Базы данных. Microsoft Access
1. База данных – это…
A) Набор взаимосвязанных модулей, обеспечивающих автоматизацию многих видов деятельности.
B) Таблица, позволяющая хранить и обрабатывать данные и формулы.
C) Интегрированная совокупность данных, предназначенная для хранения и многофункционального использования
D) Прикладная программа для обработки информации пользователя
E) То же, что и СУБД
2. База данных – это…
A) Программа, предназначенная для обработки текстовой информации
B) Система управления данными, предназначенная для работы на автономном ПК или в локальной сети
C) Программные средства, осуществляющие поиск информации
D) Организованная структура, предназначенная для хранения информации
E) Информационные структуры, хранящиеся в оперативной памяти
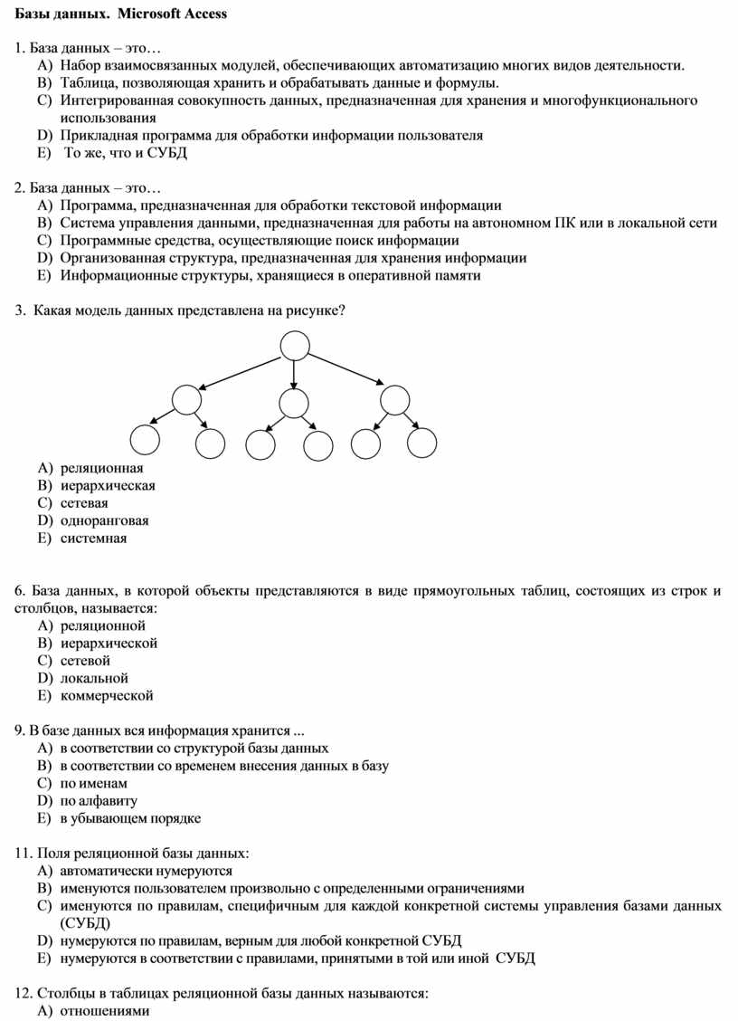
3.
Какая модель данных
представлена на рисунке?
A) реляционная
B) иерархическая
C) сетевая
D) одноранговая
E) системная
6. База данных, в которой объекты представляются в виде прямоугольных таблиц, состоящих из строк и столбцов, называется:
A) реляционной
B) иерархической
C) сетевой
D) локальной
E) коммерческой
9. В базе данных вся информация хранится ...
A) в соответствии со структурой базы данных
B) в соответствии со временем внесения данных в базу
C) по именам
D) по алфавиту
E) в убывающем порядке
11. Поля реляционной базы данных:
A) автоматически нумеруются
B) именуются пользователем произвольно с определенными ограничениями
C) именуются по правилам, специфичным для каждой конкретной системы управления базами данных (СУБД)
D) нумеруются по правилам, верным для любой конкретной СУБД
E) нумеруются в соответствии с правилами, принятыми в той или иной СУБД
12. Столбцы в таблицах реляционной базы данных называются:
A) отношениями
B) доменами
C) структурой
D) полями
E) записями
13. Над записями базы данных выполняются следующие операции:
1) редактирование; 2) проектирование; 3) сортировка; 4) эксплуатация;
5) индексирование; 6) поиск по ключу A) 1, 3, 5
B) 1, 2, 3 ,4
C) 1, 3, 4, 5, 6
D) 2, 3, 4
E) 3, 5, 6
14. Над полями базы данных можно выполнять следующие операции:
1) описание; 2) составление отчета; 3) редактирование; 4) манипулирование;
5) архивация
A) 1, 2, 3, 4
B)1, 3 ,4*
C)1, 3, 4, 5
D) 2, 3, 4
E) 3, 5
19. Программа Access – это …
A) текстовый редактор
B) электронная таблица
C) СУБД*
D) База данных
E) Операционная система
20. Microsoft Access – это …
A) Система управления информацией под контролем ОС Windows
B) Программа предназначена для обработки данных записанных в виде таблицы
C) Программа предназначенная для ввода информации в таблицу
D) Программа, осуществляющая поиск информации
E) Система управления реляционными базами данных, разработанная специально для графической среды Windows*
21. Объектом обработки MS Access является…
A) Таблица, запрос, отчёт, форма
B) Файл базы данных, имеющий произвольное имя и расширение .MDB*
C) База данных
D) Документ, содержащий данные об объектах реального мира
E) Программа, осуществляющая поиск информации
22. Объектом действий в базе данных является…
A) Поле, запись*
B) Формула, ячейка
C) Запись, блок
D) Таблица, функция
E) поле
24. Созданная база данных в Access находится в файле с расширением:
A) *.txt
B) *.mdb
C) *.sys
D) *.exe
E) *.xls
25. Что такое ключ?
A) Одно или несколько полей, однозначно определяющих записи в таблице
B) Поле, содержащее номера записей в таблице
C) Поле, значение которого вычисляется по формуле
D) Поле или несколько полей, взятых из других таблиц
E) Нет правильного ответа
26. Одно или несколько полей, однозначно идентифицирующих запись, называется:
A) маркером
B) индексом
C) отношением
D) строкой
E) ключом
28. В MS Access режим конструктора предназначен для …
A) Создания файлов базы данных
B) Просмотра, изменения выбора информации
C) Сохранения информации об основных объектах MS Access
D) Создания или изменения макета, структуры объектов*
E) Просмотра содержимого базы данных
29. В MS Access таблица – это объект, предназначенный для …
A) хранения данных*
B) вывода на экран формы из таблицы или запроса в зависимости от определенного пользователем формата
C) вызова данных из базы данных в соответствии с указанными пользователем критериями
D) выводы на экран информации из таблицы или запроса, основываясь на указанном пользователем формате
E) распечатки данных на принтере в удобной форме
30. Какую операцию не поддерживает СУБД:
A) добавить в базу одну или несколько записей
B) удалить одну или несколько записей
C) назначение пароля каждой записи*
D) найти одну или несколько записей
E) обработать записи
31. В MS Access в таблице полей, тип данных «Логический» используется для хранения …
A) выражений, в которых используются логические связки (And, Or, Not)
B) описаний, которые отображаются в строке состояния
C) Логических данных (Да/Нет)*
D) Статических данных, относительно базы данных
E) экономических расчётов
32. В MS Access в таблице полей, тип данных «Поле объекта OLE» используется для хранения …
A) адресов URL Web-объектов Интернета
B) больших объёмов текста (до 65 535 символов)
C) мультимедийных объектов*
D) экономических расчётов
E) Статических данных, относительно базы данных
33. В MS Access в таблице полей, тип данных «Числовой» используется для хранения …
A) действительных чисел*
B) календарных дат текущего времени
C) уникальных натуральных чисел с автоматическим наращиванием
D) денежных сумм
E) текущего времени
34. В MS Access в таблице полей, тип данных «Гиперссылка» используется для хранения …
A) Ссылок на определённые записи в базе данных
B) Наиболее часто используемых записей в базе
C) Мультимедийных объектов
D) Статических данных, относительно базы данных
E) Адресов URL WEB-объектов Интернета*
35. Специальное поле MS Access для хранения ссылок на другие документы - это:
A) Поле объекта ole.
B) Числовое поле.
C) Текстовое поле.
D) Гиперссылка.*
E) Счетчик.
36. В MS Access в таблице полей, тип данных «Денежный» используется для хранения …
A) Денежного или финансового формата
B) Действительных чисел
C) Экономических расчётов
D) Денежных сумм*
E) Статических данных, относительно базы данных
37. В MS Access в таблице полей, тип данных «Дата/Время» используется для хранения …
A) действительных чисел
B) уникальных натуральных чисел с автоматическим наращиванием
C) календарных дат и текущего времени*
D) денежных сумм
E) ссылок на определённые записи в базе данных
38. Из следующего списка укажите тип данных, который не является типом данных Microsoft Access:
A) Текстовый.
B) Вещественный*
C) Денежный.
D) Числовой.
E) Логический.
39. Сколько в предъявленной базе данных текстовых полей?
|
|
Компьютер |
Оперативная память |
Винчестер |
|
1 |
Pentium |
16 |
2 Гб |
|
2 |
386DX |
4 |
300Мб |
|
3 |
486DX |
8 |
800Мб |
|
4 |
Pentium II |
32 |
4 Гб |
A) 1
B) 2*
C) 3
D) 0
E) 4
40. В реляционных базах данных могут быть использованы следующие типы полей: 1) аналоговый тип; 2) числовой тип; 3) символьный тип; 4) тип даты
A) 1, 2, 3, 4
B) 1, 3, 4
C) 2, 3, 4*
D) 2, 3
E) 3
41. Укажите специальный тип данных базы данных Microsoft Access, предназначенный для порядковой нумерации записей:
А) Поле объекта OLE.
B) Мастер подстановок.
С) Счетчик. *
D) Дата/время.
Е) Гиперссылка.
42. Что такое целостность данных?
A) Защита данных
B) Введение пароля для БД
C) Уникальность атрибутов
D) Правильность данных в любой момент времени*
E) Уникальность записей в таблице
43. Наиболее распространенными в практике являются базы данных следующего типа:
A) Реляционные*
B) Иерархические
C) Сетевые
D) Локальные
E) Распределенные
44. Вид отношения, подразумевающий, что нескольким записям одной таблицы базы данных соответствует несколько записей другой таблицы, называется отношением…
A) «один – к – одному»
B) «многие – к – одному»
C) «один – ко – многим»
D) «многие – ко – многим»*
E) «два – ко – многим»
45. Когда изменяются или вводятся новые записи, MS Access автоматически переходит в режим …
A) редактирования*
B) поиска и замены
C) ввода данных
D) фильтрации
E) сортировки
46. Для просмотра и изменения свойств базы данных используется пункт:
A) Сервис – Параметры
B) Файл – Свойства базы данных*
C) Сервис – Настройки
D) Вид – Свойства
E) Правка – Настройки
47. В MS Access двойной щелчок по элементу управления …
A) Изменяет его размер и внешний вид
B) Вызывает режим редактирования *
C) Вызывает окно свойства для данного элемента управления
D) Выделяет его
E) Удаляет его
48. В MS Access объекты, которые размещаются на форме или отчёте, называются …
A) Элементами управления*
B) Разделами формы или отчёта
C) Предопределёнными формами
D) Полями формы или отчёта
E) Записями формы или отчета
49. В MS Access чтобы выделить более одного элемента управления …
A) При нажатой правой кнопке мыши растянуть рамку на предназначенные для выделения элементы управления
B) Удерживать нажатой клавишу Ctrl и щёлкать мышью по элементам управления
C) Удерживать нажатой клавишу Shift и щёлкать мышью по элементам управления*
D) Выполнить команду Формат – Привязать к сетке
E) Удерживать нажатой клавишу Alt и щёлкать мышью по элементам управления
50. В MS Access в окне предварительного просмотра отчёта, щелчок левой кнопкой мыши:
A) Увеличивает или уменьшает изображение*
B) Показывает следующую страницу (если она имеется)
C) Вызывает окно «Масштаб»
D) Вызывает контекстное меню
E) Удаляет содержимое
51. В MS Access в диалоговом окне «Новая форма» опция «Автоформа: ленточная» …
A) Создаёт форму, базируясь на свободной таблице Excel
B) Выводит на экран одну запись в вертикальном формате (каждый заголовок поля начинается на новой строке)
C) Выводит на экран стандартный шаблон
D) Создаёт форму с графиком или диаграммой данных
E) Выводит сразу несколько записей в формате строк и столбцов *
52. В MS Access в окне Свойства поля на вкладке Общие свойство «Маска ввода» определяет …
A) ограничение, используемое для проверки правильности ввода данных
B) форму, в которой вводятся данные в поле *
C) обязательность заполнения данного поля при наполнении базы
D) текстовое сообщение, которое выдаётся автоматически при попытке ввода в поле ошибочных данных
E) проверку орфографии
53. Маска ввода в таблицах Access определяет:
A) Тип данных.
B) Предельную длину данных.
C) Форму, в которой вводятся данные в поле (средство автоматического ввода данных).*
D) Способ форматирования данных.
E) Заголовок столбца таблицы.
54. В MS Access в режиме ввода данных …
A) все существующие в таблице записи удаляются, и ожидается ввод новой информации
B) все существующие в таблице записи удаляются, и вызывается таблица, готовая к приёму новой информации
C) все существующие в таблице записи скрываются, и ожидается ввод новой информации
D) все существующие в таблице записи скрываются, и вызывается пустая таблица, готовая к приёму новой информации*
E) все существующие в таблице записи сохраняются, новая информация добавляется к старой
55. В MS Access для изменения внешнего вида ячеек таблицы необходимо …
A) Щёлкнуть правой кнопкой мышь по ячейке и из появившегося меню выбрать команду Форматировать ячейку
B) Выполнить команду Вид – Конструктор
C) Воспользоваться любым из предложенных способов
D) Выполнить команду Формат – Ячейки*
E) Ни один из способов не подходит
56. В MS Access для того, чтобы открыть существующий отчёт необходимо …
A) Сделать двойной щелчок по её имени или выделить её имя и щёлкнуть по кнопке «Запуск»
B) Сделать двойной щелчок по её имени или выделить её имя и щёлкнуть по кнопке «Открыть»
C) Сделать двойной щелчок по её имени или выделить её имя и щёлкнуть по кнопке «Просмотр»*
D) Сделать двойной щелчок по её имени или выделить её имя и щёлкнуть по кнопке «Конструктор»
E) Сделать двойной щелчок по её имени или выделить её имя и щёлкнуть по кнопке «Формат»
57. В MS Access чтобы изменить ширину столбца таблицы, необходимо …
A) Выделить хотя бы одну ячейку в столбце, затем выполнить команду Формат-Столбец-Ширина и указать значение ширины
B) Установить указатель мыши на правую границу в заголовке столбца и переместить границу методом
«Drag-and-Drop»*
C) Установить указатель мыши на правую границу и переместить границу методом «Drag-and-Drop»
D) Выделить хотя бы одну ячейку в столбце, затем выполнить команду Формат – Автоформат
E) Выделить хотя бы одну ячейку в столбце, затем выполнить команду Формат – Привязать к сетке
58. В MS Access макрос – это объект, предназначенный для …
A) Вывода на экран и печать формы из таблицы или запроса в зависимости от определённого пользователем формата
B) Осуществления интерфейса между клиентом, сервером и базой данных, размещённой на сервере
C) Вывода на экран информации из таблицы или запроса, основываясь на указанном пользователем формате
D) Вывода на экран информации о наличие вирусов
E) Автоматизации наиболее частых выполняемых действий по работе с базой данных на основе указанных пользователем команд и событий*
59. В MS Access в диалоговом окне «Создают запрос» пункт «Простой запрос»:
A) Обнаруживает в таблице записи, у которых нет соответствующей записи в связанной таблице
B) Вызывает чистый бланк запроса к выбранной таблице
C) Обнаруживает повторяющиеся записи в таблице
D) Создаёт запрос к полям, которые выбирает пользователь*
E) Суммирует данные в табличной форме
60. В MS Access в диалоговом окне «Создают запрос» пункт «Перекрёстный запрос»:
A) Создаёт запрос к полям, которые выбирает пользователь
B) Обнаруживает в таблице записи, у которых нет соответствующей записи в связанной таблице
C) Вызывает чистый бланк запроса к выбранной таблице
D) Обнаруживает повторяющиеся записи в таблице
E) Суммирует данные в табличной форме*
61. В MS Access в диалоговом окне «Новый отчёт» опция «Конструктор»:
A) Создаёт отчёт с графиком или диаграммой данных
B) Помогает создавать отчёт, задавая вопросы и используя заранее разработанные шаблоны
C) Выводит по одной записи в вертикальном формате
D) Позволяет создавать отчёт с «нуля»*
E) Выводит сразу несколько записей в формате таблицы
62. В MS Access в диалоговом окне «Новый отчёт» опция «Мастер отчётов»:
A) Позволяет создавать отчёт с «нуля»
B) Выводит по одной записи в вертикальном формате
C) Помогает создавать отчёт, задавая вопросы и используя заранее разработанные шаблоны *
D) Выводит сразу несколько записей в формате таблицы
E) Создаёт отчёт с графиком или диаграммой данных
63. В MS Access отчет – это объект, предназначенный для …
A) осуществления интерфейса между клиентом, сервером и базой данных, размещенной на сервере
B) автоматизации наиболее часто выполняемых действий по работе с базой данных на основе указанных пользователем команд и событий
C) вывода на экран и печать формы из таблицы или запроса в зависимости от определенного пользователем формата*
D) вывода на экран информации из таблицы или запроса, основываясь на указанном пользователем формате
E) обнаруживает в таблице записи, у которых нет соответствующей записи в связанной таблице
64. Отчеты используются для:
A) выборки данных из одной или нескольких таблиц
B) модификации макета объекта
C) формирования документа, предназначенного для печати*
D) обеспечения связи между таблицами
E) ввода и просмотра данных в удобном виде
65. MS Access. Что является отчетом?
A) Объект, предназначенный для сохранения документа.
B) Объект, предназначенный для удаления документа.
C) Объект, предназначенный для презентаций.
D) Объект, предназначенный для печати документа*
E) Объект, предназначенный для создания документа
66. В MS Access отчёт внутри другого отчёта называется …
A) Контекстным
B) Подчинённым*
C) Групповым
D) Зависимым
E) Вложенным
67. MS Access. В режиме Отчет
A) выбирают тип поля
B) выводят на печать*
C) производят фильтрацию данных
D) набирают данные
E) сортируют данные
68. В MS Access в таблице поле, колонка с названием «Тип данных» определяет
A) Имена полей используемых в качестве заголовков столбцов таблицы
B) Какую информацию можно хранить в данном поле*
C) Дополнительную информацию о поле
D) Предельную длину данных, которые могут размещаться в данном поле
E) Выводит по одной записи в вертикальном формате
69. В MS Access в окне Свойства поля на вкладке Общие свойство «Размер поля» определяет …
A) заголовок столбца таблицы для данного поля
B) способ форматирования данных в ячейках, принадлежащих полю
C) значение которое вводится в ячейки автоматически
D) дополнительную информацию о поле
E) предельную длину данных, которые могут размещаться в данном поле*
70. В MS Access в окне Свойства поля на вкладке Общие свойство «Формат поля» определяет …
A) предельную длину данных, которые могут размещаться в данном поле
B) заголовок столбца таблицы для данного поля
C) значение которое вводится в ячейки автоматически
D) способ форматирования данных в ячейках, принадлежащих полю*
E) дополнительную информацию о поле
71. В MS Access в окне Свойства поля на вкладке Общие свойство «Условие на значение» определяет …
A) способ форматирования данных в ячейках, принадлежащих полю
B) свойство, определяющее обязательность заполнения данного поля при наполнении базы
C) свойство, разрешающее ввод пустых строковых данных
D) способ форматирования данных в ячейках, принадлежащих полю
E) ограничение, используемое для проверки правильности ввода данных*
72. Укажите неверное утверждение: В MS Access для перемещения по таблице …
A) можно просто щелкнуть по ячейке мышью
B) служат кнопки переходов в строке состояния
C) можно воспользоваться клавишами Shift + Enter*
D) можно воспользоваться клавишами, Shift + Tab
E) можно воспользоваться клавишей Tab
73. В MS Access чтобы изменить ширину строки таблицы необходимо
A) Установить указатель мыши на нижнюю границу в заголовке строки и переместить границу вверх или вниз*
B) Установить указатель мыши на нижнюю границу и переместить вверх или вниз
C) Выделить хотя бы одну ячейку в столбце, затем выполнить команду Формат – Строка – Ширина и указать значение ширины
D) Выделить хотя бы одну ячейку в столбце, затем выполнить команду Формат – Автоформат
E) Выделить хотя бы одну ячейку в строке, затем выполнить команду Формат – Привязать к сетке
74. Укажите неверное утверждение: В MS Access для того чтобы удалить целую запись таблицы необходимо выделить её и
A) щелкнуть по кнопке Вырезать на панели Форматирония
B) воспользоваться клавишей Delete
C) выполнить команду Правка – Удалить
D) воспользоваться клавишей BackSpase*
E) в контекстном вбрать команду Удалить запись
75. В MS Access форма – это объект, предназначенный для…
A) автоматизации наиболее часто выполняемых действий по работе с базой данных на основе указанных пользователем команд и событий
B) вызов данных из базы данных в соответствии с указанными пользователем критериями
C) ввода данных в таблицу и вывода на экран информации из таблицы или запроса, основываясь на указанном пользователем формате*
D) осуществления интерфейса между клиентом, сервером и базой данных, размещенной на сервере
E) Вывода на экран информации о наличие вирусов
76. В MS Access, после того как запись выделена, комбинация клавиш Ctrl + C
A) вставляет запись из буфера обмена
B) копирует запись в буфер обмена*
C) перемещает запись в буфер обмена
D) удаляет запись
E) рядом помещает новую запись
77. Укажите неверное утверждение
A) Для удаления удаленной записи необходимо выполнить команду Правка – Отменить удаление*
B) Для выхода из режима ввода данных необходимо выполнить команду Запись – Удалить фильтр
C) Для активизации режима ввода данных необходимо выполнить команду Запись – Ввод данных
D) Для поиска записей в базе необходимо выполнить команду Правка – Найти или Ctrl + F произвести установки и нажать Найти
E) Для распечатки содержимого окна режима просмотра необходимо выполнить команду Файл – Печать
78. В MS Access в диалоговом окне «Новая форма» опция «Мастер форм»
A) создает форму, базируясь на сводной таблице Excel
B) выводит сразу несколько записей в формате строк и столбцов
C) позволяет вставить в таблицу новую запись
D) Помогает создавать форму, задавая вопросы и используя предопределенные шаблоны форм*
E) выводит на экран одну запись в вертикальном формате (каждый заголовок поля начинается на новой строке)
79. В MS Access для удаления выделенных элементов необходимо
A) нажать клавишу BackSpace
B) нажать клавишу Esc
C) одновременно нажать клавиши Esc + BackSpace
D) нажать клавишу Delete*
E) одновременно нажать клавиши Ctrl + BackSpace
80. В MS Access «Запросы на выборку»…
A) запросы к серверу без данных, написанные на языке запросов SQL
B) критерии отбора может задавать сам пользователь, введя нужный параметр при вызове запроса
C) извлекают данные из таблиц, базируясь на критериях, указанных в запросе*
D) производят математические вычисления по заданному полю и выдают результаты
E) вызывает чистый бланк запроса к выбранной таблице
81. В MS Access в диалоговом окне «Создать запрос» пункт «Конструктор»:
A) вызывает чистый бланк запроса к выбранной таблице*
B) создает запрос к полям, которые выбирает сам пользователь
C) обнаруживает в таблице записи, у которых нет соответствующей записи в связанной таблице
D) суммирует данные в табличной форме
E) извлекают данные из таблиц, базируясь на критериях, указанных в запросе
82. В MS Access «Запросы на изменение»…
A) извлекают данные из таблиц, базируясь на критериях, указанных в запросе
B) позволяют создавать результирующие таблицы на основе результатов расчетов, полученных при анализе группы таблиц
C) производят математические вычисления по заданному полю и выдают результаты
D) вызывают чистый бланк запроса к выбранной таблице
E) позволяют автоматизировать заполнение полей таблицы*
83. В MS Access «Итоговые запросы»…
A) критерии отбора может задавать сам пользователь, введя нужный параметр при вызове запроса
B) позволяют автоматизировать заполнение полей таблицы
C) производят математические вычисления по заданному полю и выдают результаты*
D) запросы к серверу без данных, написанные на языке запросов SQL
E) вызывают чистый бланк запроса к выбранной таблице
84. Запрос в MS Access можно сформировать с помощью:
A) проектора
B) схемы данных
C) диспетчера
D) конструктора*
E) менеджера
85. В MS Access строка «условие отбора» бланка QBE позволяет
A) включать в результаты запроса только те записи, которые удовлетворяют определенным условиям*
B) выполнять суммарные вычисления
C) указывать порядок вывода на экран записей (по возрастанию, по убыванию) для получения более точных результатов
D) разрешать или запрещать вывод данного столбца на экран
E) позволяет автоматизировать заполнение полей таблицы
86. В MS Access строка «Поле»:
A) указывается порядок вывода на экран записей (по возрастанию, по убыванию)
B) указывает имена столбцов (полей) создаваемого запроса*
C) указывает имя таблицы, которая содержит выбранное поле
D) вызывает список, позволяющий создавать новые объекты без данных: формы, запросы, отчеты
E) позволяет выполнять суммарные вычисления
87. Предположим, что некоторая база данных содержит поля ФАМИЛИЯ, ГОД РОЖДЕНИЯ, ДОХОД. Какая из перечисленных ниже записей этой БД будет найдена при поиске по условию ГОД РОЖДЕНИЯ>1958 OR ДОХОД <3500?
A) Петров, 1956, 3600
B)Иванов, 1956, 2400*
C)Сидоров, 1957, 5300
D) Козлов, 1952, 4200
E) Егоров, 1954, 7300
88. Предположим, что некоторая база данных описывается следующим перечнем записей: 1) Иванов, 1956, 2400; 2) Сидоров, 1957, 5300; 3) Петров, 1956, 3600; 4) Козлов, 1952, 4200. Какая из записей этой БД поменяется местами при сортировке по возрастанию, произведенному по первому полю?
A) 3 и 4
B) 1 и 3
C) 1 и 4
D) 2 и 4*
E) 2 и 3
89. Сортировка по алфавиту равносильна:
A) сортировке по убыванию
B) сортировке по строкам
C) сортировке по записям
D) сортировке по возрастанию*
E) сортировке по диагонали
90. MS Access. Какая из приведенных последовательностей отсортирована в порядке возрастания?
A) Астра, Роза, Ландыш, Гвоздика...
B) Яма, Тина, Овраг, Камень, Берег...
С) 10.11.96, 02.12.97, 02.11.98, 14.02.99*
D) 12, 144, 245, 53,94 Е) $10, $25, $5, $33...
91. Пункт Главного меню для переключения режимов Access:
A) Вид.*
B) Формат.
C) Правка.
D) Файл.
E) Сервис.
92. База данных содержит сведения о студентах: «Фамилия», «Год рождения», «Курс», «Оценка по информатике». Запрос для вывода списка студентов второго курса 1980 г. рождения, имеющих оценки по информатике «4» или «5», выглядит так:
A) Оценка>=4 и Год рождения = 1980 или Курс=2
B) Курс>1 и Год рождения = 1980 и Оценка=5 и Оценка=4
C) Курс=1 или Оценка>=4 или Год рождения = 1980
D) Оценка>=4 и Год рождения = 1980 и Курс=2*
E) Курс=1 и Оценка>=4 или Год рождения = 1980
93. В какой последовательности расположатся записи в базе данных после сортировки по убыванию в поле
Процессор?

A) 1,2,3,4
B) 4,1,2,3
C) 3,2,1,4*
D) 2,3,4,1
E) 4,3,2,1
94. Какие записи в базе данных будут найдены после ввода запроса с условием поиска содержит 5 в поле
Винчестер?

A) 2,4*
B) 1,3
C) 1,4
D) 1,2
E) 3,2
95. Какие записи в базе данных будут найдены после ввода запроса с условием поиска >16 в поле Память?

A) 1, 2, 3
B) 2, 3*
C) 1, 4
D) 1
E) 3
96. Фильтрация данных – это:
A) отбор данных по заданному критерию*
B) упорядочение данных
C) редактирование данных
D) применение стандартных функций
E) форматирование данных
97. Фильтры служат для:
A) мгновенного нахождения нужного документа
B) сужения области поиска*
C) проверки знания пользователя об объекте поиска
D) выбора группы документов по определенным условиям
E) выбора документа по ключевому слову
98. При фильтрации данных для того чтобы вывести на экран всех сотрудников, фамилии которых начинаются на Н, необходимо ввести шаблон:
A) Н* (*)
B) *Н
C) Н
D) ?Н
E) Н?
99. Доступ к данным производится с помощью:
A) языка запросов SQL*
B) алгоритмического языка Pascal
C) алгоритмического языка Basic
D) алгоритмического языка Delphi
E) языка QBasic
100. Языки работы с базами данных обеспечивают:
A) описание структуры файлов, записей файлов и полей данных
B) получение ответа на санкционированный запрос пользователя*
C) выполнение общих процедур по поддержанию БД в актуальном состоянии
D) создание модульных систем решения задач пользователя
E) вывод результатов работы в виде отчетов
101. MS Access. Для перемещения в таблице от поля к полю используется...
A) Клавиша Tab*
B) Клавиша Enter
C) Shift+Tab
D) Клавиша End
E) Клавиша Esc
102. Табличная автоформа:
А) Она удобна для ввода и редактирования данных.
*В) По внешнему виду не отличается от таблицы, на основе которой она создана.
C) Отображает все поля одной записи, она удобна для ввода и редактирования данных.
D) Ее удобно использовать для оформления вывода данных.
E) Отображает одновременно группу записей, ее удобно использовать для оформления вывода данных.
103. Режим работы окна объекта «Таблица» Microsoft Access,в котором создается или изменяется ее макет:
A) Предварительный просмотр.
*B) Конструктор.
C) Структура.
D) Схема данных.
E) Форма.
104. К системам управления базами данных относятся:
A) Access
B) AmiPro
C) FoxPro
D) Oracle
E) dBase, Paradox, Access, FoxPro, Oracle*
105. Система управления базами данных – это программное средство для:
A) обеспечения работы с таблицами чисел
B) управления большими информационными массивами
C) хранения файлов
D) создания и редактирования текстов
E) работы с электронными таблицами
106. СУБД включает в себя:
A) 3 основных типа функции: определение (задание структуры и описание) данных, набор и управление данными;
B)2 основных типа функции: определение (задание структуры и описание) данных и обработку данных;
C)3 основных типа функции: определение (задание структуры и описание) данных, обработку данных и управление данными;*
D) 2 основных типа функции: обработку данных и управление данными;
E) 2 основных типа функции: определение (задание структуры и описание) данных и управление данными.
107. Перечислить основные объекты базы данных Access:
A) В базе данных Access основными объектами являются таблицы, отчеты, макросы и модули.
B) В базе данных Access основными объектами являются таблицы, запросы, формы, отчеты, макросы и модули*.
C) В базе данных Access основными объектами являются таблицы, запросы, формы, отчеты.
D) В базе данных Access основными объектами являются таблицы, запросы, макросы и модули.
E) В базе данных Access основными объектами являются таблицы, запросы, макросы и формы.
|
1 |
2 |
3 |
4 |
5 |
6 |
7 |
8 |
9 |
10 |
11 |
12 |
13 |
14 |
15 |
|
C |
D |
B |
C |
B |
A |
E |
D |
A |
D |
B |
D |
A |
B |
A |
|
16 |
17 |
18 |
19 |
20 |
21 |
22 |
23 |
24 |
25 |
26 |
27 |
28 |
29 |
30 |
|
D |
A |
C |
C |
E |
B |
A |
C |
B |
A |
E |
B |
D |
A |
C |
|
31 |
32 |
33 |
34 |
35 |
36 |
37 |
38 |
39 |
40 |
41 |
42 |
43 |
44 |
45 |
|
C |
C |
A |
E |
D |
D |
C |
B |
B |
C |
C |
D |
A |
D |
A |
|
46 |
47 |
48 |
49 |
50 |
51 |
52 |
53 |
54 |
55 |
56 |
57 |
58 |
59 |
60 |
|
B |
B |
A |
C |
A |
E |
B |
C |
D |
D |
C |
B |
E |
D |
E |
|
61 |
62 |
63 |
64 |
65 |
66 |
67 |
68 |
69 |
70 |
71 |
72 |
73 |
74 |
75 |
|
D |
C |
C |
C |
D |
B |
B |
B |
E |
D |
E |
C |
A |
D |
C |
|
76 |
77 |
78 |
79 |
80 |
81 |
82 |
83 |
84 |
85 |
86 |
87 |
88 |
89 |
90 |
|
B |
A |
D |
D |
C |
A |
E |
C |
D |
A |
B |
B |
D |
D |
C |
|
91 |
92 |
93 |
94 |
95 |
96 |
97 |
98 |
99 |
100 |
101 |
102 |
103 |
104 |
105 |
|
A |
D |
C |
A |
B |
A |
B |
A |
A |
B |
A |
B |
B |
E |
B |
|
106 |
107 |
|
|
|
|
|
|
|
|
|
|
|
|
|
|
С |
В |
|
|
|
|
|
|
|
|
|
|
|
|
|
Материалы на данной страницы взяты из открытых источников либо размещены пользователем в соответствии с договором-офертой сайта. Вы можете сообщить о нарушении.