Прямоугольная система координат_ геометрия 8 класс (1)

  • docx
  • 21.04.2020
Публикация на сайте для учителей

Публикация педагогических разработок

Бесплатное участие. Свидетельство автора сразу.
Мгновенные 10 документов в портфолио.

Иконка файла материала Прямоугольная система координат_ геометрия 8 класс (1).docx

Маршрутные листы для учащегося изучения раздела геометрии 8 класса “Прямоугольная система координат на плоскости”

Инструкция: маршрутный лист может быть заполнен в электронном формате и отправлен на проверку учителю посредством системы «Кунделiк» или любого доступного мессенджера. При отсутствии такой возможности задания выполняются в тетради, фотографируются и отправляются учителю на проверку посредством доступного мессенджера.

Предмет

геометрия

Ф.И.О. учителя

 

Учебник

Геометрия: Учебник для 8 кл. общеобразоват. шк. / А. Шыныбеков, Д. Шыныбеков, Р. Жумабаев – Алматы: Атамұра, 2018.

Урок № 53 , тема урока

Метод координат на плоскости

Цели обучения

(кратко)

8.1.3.14 вычислять расстояние между двумя точками на плоскости по их координатам

Ф.И. учащегося (заполняется учеником)

 

 

Порядок действий

Ресурсы

(заполняется учителем)

Выполнение

(заполняется учеником)

Изучи

1. стр. 86-87

2. посмотри видеоурок по ссылке https://youtu.be/ZNVbi2loB3Q

 

 

 

 

 

 

 

 

Отметь знаком «+»  материал, с которым ознакомился(лась)

Ответь

1. Как построить прямоугольную декартову систему координат?

2. Какие знаки имеют координаты точки, если она принадлежит первой (второй, третьей, четвертой) четверти?

3. Какой общий вид имеют координаты точки, лежащей а) на оси ох; б) на оси оу?

4. Напишите формулу для расстояния между двумя точками

 

 

Выполни

№4.6,

№4.8,

№4.9

Учебник сможешь загрузить по ссылке https://mhelp.kz/skachat-elektronnye-uchebniki-kazahstan/#klass-8

Зайди на образовательный портал Bilimland.kz и выполни урок https://bilimland.kz/ru/subject/geometriya/8-klass/koordinaty-tochki-na-ploskosti-koordinaty-serediny-otrezka-rasstoyanie-mezhdu-dvumya-tochkami?mid=f0bcfc00-9ee4-11e9-a361-1f1ed251dcfe. Урок состоит из видеообъяснения, конспекта и 2-х упражнений.

 

 

 

Рефлексия

Теперь я знаю

-формулу для вычисления расстояния между двумя точками

 

Теперь я умею

-вычислять расстояние между двумя точками на плоскости по их координатам

 

 

 

Поставь знаки «+» или «-»

 

Обратная связь от учителя

(словесная оценка и/или комментарий)

 

 

 

 

Предмет

геометрия

Ф.И.О. учителя

 

Учебник

Геометрия: Учебник для 8 кл. общеобразоват. шк. / А. Шыныбеков, Д. Шыныбеков, Р. Жумабаев – Алматы: Атамұра, 2018.

Урок № 54 , тема урока

Метод координат на плоскости

Цели обучения

(кратко)

8.1.3.15 находить координаты середины отрезка;

8.1.3.16 находить координаты точки, делящей отрезок в заданном отношении

Ф.И. учащегося (заполняется учеником)

 

 

Порядок действий

Ресурсы

(заполняется учителем)

Выполнение

(заполняется учеником)

Изучи

1. стр. 88-89

2. посмотри видеоурок по ссылке https://youtu.be/FNusKBmCNIA

 

 

 

 

 

 

 

 

Отметь знаком «+»  материал, с которым ознакомился(лась)

Ответь

1. Напишите формулу для деления отрезка в данном отношении.

2. По какой формуле определяют координаты середины отрезка?

 

Выполни

№4.7,

№4.11

№4.16

Учебник сможешь загрузить по ссылке https://mhelp.kz/skachat-elektronnye-uchebniki-kazahstan/#klass-8

Зайди на образовательный портал Bilimland.kz и выполни урок https://bilimland.kz/ru/subject/geometriya/8-klass/koordinaty-tochki-na-ploskosti-koordinaty-serediny-otrezka-rasstoyanie-mezhdu-dvumya-tochkami?mid=f0bcfc04-9ee4-11e9-a361-1f1ed251dcfe. Урок состоит из видеообъяснения, конспекта, 3-х упражнений и теста. Результаты теста пришли учителю.

 

 

 

Рефлексия

Теперь я знаю

-формулу для вычисления координат середины отрезка;

-формулу для вычисления координат точки, делящей отрезок в заданном отношении

 

Теперь я умею

-вычислять координаты середины отрезка;

-вычислять координаты точки, делящей отрезок в заданном отношении

 

 

 

 

 

 

Поставь знаки «+» или «-»

 

Обратная связь от учителя

(словесная оценка и/или комментарий)

 

 

 

 

Предмет

геометрия

Ф.И.О. учителя

 

Учебник

Геометрия: Учебник для 8 кл. общеобразоват. шк. / А. Шыныбеков, Д. Шыныбеков, Р. Жумабаев – Алматы: Атамұра, 2018.

Урок № 55 , тема урока

Метод координат на плоскости

Цели обучения

(кратко)

8.1.3.17знать уравнение окружности с центром в точке (a;b) и радиусом r: (x-a)^2+(y-b)^2=r^2

8.1.3.18 строить окружность по заданному уравнению

Ф.И. учащегося (заполняется учеником)

 

 

Порядок действий

Ресурсы

(заполняется учителем)

Выполнение

(заполняется учеником)

Изучи

1. стр. 96-97

2. посмотри видеоурок по ссылке https://youtu.be/LuIXDLtVPkQ

 

 

 

 

 

 

 

 

Отметь знаком «+»  материал, с которым ознакомился(лась)

Ответь

1.  Как записывается уравнение окружности?

2. Как определяются координаты центра и радиус окружности?

 

Выполни

№4.39,

№4.40

№4.41

№4.46

Учебник сможешь загрузить по ссылке https://mhelp.kz/skachat-elektronnye-uchebniki-kazahstan/#klass-8

Зайди на образовательный портал Bilimland.kz и выполни урок https://bilimland.kz/ru/subject/geometriya/8-klass/uravnenie-okruzhnosti?mid=507:simple . Урок состоит из видеообъяснения, конспекта, 3-х упражнений и теста. Результаты теста пришли учителю.

 

 

 

Рефлексия

Теперь я знаю

-уравнение окружности с центром в точке (a;b) и радиусом r: (x-a)^2+(y-b)^2=r^2

 

Теперь я умею

-строить окружность по заданному уравнению;

-составлять уравнение окружности по радиусу и координатам центра

 

 

 

 

 

 

 

Поставь знаки «+» или «-»

 

Обратная связь от учителя

(словесная оценка и/или комментарий)

 

 

 

 

Предмет

геометрия

Ф.И.О. учителя

 

Учебник

Геометрия: Учебник для 8 кл. общеобразоват. шк. / А. Шыныбеков, Д. Шыныбеков, Р. Жумабаев – Алматы: Атамұра, 2018.

Урок № 56 , тема урока

Метод координат на плоскости

Цели обучения

(кратко)

8.1.3.19 записывать общее уравнение прямой и уравнение прямой, проходящей через две заданные точки

Ф.И. учащегося (заполняется учеником)

 

 

Порядок действий

Ресурсы

(заполняется учителем)

Выполнение

(заполняется учеником)

Изучи

1. стр. 94-96

2. посмотри видеоурок по ссылке  https://youtu.be/gMQtKdQE_K8

 

 

 

 

 

 

 

 

Отметь знаком «+»  материал, с которым ознакомился(лась)

Ответь

 

 

Выполни

№4.33,

№4.34

№4.36

№4.38

Учебник сможешь загрузить по ссылке https://mhelp.kz/skachat-elektronnye-uchebniki-kazahstan/#klass-8

Зайди на образовательный портал Bilimland.kz и выполни урок https://bilimland.kz/ru/subject/geometriya/8-klass/uravnenie-pryamoj?mid=%info% . Урок состоит из видеообъяснения, конспекта, 4-х упражнений и теста. Результаты теста пришли учителю.

 

 

 

Рефлексия

Теперь я знаю

-общее уравнение прямой;

- уравнение прямой, проходящей через две заданные точки

 

 

Теперь я умею

- записывать общее уравнение прямой;

-записывать уравнение прямой, проходящей через две заданные точки

 

 

 

 

 

 

 

Поставь знаки «+» или «-»

 

Обратная связь от учителя

(словесная оценка и/или комментарий)

 

 

 

 

Предмет

геометрия

Ф.И.О. учителя

 

Учебник

Геометрия: Учебник для 8 кл. общеобразоват. шк. / А. Шыныбеков, Д. Шыныбеков, Р. Жумабаев – Алматы: Атамұра, 2018.

Урок № 57 , тема урока

Метод координат на плоскости

Цели обучения

(кратко)

8.1.3.14 вычислять расстояние между двумя точками на плоскости по их координатам;

8.1.3.15 находить координаты середины отрезка;

8.1.3.16 находить координаты точки, делящей отрезок в заданном отношении;

8.1.3.17знать уравнение окружности с центром в точке (a;b) и радиусом r: (x-a)^2+(y-b)^2=r^2

8.1.3.18 строить окружность по заданному уравнению;

8.1.3.19 записывать общее уравнение прямой и уравнение прямой, проходящей через две заданные точки

 

 

 

Ф.И. учащегося (заполняется учеником)

 

 

Порядок действий

Ресурсы

(заполняется учителем)

Выполнение

(заполняется учеником)

Изучи

Повтори формулы:

1. вычисления расстояния между двумя точками на плоскости по их координатам

2. координат середины отрезка;

3. координат точки, делящей отрезок в заданном отношении;

4. уравнение окружности;

5. общее уравнение прямой;

6. уравнение прямой, проходящей через две точки.

 

 

 

 

 

 

 

 

 

 

 

 

 

 

 

 

Отметь знаком «+»  материал, с которым ознакомился(лась)

Ответь

Вставь пропущенное:

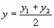
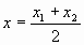
1. Координата середины отрезка равна ……….. соответствующих координат ……… отрезка.

 

2. х = ….+х2/…. у = у1+…./…..

 

3. Расстояние между двумя точками на плоскости равно квадратному корню из …….. квадратов разности соответствующих ………. точек.

 

 

4. АВ =

 

 

Выполни

1. Даны точки A(0; - 2), B(- 2;1), C(0;0) и D(2; - 9). Укажите те из них, которые лежат на прямой 2x - 3y + 7 = 0.

2. Даны точки A(0;0), B(- 2;1), C(3;3), D(2; - 1) и окружность

(x - 1)^2 + (y + 3)^2 = 25.  Выясните, где расположены эти точки: на окружности, внутри или вне окружности.

3. Найти расстояние между точками А (-1; -2) и В (-4; 2).

4. Даны две вершины прямоугольника АВСD :

А (0; 1) , С (3; 2). Найти координаты точки пересечения диагоналей.

5. Даны три вершины треугольника АВС: А(1;2), В(-5;-5), С(2;3). Найдите координаты середины сторон треугольника.

 

Рефлексия

Теперь я знаю

-формулу для вычисления расстояния между двумя точками

-формулу для вычисления координат середины отрезка;

-формулу для вычисления координат точки, делящей отрезок в заданном отношении

-уравнение окружности с центром в точке (a;b) и радиусом r;

-общее уравнение прямой;

- уравнение прямой, проходящей через две заданные точки

 

 

Теперь я умею

-вычислять расстояние между двумя точками на плоскости по их координатам

-вычислять координаты середины отрезка;

-вычислять координаты точки, делящей отрезок в заданном отношении

-строить окружность по заданному уравнению;

-составлять уравнение окружности по радиусу и координатам центра

- записывать общее уравнение прямой;

-записывать уравнение прямой, проходящей через две заданные точки

 

 

 

 

 

 

 

 

 

 

 

 

 

 

 

Поставь знаки «+» или «-»

 

Обратная связь от учителя

(словесная оценка и/или комментарий)

 

 

 

Предмет

геометрия

Ф.И.О. учителя

 

Учебник

Геометрия: Учебник для 8 кл. общеобразоват. шк. / А. Шыныбеков, Д. Шыныбеков, Р. Жумабаев – Алматы: Атамұра, 2018.

Урок № 58 , тема урока

Метод координат на плоскости

Цели обучения

(кратко)

8.1.3.14 вычислять расстояние между двумя точками на плоскости по их координатам;

8.1.3.15 находить координаты середины отрезка;

8.1.3.16 находить координаты точки, делящей отрезок в заданном отношении;

8.1.3.17знать уравнение окружности с центром в точке (a;b) и радиусом r: (x-a)^2+(y-b)^2=r^2

8.1.3.18 строить окружность по заданному уравнению;

8.1.3.19 записывать общее уравнение прямой и уравнение прямой, проходящей через две заданные точки

Ф.И. учащегося (заполняется учеником)

 

 

Порядок действий

Ресурсы

(заполняется учителем)

Выполнение

(заполняется учеником)

Изучи

Повтори формулы:

1. вычисления расстояния между двумя точками на плоскости по их координатам

2. координат середины отрезка;

3. координат точки, делящей отрезок в заданном отношении;

4. уравнение окружности;

5. общее уравнение прямой;

6. уравнение прямой, проходящей через две точки.

 

 

 

 

 

 

 

 

 

 

 

 

 

 

 

 

Отметь знаком «+»  материал, с которым ознакомился(лась)

Ответь

Ответь на вопросы теста

https://bbf.ru/tests/1481/.

Результат отправь учителю.

 

Выполни

Тест «Декартовы координаты на плоскости». 8 класс.

1. hello_html_2ebb976a.gifРасстояние между точками находится по формуле:

а) hello_html_m43170699.gif;

б)hello_html_6764a97d.gif;

в) hello_html_m7d2d41a3.gif, hello_html_m2fa73307.gif;

г) hello_html_252501a6.gif, hello_html_5fc60603.gif

2. Координаты середины отрезка находятся по формуле:

а) hello_html_m43170699.gif;

б) hello_html_6764a97d.gif;

в) hello_html_m7d2d41a3.gif, hello_html_m2fa73307.gif;

г) hello_html_252501a6.gif, hello_html_5fc60603.gif

3. Расстояние от точки В(0; у) до точки С(х;0) равно:

а) hello_html_464521d7.gif;

б) 0;

 в) hello_html_7bcef8fb.gif;

г) х2 – у2 .

4. Уравнение окружности с центром в начале координат и радиусом равным 4 имеет

вид:

а) х2 + у2 = 4;

б) х2 – у2 = 16;

в) х2 + у2 = 16;

г) х2 - у2 = 4.

5. Дано уравнение окружности (х + 3)2 + (у– 2)2 = 144. Чему равен радиус этой

окружности и в какой точке находится её центр?

а) 144; (3;-2);

б) 12; (3;-2);

в)12; (-3; 2);

г) 144;( -3; 2).

6. Составьте уравнение окружности по рисунку

а) х2 + у2 = 4;

б) х2 + у2 = 16;

в) х2 + у2 = 0;

г) х2 + у2 = 1.

hello_html_m5f7c05b3.jpg

7. Является ли уравнение 4 -5у = 0 уравнением прямой?

а) да;

б) нет;

в) не знаю.

8. Приведите уравнение прямой 8х – 2у + 15= 0 к виду у = kx + b

а) у = 4х+7,5;

б) у = 8х+15;

в) y = 4х + 7,5;

г) у = -4х-7,5.

7. Сколько общих точек имеют прямая х = 8 и окружность с центром в начале координат

и радиусом, равным 4?

а) одну;

б) две;

в) не имеют общих точек.

9. Сколько общих точек имеют окружность х2+ у2 = 25 и прямая удалённая от начата координат на 3 единицы?

а) одну;

б) две;

в) не имеют общих точек.

10. Каково взаимное расположение прямой у = 4 и окружности х2 + у2 = 16

а) одну;

б) две;

в) не имеют общих точек.

 

Рефлексия

Теперь я знаю

-формулу для вычисления расстояния между двумя точками

-формулу для вычисления координат середины отрезка;

-формулу для вычисления координат точки, делящей отрезок в заданном отношении

-уравнение окружности с центром в точке (a;b) и радиусом r;

-общее уравнение прямой;

- уравнение прямой, проходящей через две заданные точки

 

 

Теперь я умею

-вычислять расстояние между двумя точками на плоскости по их координатам

-вычислять координаты середины отрезка;

-вычислять координаты точки, делящей отрезок в заданном отношении

-строить окружность по заданному уравнению;

-составлять уравнение окружности по радиусу и координатам центра

- записывать общее уравнение прямой;

-записывать уравнение прямой, проходящей через две заданные точки

 

 

 

 

 

 

 

 

 

 

 

 

 

 

 

Поставь знаки «+» или «-»

 

Обратная связь от учителя

(словесная оценка и/или комментарий)

 

 

 

Предмет

геометрия

Ф.И.О. учителя

 

Учебник

Геометрия: Учебник для 8 кл. общеобразоват. шк. / А. Шыныбеков, Д. Шыныбеков, Р. Жумабаев – Алматы: Атамұра, 2018.

Урок № 59 , тема урока

Решение задач в координатах

Цели обучения

(кратко)

8.1.3.20 решать простейшие задачи в координатах

Ф.И. учащегося (заполняется учеником)

 

 

Порядок действий

Ресурсы

(заполняется учителем)

Выполнение

(заполняется учеником)

Изучи

Зайди на образовательный портал Bilimland.kz и изучи видеообъяснение и конспект урока https://bilimland.kz/ru/subject/geometriya/8-klass/primenenie-koordinat-k-resheniyu-zadach?mid=517:simple .

 

 

 

 

 

 

Отметь знаком «+»  материал, с которым ознакомился(лась)

Ответь

1. Что такое метод координат?

 

 

Выполни

Зайди на образовательный портал Bilimland.kz и выполни упражнения тест урока https://bilimland.kz/ru/subject/geometriya/8-klass/primenenie-koordinat-k-resheniyu-zadach?mid=517:simple .

Результаты урока пришли учителю.

 

Рефлексия

Теперь я знаю

-алгоритм решения задач методом координат

 

Теперь я умею

-решать простейшие задачи в координатах

 

 

Поставь знаки «+» или «-»

 

Обратная связь от учителя

(словесная оценка и/или комментарий)

 

 

 

Предмет

геометрия

Ф.И.О. учителя

 

Учебник

Геометрия: Учебник для 8 кл. общеобразоват. шк. / А. Шыныбеков, Д. Шыныбеков, Р. Жумабаев – Алматы: Атамұра, 2018.

Урок № 60 , тема урока

Решение задач в координатах

Цели обучения

(кратко)

8.1.3.20 решать простейшие задачи в координатах

Ф.И. учащегося (заполняется учеником)

 

 

Порядок действий

Ресурсы

(заполняется учителем)

Выполнение

(заполняется учеником)

Изучи

Повтори алгоритм применения метода координат:

1. Выбираем на плоскости систему координат из соображений удобства выражения координат и наглядности изображения.

2. Находим координаты необходимых для нас точек.

3. Решаем задачу, используя основные свойства метода координат.

4. Переходим от аналитических соотношений к геометрическим.

5. Обратный переход, т. е. перевод с координатного языка на язык, в терминах которого сформулирована задача.

 

 

 

 

 

 

Отметь знаком «+»  материал, с которым ознакомился(лась)

Ответь

Запиши по памяти следующие формулы:

1. вычисления расстояния между двумя точками на плоскости по их координатам

2. координат середины отрезка;

3. координат точки, делящей отрезок в заданном отношении;

4. уравнение окружности;

5. общее уравнение прямой;

6. уравнение прямой, проходящей через две точки.

 

Выполни

Реши задачи:

1. На координатной плоскости построить отрезок АВ и ВД , где А(-6;0), В(-2;0),Д(4;6).Найти координаты середины данных отрезков.

2. Построить отрезки АВ и СД ,где А(0;-4),В(3;0),С(1;6), Д(4;2) и найти их длину.

3. Дана прямая 2х + 5у – 8 = 0. Докажите, что точки А(1; 1,2) и В(4;0) лежат на этой прямой. Вычислите длину отрезка АВ. Найдите координаты точки С – середины отрезка АВ. Составьте уравнение окружности с центром в точке А и радиусом АВ.

4. Найдите точки пересечения с осью х прямой, заданной уравнением 3х – 5у + 15 = 0.

5. Найдите точки пересечения с осью у прямой, заданной уравнением 7х – 2у + 14 = 0.

6. Составьте уравнение окружности с центром в точке (4; -1) и радиусом, равным 7.

7. Составьте уравнение окружности с центром в точке (-2; 7) и радиусом, равным 4.

 

Рефлексия

Теперь я знаю

-алгоритм решения задач методом координат

 

Теперь я умею

-решать простейшие задачи в координатах

 

 

Поставь знаки «+» или «-»

 

Обратная связь от учителя

(словесная оценка и/или комментарий)

 

 

 

Предмет

геометрия

Ф.И.О. учителя

 

Учебник

Геометрия: Учебник для 8 кл. общеобразоват. шк. / А. Шыныбеков, Д. Шыныбеков, Р. Жумабаев – Алматы: Атамұра, 2018.

Урок № 61 , тема урока

Решение задач в координатах. Суммативная работа №4

Цели обучения

(кратко)

8.1.3.20 решать простейшие задачи в координатах

Ф.И. учащегося (заполняется учеником)

 

 

Порядок действий

Ресурсы

(заполняется учителем)

Выполнение

(заполняется учеником)

Изучи

Повтори формулы:

1. вычисления расстояния между двумя точками на плоскости по их координатам

2. координат середины отрезка;

3. координат точки, делящей отрезок в заданном отношении;

4. уравнение окружности;

5. общее уравнение прямой;

6. уравнение прямой, проходящей через две точки

 

 

 

 

 

 

Отметь знаком «+»  материал, с которым ознакомился(лась)

Ответь

Выбери только верные высказывания:

1. Расстояние между двумя точками на плоскости по их координатам равно квадратному корню из произведения квадратов разности координат начала и конца отрезка.

2. Каждая координата середины отрезка равна полусумме соответствующих координат концов отрезка.

3. Если известны две точки плоскости , то координаты точки , которая делит отрезок  в отношении , выражаются формулами:

Формулы деления отрезка в данном отношении на плоскости

4. Уравнение прямой:

5. Общее уравнение прямой у=kх+b

 

Выполни

Суммативное оценивание за раздел «Прямоугольная система координат на плоскости»

Цели обучения: 8.1.3.14 вычислять расстояние между двумя точками на плоскости по их координатам

8.1.3.15 находить координаты середины отрезка

8.1.3.17знать уравнение окружности с центром в точке (a,b) и радиусом r.

8.1.3.18 строить окружность по заданному уравнению 8.1.3.20 решать простейшие задачи в координатах

Критерии оценивания Обучающийся 

-Применяет соотношения между координатами середины и координатами концов отрезка

- Составляет уравнение окружности

- Строит окружность по заданному уравнению

- Решает простейшие задачи в координатах

Уровень мыслительных навыков Применение. Навыки высокого порядка

Время выполнения 25 минут

 

Рефлексия

Теперь я знаю

-алгоритм решения задач методом координат

 

Теперь я умею

-решать простейшие задачи в координатах

 

 

Поставь знаки «+» или «-»

 

Обратная связь от учителя

(словесная оценка и/или комментарий)

 

 

 

 


 

Скачано с www.znanio.ru