Радиоактивтілік. Радиоактивті сәулелердің табиғаты дидактикалық матреиал1

  • docx
  • 01.05.2020
Публикация на сайте для учителей

Публикация педагогических разработок

Бесплатное участие. Свидетельство автора сразу.
Мгновенные 10 документов в портфолио.

Иконка файла материала Радиоактивтілік. Радиоактивті сәулелердің табиғаты дидактикалық матреиал1.docx

Жеке жұмыс. Қалыптастырушы бағалау

Сыныбы:                      Оқушының аты-жөні:

Мазмұны

9.4А Атом құрылысы. Атомдық құбылыстар

Оқу мақсаттары

9.6.2.1 α, β және γ - сәулеленудің табиғаты мен қасиеттерін түсіндіру

Бағалау критерийлері

Білу және түсіну

Қолдану

Талдау

Сыни ойлау

Бағалау

ü  Альфа-бөлшектер, бета-бөлшектер және гамма-сәулелердің әр түрінің табиғатын және қасиетін талдайды.

ü  Иондалатын сәуленің әр түрінің табиғатын және қасиетін анықтап, кесте жасайды.

ü  Радиоактивтік шығарылу үшін өту қабілетін бағалайды.

Тапсырма

1. Қайсы сәуле түрі қағаз парағынан тоқтайды?

 

A.       α-бөлшектер

B.       β-бөлшектер

C.      γ-сәулелер

D.      Рентген сәулелері

 

2. Қайсы сәуле түрінің ионизациялау әсері ең жоғары?

A.     -бөлшектер

B.     -бөлшектер

C.    -сәулелері

D.      Барлығы ионизациялау әсері бірдей

 

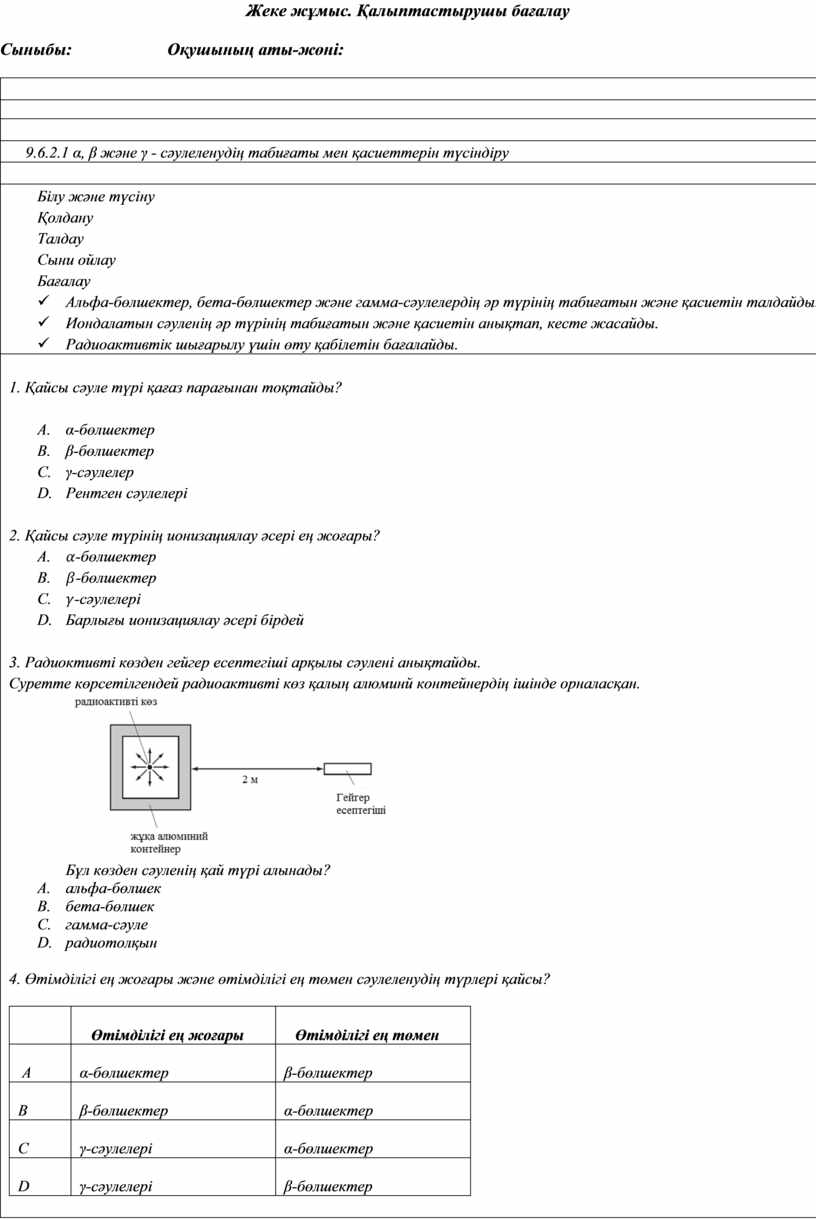
3. Радиоктивті көзден гейгер есептегіші арқылы сәулені анықтайды.

Суретте көрсетілгендей радиоактивті көз қалың алюминй контейнердің ішінде орналасқан.

Бұл көзден cәуленің қай түрі алынады?

A.       альфа-бөлшек

B.       бета-бөлшек

C.      гамма-сәуле

D.      радиотолқын

 

4. Өтімділігі ең жоғары және өтімділігі ең төмен сәулеленудің түрлері қайсы?

 

Өтімділігі ең жоғары

Өтімділігі ең төмен

 А

α-бөлшектер

β-бөлшектер

В

β-бөлшектер

α-бөлшектер

С

γ-сәулелері

α-бөлшектер

D

γ-сәулелері

β-бөлшектер

 

5. β-бөлшек дегеніміз не және радиоактивті атомның қай бөлігінен бөлініп шығады?

β-бөлшек

.... шығарылады

 А

электрон

ядродан

В

электрон

сыртқы орбитадан

С

гелий ядросы

ядродан

D

гелий ядросы

сыртқы орбитадан

 

6. Қай қатардағы сипаттамалар α-бөлшекке тән ?

 

Ионизациялау әсері

Сәулелену алюминийден өткенде тоқтайды ма?

 А

үлкен

жоқ

В

үлкен

иә

С

кіші

жоқ

D

кіші

иә

 

 

 

 

 

 

 

 

 

7. Суретте Х, Y және Z сәулеленудің үш түрінің жүру жолы көрсетілген.

Кестедегі қай қатар Х, Y және Z сәулеленулерге сәйкес келеді?

X

Y

Z

А

α-бөлшектер

β-бөлшектер

γ-сәулелері

В

β-бөлшектер

α-бөлшектер

γ-сәулелері

С

β-бөлшектер

γ-сәулелері

α-бөлшектер

D

γ-сәулелері

α-бөлшектер

β-бөлшектер

 

8. (а) Атомның ішіндегі бөлшектер туралы кестені толтырыңыз. Бірінші қатар үлгі ретінде толтырылған.

бөлшек

масса

заряд

Орналасқан жері

Протон

1 u

+1 u

ядрода

Нейтрон

Электрон

[6]

 

(b) (i) α –бөлшек қайсы бөлшектер арқылы жасалынады?

.........................................................................

 (iі)  кестеде берілген шамаларға сәйкес  сипаттаңыз.

1. α –бөлшектің массасы...................................................

2. α –бөлшектің заряды......................................................

[3]

 

9. Суретте α –бөлшек, β - бөлшек және γ -сәуле шығаратын сәуле шоғыры көрсетілген.

Сәуле шоғы өте күшті N және S полюстары көрсетілген магнит өрісіне енеді.  Төменде берілген кестені толтырыңыз.

 

сәуле

Осы жағдайдағы оның ауытқуы

Сәуленің тасымалдайтын заряды

α –бөлшек

 

 

β - бөлшек

 

 

γ - сәуле

 

 

 

[6]

 

 

 

 

 


 

Посмотрите также