Самостоятельная работа: "Системы неравенств с одной переменной"

  • docx
  • 19.08.2025
Публикация на сайте для учителей

Публикация педагогических разработок

Бесплатное участие. Свидетельство автора сразу.
Мгновенные 10 документов в портфолио.

Иконка файла материала Самостоятельная работа по алгебре на тему Системы неравенств (8 класс).docx

А8 СР Системы неравенств с одной переменной

Вариант 1

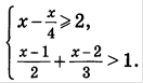
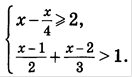
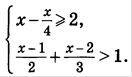
Решите систему неравенств:

1)     

 

2)     

 

 

3)     

 

4)     

А8 СР Системы неравенств с одной переменной

Вариант 2

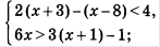
Решите систему неравенств:

1)     

 

2)     

 

 

3)     

 

4)     

 

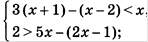
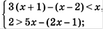
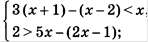
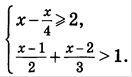
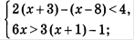
А8 СР Системы неравенств с одной переменной

Вариант 1

Решите систему неравенств:

1)     

 

2)     

 

 

3)     

 

4)     

 

 

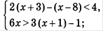
А8 СР Системы неравенств с одной переменной

Вариант 2

Решите систему неравенств:

1)     

 

2)     

 

 

3)     

 

4)     

 

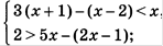
А8 СР Системы неравенств с одной переменной

Вариант 1

Решите систему неравенств:

1)     

 

2)     

 

 

3)     

 

4)     

 

 

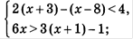
А8 СР Системы неравенств с одной переменной

Вариант 2

Решите систему неравенств:

1)     

 

2)     

 

 

3)     

 

4)     

 

А8 СР Системы неравенств с одной переменной

Вариант 1

Решите систему неравенств:

1)     

 

2)     

 

 

3)     

 

4)     

 

 

А8 СР Системы неравенств с одной переменной

Вариант 2

Решите систему неравенств:

1)     

 

2)     

 

 

3)     

 

4)