|
Дата: |
Урок |
|
|
|
Учитель: |
Количество учащихся: |
Количество отсутствующих: |
|
|
9 класс |
|
- |
|
|
Тема урока: |
Движение тела под действием силы тяжести. Урок 1. Свободное падение и движение тела, брошенного горизонтально. |
|
Учебные цели: |
9.2.2.8 - рассчитывать параметры движения тела в поле тяготения. |
|
Задачи урока: |
· понимать как поле силы тяжести влияет на движение тела; · делать основные лабораторные замеры; · уметь использовать навыки измерения и анализа в лабораторном практикуме; · уметь работать с разным лабораторным оборудованием; · применять формулы в решении задач. |
|
Критерии оценивания: |
Учащийся достиг целей обучения если: · Называет вид траектории при движении в поле силы тяжести · Делает первоначальные замеры. · Может повторить измерения, внеся изменения в первоначальный опыт. · Выделяет тенденцию в опыте. · Выделяет факты мешающие проведению эксперимента. · Может предложить способы улучшения практикума. |
|
Привитие ценностей
|
v Расширять кругозор учащихся, v Развивать у учащихся функциональную грамотность, v Развивать ответственность и самостоятельность в своем обучении; v Развивать навыки сотрудничества. |
|
Языковые цели: |
Научить применять в письменной и устной речи академическую лексику. Термины урока: Парабола, горизонтальное направление, вертикальное направление, компоненты вектора скорости, дальность полета, высота подъема. |
|
Ресурсы урока |
Презентация, карточки с заданиями, штатив, муфта, направляющий желоб, калька=бумага или песок в лотке |
|
Межпредметная связь |
Математика |
|
Материал прошедших уроков: |
Учащиеся знают теорию движения тел в поле силы тяжести |
|
|
ПЛАН |
|
|
Время запланированных мероприятий |
Планируемые мероприятия |
Ресурсы |
|
2 минуты Начало урока
5 минут
5 минут
15 минут
10 минут |
Организационный момент урока. ? Что узнали на прошлом уроке? ? Что знали до этого? Вопросы диалога: Что такое вес тела? Как меняется масса тела при движении дела с ускорением вверх\вниз? Меняется ли при этом вес? Почему так происходит? |
Запись на доске (боковой маркером или фломастером на листах) |
|
(АСТ/START) раздайте своим ученикам листы бумаги (черновики), попросите их смять бумагу, чтобы получить небольшой комок. Поставьте корзину для бумаг на стол и попросите их бросить сои комки в корзину, не вставая с места. Вопросы диалога: · Что вы наблюдали? Какую траекторию? · Как бросали свои комки учащиеся сидящие ближе\дальше? · Отличалась ли траектория броска тех кто стоял ближе\дальше? Объявите тему изучения:Движение тела в поле силы тяжести. |
Черновики бумаги (лучше цветной) Корзина для бумаг |
|
|
(T) Объяснение новой темы. С сегодняшнего дня мы будем рассматривать характер и законы движения тел на которые действует только сила тяжести. Видов движений может быть несколько: движение тел брошенных вертикально вверх, вертикально вниз, горизонтально, под углом к горизонту. Значение знаний этих законов трудно недооценить. Они объясняют падение парашютистов, снарядов, спортсменов на трамплинах и т.д. План объяснения: 1. Общее понятие 2. Свободное падение. Смотри видео по ссылке. 3. Опыты Галилео Галилея 4. Алгоритм решения задач на свободное падение 5. Пример решения задачи 6. Движение тела, брошенного горизонтально
(f\G)Формативное оценивание. Лабораторное исследование зависимости дальности броска от силы удара. Цель: закрепление полученных знаний. Форма работы: парная Оценивание:оценка учителя. Учащиеся, сидящие по парам, проводят небольшое исследование. Для исследования им понадобится рулетка (измерительная лента) и резинка для стирания (можно заменить небольшим шариком). Предложите
ученикам положить стерку на край стола и щелчком пальцев отправить её в
полет. Затем им нужно измерить высоту стола это будет величина h, и
расстояние от парты до лежащей стерки, это величина L. Для исследования нужно повторить опыт 2-3 раза.
При выполнении работы учащиеся сравнивают свои ответы с ответами одноклассников, в случае необходимости учитель проводит корректировку ответов. ПРИЛОЖЕНИЕ 1. |
Презентация
https://www.youtube.com/watch?v=1dlnCyCNL8g
Распечатка для каждого ученика
|
|
|
Конец урока 3 минуты |
Рефлексия урока. Учащиеся рассказывают о том, насколько их ожидания совпали с реально прошедшим уроком отмечают моменты не совсем понятные для выполнения и требующие пояснения учителя.
Задайте вопрос о том, почему не смог самостоятельно выполнить это задание?
Д/З.решить задачи, смотри ПРИЛОЖЕНИЕ 2. |
|
|
Дифференциация – каким образом Вы планируете оказать больше поддержки? Какие задачи Вы планируете поставить перед более способными учащимися? |
Оценивание – как Вы планируете проверить уровень усвоения материала учащимися? |
Здоровье
и соблюдение техники безопасности |
|
|
На данном этапе я планирую оказать поддержку тем ученикам, которые не смогут справиться с предложенными заданиями Все учащиеся будут: при выполнении задания решать задачи и составлять ответы; Большинство учащихся будут: отвечать на поставленные вопросы; частично смогут анализировать полученную информацию; Некоторые учащиеся будут: смогут полностью проанализировать полученную информацию. |
(1) оценкаустных ответов (оценка учителя) (2) самооценка пройденного урока
|
При выполнении письменной работы держать осанку. |
|
|
Рефлексия по уроку
Были ли цели урока/цели обучения реалистичными? Все ли учащиеся достигли ЦО? Если нет, то почему? Правильно ли проведена дифференциация на уроке? Выдержаны ли были временные этапы урока? Какие отступления были от плана урока и почему? |
Используйте данный раздел для размышлений об уроке. Ответьте на самые важные вопросы о Вашем уроке из левой колонки. |
||
|
|
|||
|
Общая оценка
Какие два аспекта урока прошли хорошо (подумайте, как о преподавании, так и об обучении)? 1: 2: Что могло бы способствовать улучшению урока (подумайте, как о преподавании, так и об обучении)? 1: 2: Что я выявил(а) за время урока о классе или достижениях/трудностях отдельных учеников, на что необходимо обратить внимание на последующих уроках? |
|||
ПРИЛОЖЕНИЕ 1
Лабораторное исследование зависимости дальности броска от силы удара.
План исследования:
1.
Измерьте
высоту вашей парты h.
h=………………м
2. Положите стерку на край парты.
3. Щелчком отправьте стерку в полет.
4. Измерьте расстояние от основания парты до места падения стерки.
L1=………………………м.
5. Рассчитайте значение скорости броска.
υ1=……………………………..м\с
6. Повторите опыт два раза., запишите значение скорости во втором и третьем случае.
L2=………………………м. υ2=……………………………..м\с
L3=………………………м. υ3=……………………………..м\с
7. Сравните полученное значение скорости и дальности падения. Какую закономерность вы увидели в вашем опыте.
………………………………………………………………………………………………………………………………………………………………………………………………………………………………………………………………………………………………………………………………
8. Запишите две причины, которые вам мешали сделать измерения с большей точностью.
1. ………………………………………………………………………………………………………
2. .……………………………………………………………………………………………………
9. Запишите две процедуры, которые бы смогли улучшить ваш эксперимент.
1. ………………………………………………………………………………………………………
2. .……………………………………………………………………………………………………
ПРИЛОЖЕНИЕ 2
Домашнее задание
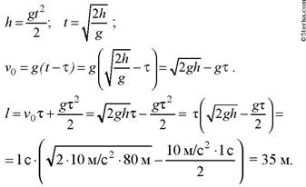
1. Тело свободно падает с высоты 80 м. Определите его перемещение в последнюю секунду падения.

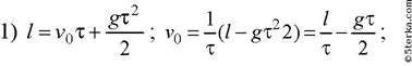
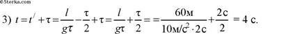
2. Сколько времени падало тело, если за последние 2 с оно прошло 60 м?

![]()
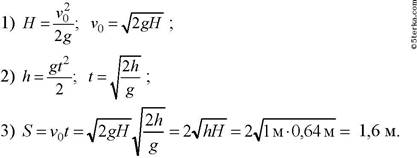
3. «Снаряд» пружинного пистолета при выстреле вертикально вверх поднимается на высоту Н = 1м. Какой будет дальность полета «снаряда», если пистолет установить горизонтально на высоте h = 64 см? Скорость вылета «снаряда» считать в обоих случаях одинаковой.

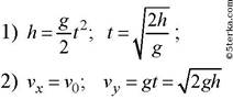
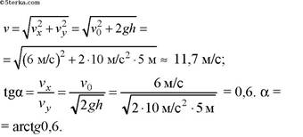
4. Мальчик ныряет в воду с крутого берега высотой 5 м, имея после разбега горизонтально направленную скорость, равную по модулю 6 м/с. Каковы модуль и направление скорости мальчика при достижении им воды?


Скачано с www.znanio.ru
Материалы на данной страницы взяты из открытых источников либо размещены пользователем в соответствии с договором-офертой сайта. Вы можете сообщить о нарушении.