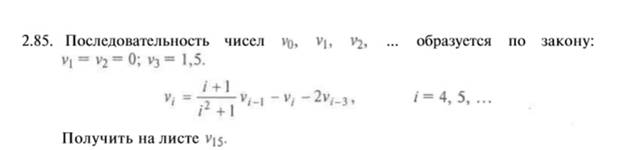
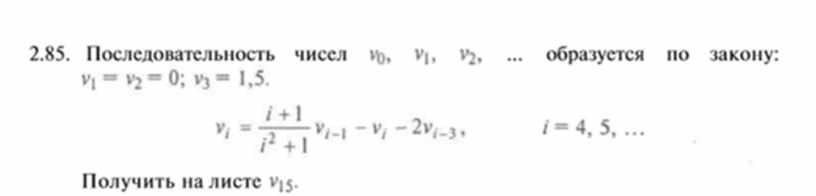
задание и упражнение по информатике (электронная таблица Excel)

  • docx
  • 31.10.2021
Публикация на сайте для учителей

Публикация педагогических разработок

Бесплатное участие. Свидетельство автора сразу.
Мгновенные 10 документов в портфолио.

Иконка файла материала задание323.docx


 

Посмотрите также