Цели урока:
1. Сформировать у учащихся понятие арифметической прогрессии и научить применять формулы к решению практических задач.
2. Закрепление понятий прогрессия, член прогрессии, разность, прогрессии, сумма.
3. Отработать умения и навыки применения формул n-го члена прогрессии, суммы n - первых членов, свойств членов прогрессии.
Задачи:
· развивать умения и навыки применять формулы прогрессий при решении задач;
· повысить интерес к предмету, расширить кругозор по данной теме.
Тип урока: урок закрепления материала.
Оборудование урока ИД, презентация.
Ход урока
1. Организационный момент.
2. Самоопределение к деятельности
«Числа управляют миром»,- говорили древнегреческие ученые. «Все есть число». Согласно их философскому мировоззрению, числа управляют не только мерой и весом, но также явлениями, происходящими в природе, и являются сущностью гармонии, царствующей в мире, душой космоса. Так первым четырем числам – 1, 2, 3, 4 – приписывалось: 1 – означает огонь, 2 – землю, 3 – воду, 4 – воздух. Сумма этих чисел – число 10 – изображало весь мир.
Но числа дают возможность самому человеку управлять миром. Сегодня на уроке мы продолжим работать с числами.
Для ввода в тему и мотивации учащихся используется следующая задача:
Улитка ползёт по дереву. За первую минуту она проползла 30см, а за каждую следующую минуту – на 5см больше, чем за предыдущую. За какое время достигнет улитка вершины дерева длиной 5,25м, если считать, что движение начато от его основания?
Вопрос. О каком математическом понятии идет речь в данной задаче?

3.Постановка цели урока.
Продолжить работу над определениями:
1. арифметической прогрессии
2. разности арифметической прогрессии
Совершенствовать навыки применения формул арифметической прогрессии
1. формулы n-го члена
2. формулы суммы n первых членов;
4. Актуализация знаний и умений учащихся
1. Что мы уже знаем об арифметической прогрессии?
· Определение арифметической прогрессии
· определение разности
· формула n-го члена арифметической прогрессии
· свойство n-го члена арифметической прогрессии
Вывод:
Зная эти формулы, можно решать много интересных задач литературного, исторического и практического содержания.
5. Устная работа
v «Проверь себя!»
Какие из последовательностей являются арифметическими прогрессиями?
3, 6, 9, 12,….. (d=3)
5, 12, 18, 24, 30,….. (нет)
7, 14, 28, 35, 49,…. (нет)
5, 15, 25,….,95…. (d=10)
1000, 1001, 1002, 1003,…. (d=1)
1, 2, 4, 7, 9, 11….. (нет)
5, 4, 3, 2, 1, 0, -1, -2,…. (d= - 1)
v «Вычисли устно»
Найти разность арифметической прогрессии:
1; 5; 9………
105; 100….
-13; -15; -17……
11; ? ; 19,….
6. Самостоятельная работа
Проверим, что мы уже умеем делать
Условия задач связаны между собой по принципу эстафеты.

Ответы: 1) d = 0,5; 2) a7 = -1; 3) a1 = 13; 4) n = 71.
7. Выполнение упражнений
Обращаемся к страницам истории.
“Пусть властно по своей орбите нас ритм
сегодняшний кружит –
Вернее будущее видит лишь тот, кто прошлым дорожит”
На этом этапе происходит расширение знаний и умений учащихся через интеграцию с историей.
1. Египетские страницы
Папирус Ахмеса.(2000 до н.э.) В записях
встречается формула
.
Что она может означать? И пользуемся мы такой формулой сегодня?
Решение предложенное учениками:
;
;
; ![]()
Сегодня, используя эту формулу, мы находим сумму первых n членов арифметической прогрессии Оказывается, что 4 тыс. лет назад древние египтяне решали те же задачи, что и мы.
2. Вавилонские страницы.
Исследование клинописных текстов эпохи Хаммурапи (XVIII в до н. э.) открыло для нас задачи на прогрессию.
“10 братьев делят 100 шекелей серебра; брат над братом поднимается, на сколько поднимается я не знаю. Доля восьмого – шесть шекелей. Брат над братом на сколько поднимается?”
Решение: n = 10, Sn = 100, a8 = 6. Найти d. Ответ: на 1,6 шекелей
3. Европейские страницы.
Здесь мы преследуем цель познакомиться с ещё одним из известных математиков.
Об одном интересном эпизоде из жизни немецкого математика К.Ф.Гаусса (1777-1855).
Когда ему было 9 лет, учитель, стремясь надолго занять детей, задал на уроке следующую задачу.
“Сосчитать сумму всех натуральных чисел от 1 до 40”
На удивление учителя один из учеников (это был Гаусс) через минуту воскликнул: “Я уже решил”. В тетради Гаусса было только одно число, но зато верное.
Ребятам предлагается решить туже самую задачу, ведь 9 – летний Гаусс с ней справился. Рассуждения Гаусса – как проверка.

8. «Психологическая разгрузка».
У Вас на столах лежат листы, на которых написаны цифры от 1 до 9. Теперь раскрасьте один ряд двумя разными цветами в любом порядке. Как я это сделала, показано на слайде.
|
1
|
2 |
3 |
4 |
5 |
6 |
7 |
8 |
9 |
А пока Вы раскрашиваете, я расскажу про замечательного математика по фамилии Рамсей. Он жил в начале ХХ века. Им была создана теория, доказывающая, что в мире нет абсолютного хаоса. Что даже, казалось бы, самая неупорядоченная система имеет определенные математические закономерности. Вспомните, когда Вы смотрите на звезды, то может показаться, что расположены они в самом случайном порядке. Но еще в древности люди увидели там созвездия Рыб и Касеопеи, Льва и Ориона.
И вот на ваших карточках казалось бы цифры раскрашены в случайном порядке. Но Рамсей доказал, что это не так, доказав следующий факт: Обратите внимание, что хотя бы три каких – либо числа одного цвета обязательно составляют арифметическую прогрессии. Запишите эти числа.
9.Работа в группах
«Прогрессии в жизни и быту»
1 группа.
№1.
Штангист поднимает штангу весом 45кг.С каждым подходом вес штанги увеличивается на 5 кг. Сколько кг поднимет штангист за 7 подходов?
Дано: арифметическая прогрессия ,а1=45,d=5 ,n=7
Найти: S
Решение
Ответ: за 7 подходов штангист поднимет 420кг
2. группа
При хранении бревен строевого леса их укладывают так, как показано на рисунке.
Сколько бревен находится в одной кладке, если в ее основание положить 12 бревен?
Решение:
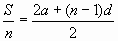
a1=1, a12= 12, S12-?
S12 = (a1+a12)/2*12=(1+12)*6=78
Ответ: 78 бревен
3 группа «Наследство».
Джентльмен получил наследство. Первый месяц он истратил 1000$, а каждый следующий месяц он тратил на 500$ больше, чем в предыдущий. Сколько $ он истратил за второй месяц? За третий? Каков размер наследства, если денег хватило на год такой безбедной жизни?
Решение:
Применив
формулу
, получаем:
Применив
формулу:
, получим:
4. группа
Рабочий выложил плитку следующим образом: в первом ряду - 3 плитки, во втором - 5 плиток и т.д., увеличивая каждый ряд на 2 плитки. Сколько плиток понадобиться для 7 ряда?
Решение:

a1=3, d=2, a7 -?
a7=a1+6*d=3+2*6=15
9. Задачи на арифметическую прогрессию, встречающиеся в ГИА и ЕГЭ
В задачах встречающихся на ЕГЭ
1. Автотурист на автомобиле в первый день проехал 720 км. В каждый следующий он проезжает на 40 км меньше. Сколько дней путешествовал автотурист, если за всё время путешествия он проехал 5040 км?
2. В стране 10 аэропортов. С самого крупного за сутки взлетает 42 самолёта, а с каждого последующего ( в порядке убывания интенсивности) на 4 меньше. Сколько самолётов взлетает в сутки со всех 10 аэропортов?
Задачи встречающиеся в ГИА.
1. Арифметическая прогрессия задана формулой аn=4n -4. Какое из следующих чисел является членом этой прогрессии?
А) 34 Б) 27 В) 72 Г) 10
2. Арифметическая прогрессия задана условиями а1=6, ап+1=ап +6. Какое из данных чисел является членом этой прогрессии?
А) 18 Б) 56 В) 48 Г) 32
3. Арифметическая прогрессия задана условиями а1=3, ап+1=ап – 2,5. Найдите а4?
4. Дана арифметическая прогрессия. а4=3, а9= – 17. Найдите разность этой прогрессии?
5.
Дана
арифметическая прогрессия:
, 2,
, … Найдите сумму первых шести её членов.
6. Между числами 6 и 17 вставьте четыре числа так, чтобы вместе с данными числами они образовали арифметическую прогрессию.
7. Между числами 12 и 26 вставьте три числа так, чтобы вместе с данными числами они образовали арифметическую прогрессию.
8. В арифметической прогрессии а5=10, а11= 40. Найдите а8 -?
9. Найдите сумму всех чётных натуральных чисел от 20 до 200 включительно.
Домашнее задание:
п. 16, № 16.43, № 16.45, № 16.47
Дополнительная задача:
1. Каждый курильщик выкуривает в день в среднем 8 сигарет. После выкуривания первой сигареты в легких оседает 0,0002 г никотина и табачного дёгтя. С каждой последующей сигаретой это количество вредных веществ увеличивается на 0,000001 г. Какое количество никотина и дёгтя оседает в лёгких за год?
10.Рефлексия. Подведение итогов.
И вспомним начало нашего урока, ребята.
Удалось ли за сегодняшний урок сделать чудные открытия?
Как Вы считаете, нам удалось достигнуть поставленных целей?
Ян Амос Коменский говорил: «Считай несчастным тот день или тот час, в который ты не усвоил ничего нового, ничего не прибавил к своему образованию». Я надеюсь, что в сегодняшнем уроке вы найдете для себя хоть крупинку полезного.
Учитель: У каждого из вас на столе карточки (розовая, зелёная, жёлтая). Уходя из класса, прикрепите на доску одну из них.
Карточка розового цвета обозначает: “Я удовлетворён уроком, урок был полезен для меня, я много, с пользой и хорошо работал на уроке, и получил заслуженную оценку, я понимал всё, о чём говорилось и что делалось на уроке”.
Карточка зеленого цвета обозначает: “Урок был интересен, я принимал в нём активное участие, урок был в определённой степени полезен для меня, я отвечал с места, я сумел выполнить ряд заданий, мне было на уроке достаточно комфортно”.
Карточка желтого цвета обозначает: “Пользы от урока я получил мало, я не очень понимал, о чём идёт речь, мне это не очень нужно, домашнее задание я не понял, к ответу на уроке я был не готов”.
Материалы на данной страницы взяты из открытых источников либо размещены пользователем в соответствии с договором-офертой сайта. Вы можете сообщить о нарушении.