concept you feel better about after this lesson?

Презентация

Слайд 7

Домашнее задание

2 мин

Дифференцированное домашнее задание.

Обязательное домашнее задание:

Разложите на множители:

 ()

()

                                 ()

                 ()

Дополнительные задания:

Вычислите рациональным способом: 29,8∙30,2-15,2∙14,8    (675)

Разложите на множители: 25

 

 

Дополнительная информация

Дифференциация – каким образом Вы планируете оказать больше поддержки? Какие задачи Вы планируете поставить перед более способными учащимися?

Оценивание – как Вы планируете проверить уровень усвоения материала учащимися?

Здоровье и соблюдение техники безопасности

Учитель объединяет учеников в пары по счету, с учетом дифференциации: в каждой паре посадить учеников разного уровня успеваемости, чтобы дети помогали друг другу во время урока. Диалог между партнерами таков, что оба учатся одновременно, а не так чтобы кто-то зависел от другого. Предусмотрены дифференцированные задания для учащихся с разным темпом работы.

Формативное оценивание проводится через наблюдение работ учащихся, взаимооценивание по готовым критериям оценивания

 

Использование интерактивной программы обеспечения для показа материалов темы во время беседы и диалога с обязательным соблюдением техники безопасности. 

 


 

Скачано с www.znanio.ru