Задачи на построение ТИ

  • doc
  • 01.05.2020
Публикация на сайте для учителей

Публикация педагогических разработок

Бесплатное участие. Свидетельство автора сразу.
Мгновенные 10 документов в портфолио.

Иконка файла материала Задачи на построение ТИ.doc

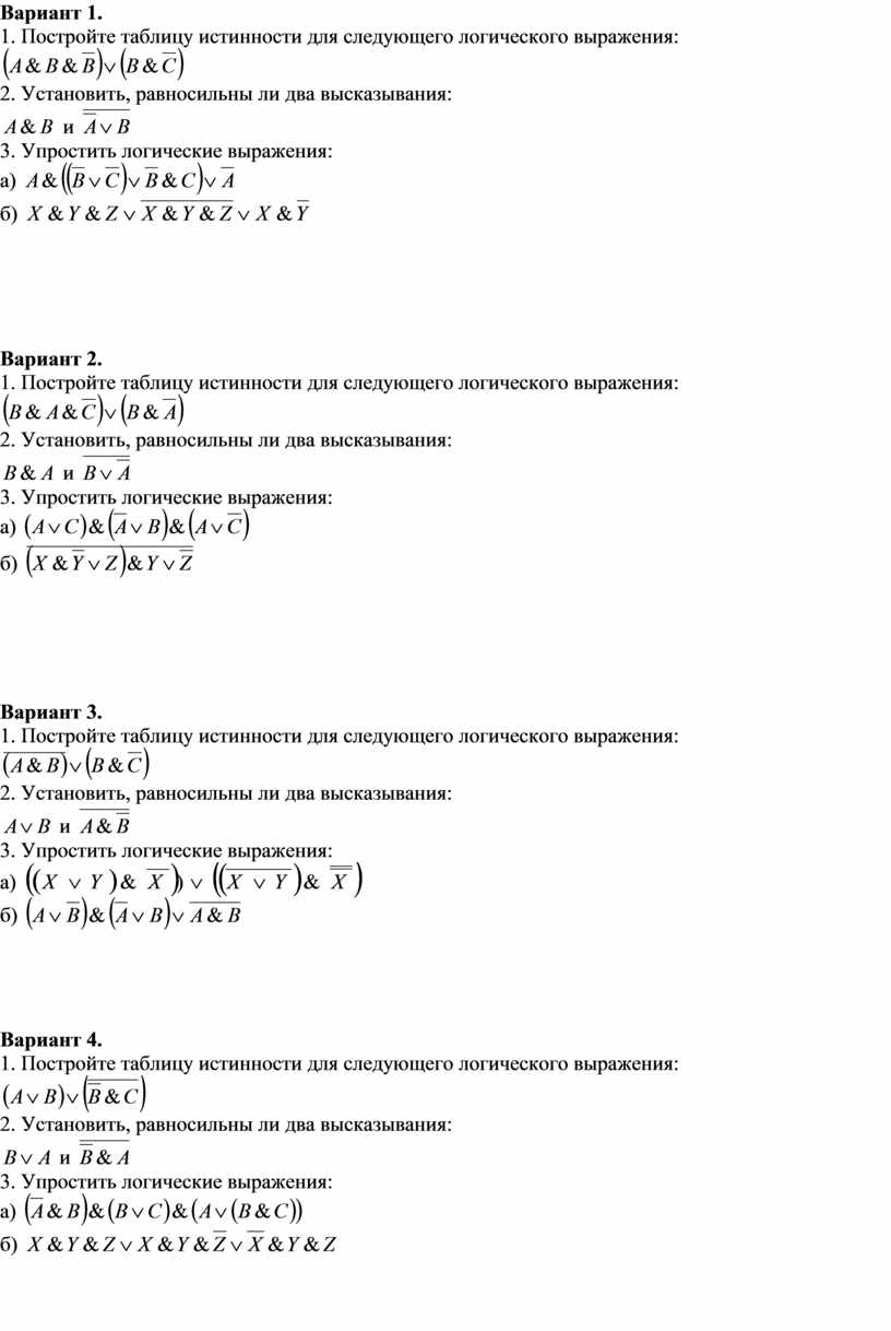
Вариант 1.

1. Постройте таблицу истинности для следующего логического выражения:

2. Установить, равносильны ли два высказывания:

 и

3. Упростить логические выражения:

а)

б)

 

 

 

 

 

Вариант 2.

1. Постройте таблицу истинности для следующего логического выражения:

2. Установить, равносильны ли два высказывания:

 и

3. Упростить логические выражения:

а)

б)

 

 

 

 

 

Вариант 3.

1. Постройте таблицу истинности для следующего логического выражения:

2. Установить, равносильны ли два высказывания:

 и

3. Упростить логические выражения:

а)

б)

 

 

 

 

Вариант 4.

1. Постройте таблицу истинности для следующего логического выражения:

2. Установить, равносильны ли два высказывания:

 и

3. Упростить логические выражения:

а)

б)

 

 

 

Вариант 5.

1. Постройте таблицу истинности для следующего логического выражения:

2. Установить, равносильны ли два высказывания:

 и

3. Упростить логические выражения:

а)

б)

 

 

 

 

 

Вариант 6.

1. Постройте таблицу истинности для следующего логического выражения:

2. Установить, равносильны ли два высказывания:

 и

3. Упростить логические выражения:

а)

б)

 

 

 

 

 

Вариант 7.

1. Постройте таблицу истинности для следующего логического выражения:

2. Установить, равносильны ли два высказывания:

 и

3. Упростить логические выражения:

а)

б)

 

 

 

 

 

Вариант 8.

1. Постройте таблицу истинности для следующего логического выражения:

2. Установить, равносильны ли два высказывания:

 и

3. Упростить логические выражения:

а)

б)

 

 

Вариант 9.

1. Постройте таблицу истинности для следующего логического выражения:

2. Установить, равносильны ли два высказывания:

 и

3. Упростить логические выражения:

а)

б)

 

 

 

 

 

Вариант 10.

1. Постройте таблицу истинности для следующего логического выражения:

2. Установить, равносильны ли два высказывания:

 и

3. Упростить логические выражения:

а)

б)


Посмотрите также