Методические рекомендации к уроку №5
темы/подраздела «Рациональное неравенство»
раздела «Неравенства»
Тема урока: Решение дробно-рациональных неравенств
Цель обучения:
8.2.2.9 решать рациональные неравенства
Данный урок направлен на дальнейшее развитие у учащихся навыка решения дробно-рациональных неравенств через нахождение области допустимых значений переменной в выражении или нахождение области определения функции.
Методические рекомендации по организации урока. Рекомендации по формативному оцениванию
В начале урока проводится обсуждение метода решения дробно-рациональных неравенств через презентацию постеров с правилами решения неравенств, которые были созданы учащимися на прошлом уроке с целью систематизации и обобщения проделанной работы. Для формативного оценивания используется стратегия «ДОПОЛНИТЬ, ИЗМЕНИТЬ или РАЗВИТЬ».
Далее планом урока предусмотрено проведение беседы с учащимися для вовлечения их в тему урока. Рекомендуется использование маленьких маркерных досок или ламинированных листов А4 для записи ответов учащимися, это поможет установить потребности учащихся в более детальном рассмотрении того или иного вопроса.
Задания для самостоятельной работы имеют возрастающий уровень сложности (от уровня А до уровня С). Более сильные учащиеся могут начать работу с карточки 3, но также можно ожидать, что некоторые учащиеся не смогут самостоятельно выполнить задания на карточках 7 и 8. В таком случае можно назначить консультантов из числа учеников, выполнивших эти задания.
При подведении итога работы в течении последних пяти уроков, учащиеся в парах рассказывают друг другу все, что они узнали о квадратичной функции. Более целесообразно разделить пары так, чтобы сначала говорили более подготовленные учащиеся, затем остальные.
Ответы и решения
Индивидуальная работа
Найдите область определения функции, записанной на карточке.
![]()
Решение.
![]()
![]()
![]()
![]()
Ответ: ![]()
![]()
Решение.
![]()
![]()
![]()
Ответ: ![]()
![]()
Решение.
![]()
![]()
![]()
Ответ: ![]()

Решение.
![]()
![]()

Ответ: ![]()
![]()
Решение.
![]()
![]()
Ответ: ![]()

Решение:
![]()

![]()
Ответ: ![]()

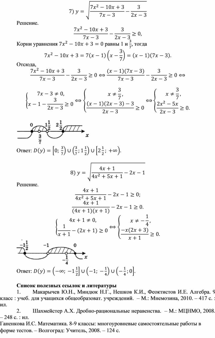
Решение.
![]()
Корни уравнения
равны 1 и
, тогда
![]()
Отсюда,
![]()


Ответ: ![]()

Решение.
![]()
![]()


Ответ: ![]()
Список полезных ссылок и литературы
1. Макарычев Ю.Н., Миндюк Н.Г., Нешков К.И., Феоктистов И.Е. Алгебра. 9 класс : учеб. для учащихся общеобразоват. учреждений. – М.: Мнемозина, 2010. – 417 с. : ил.
2. Шахмейстер А.Х. Дробно-рациональные неравенства. – М.: МЦНМО, 2008. – 248 с. : ил.
3. Ганенкова И.С. Математика. 8-9 классы: многоуровневые самостоятельные работы в форме тестов. – Волгоград: Учитель, 2008. – 124 с.
4.
Материалы на данной страницы взяты из открытых источников либо размещены пользователем в соответствии с договором-офертой сайта. Вы можете сообщить о нарушении.