Системные основы WWW
Рассмотрим более подробно, что же такое World Wide Web (WWW). Обычно это словосочетание переводят как «Всемирная паутина». Каждый представляет себе паутину - это сеть, которую плетет паук. По смыслу слово «паутина» (Web) является синонимом слова «сеть» .
World Wide WеЬ (WWW) - это сеть документов, связанных между собой гиперссылками.
Таким образом, за использованием разных терминов закрепился разный смысл: сеть - это система взаимосвязанных компьютеров, т.е. техническая система, а паутина (Web) - это система взаимосвязанных документов, т.е. структура данных.
Разумеется, « паутина» документов существует на базе компьютерной сети. Каждый отдельный документ, имеющий собственный адрес, называется wеЬ-страницей.
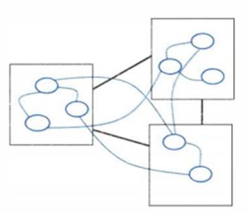
Каждая wеЬ-страница может иметь множество связей с другими страницами, которые хранятся как на том же самом компьютере, так и на других компьютерах сети. На рис . 2.5 схематически показано наложение паутины документов на компьютерную сеть. Сплошными линиями обозначены wеЬ-серверы и связи между ними, пунктирными - wеЬ-документы и их связи.

Рис. 2.5. Компьютерная сеть и « паутина» документов
WеЬ-сервер - это компьютер, на котором работает сервер-программа WWW. В его дисковой памяти хранятся wеЬ-страницы.
WеЬ-страница (документ) может содержать самую разную ин формацию: текст, рисунок, звукозапись, видео. Каждая страница хранится в отдельном файле, имя которого имеет расширение htm или html.
Материалы на данной страницы взяты из открытых источников либо размещены пользователем в соответствии с договором-офертой сайта. Вы можете сообщить о нарушении.