Самостоятельная работа по теме:
«Системы линейных уравнений с двумя переменными»
Вариант № 1
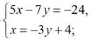
№ 1. Решите системы уравнений методом подстановки:
а)
б) 
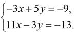
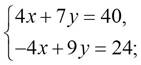
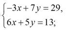
№ 2. Решите системы уравнений методом алгебраического сложения:
а)
б)
в)

______________________________________________________
Самостоятельная работа по теме:
«Системы линейных уравнений с двумя переменными»
Вариант № 2
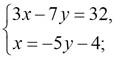
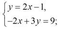
№ 1. Решите системы уравнений методом подстановки:
а)
б) 
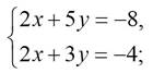
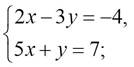
№ 2. Решите системы уравнений методом алгебраического сложения:
а)
б)
в)

Материалы на данной страницы взяты из открытых источников либо размещены пользователем в соответствии с договором-офертой сайта. Вы можете сообщить о нарушении.