Урок_8_Приложение 1_Образцы решений

  • docx
  • 30.04.2020
Публикация на сайте для учителей

Публикация педагогических разработок

Бесплатное участие. Свидетельство автора сразу.
Мгновенные 10 документов в портфолио.

Иконка файла материала Урок_8_Приложение 1_Образцы решений.docx

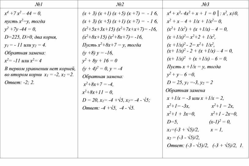
№1

№2

№3

х4 +7 х2 – 44 = 0,    

пусть х2=у, тогда

у2 +7у -44 = 0,

D=225, D>0, два корня,

у1 = - 11 или у2 = 4.

Обратная замена:

х2= -11 или х2= 4

В первом уравнении нет корней, во втором корни  х1 = -2, х2 =2.

Ответ: -2; 2.

(х + 3) (х +1) (х +5) (х +7) =  - 1 6,  

(х + 3) (х +5) (х +1) (х +7) =  - 1 6,

2+5х+3х+15) (х2+7х+х+7)= -16,

2+8х+15) (х2+8х+7)= -16,

Пусть х2+8х+7 = у, тогда

(у +8) у = -16,

у2 + 8у + 16 = 0

(у + 4)2 = 0, у = -4

Обратная замена:

 х2+8х+7 = -4,

х2+8х+11 = 0,

D = 20, х1= -4 +√5, х2= -4 - √5;

Ответ: -4 +√5,  -4 - √5.

х4 + х3- 4х2 + х + 1 = 0 │: х2, х≠0,

х2 + х – 4 + 1/х + 1/х2= 0,

2+ 1/х2) + (х +1/х) – 4 = 0,

(х +1/х)2= х2+2 + 1/х2,

(х +1/х)2 - 2= х2+ 1/х2,
(х+ 1/х)2 - 2 + (х +1/х) – 4 = 0,

(х+ 1/х)2  + (х +1/х) – 6 = 0,

Пусть х +1/х = у, тогда

у2 + у – 6 =0,

D = 25, у1 =-3, у2 = 2

 Обратная замена 

х +1/х = -3 или х +1/х = 2,

х2+1= -3х,                 х2+1 = 2х,

х2+1 + 3х=0,            х2+1 - 2х=0,

D=5,                        (х-1)2 = 0,

х1=(-3 + √5)/2,         х = 1,

х2 = (-3 - √5)/2,

Ответ: (-3 - √5)/2,   (-3 + √5)/2,  1.