|
Дата: |
Урок |
|
|
|
Учитель: |
Количество учащихся: |
Количество отсутствующих: |
|
|
9 класс |
|
- |
|
|
Тема урока: |
Движение тела под действием силы тяжести. Урок 2. движение тела, брошенного под углом к горизонту. |
|
Учебные цели: |
9.2.2.8 - рассчитывать параметры движения тела в поле тяготения. |
|
Задачи урока: |
· понимать как поле силы тяжести влияет на движение тела; · определять составляющие вектора скорости; · применять формулы в решении задач. |
|
Критерии оценивания: |
Учащийся достиг целей обучения если: · Называет вид траектории при движении в поле силы тяжести · Может в решении задач определить время полета, дальность полета, высоту подъема. |
|
Привитие ценностей
|
v Расширять кругозор учащихся, v Развивать у учащихся функциональную грамотность, v Развивать ответственность и самостоятельность в своем обучении; v Развивать навыки сотрудничества. |
|
Языковые цели: |
Научить применять в письменной и устной речи академическую лексику. Термины урока: Парабола, горизонтальное направление, вертикальное направление, компоненты вектора скорости, дальность полета, высота подъема. |
|
Ресурсы урока |
Презентация, карточки с заданиями |
|
Межпредметная связь |
Математика |
|
Материал прошедших уроков: |
Учащиеся знают теорию движения тел в поле силы тяжести |
|
|
ПЛАН |
|
|
Время запланированных мероприятий |
Планируемые мероприятия |
Ресурсы |
|
2 минуты Начало урока
5 минут
5 минут
15 минут
10 минут |
Организационный момент урока. ? Что узнали на прошлом уроке? ? Что знали до этого? Проверка домашнего задания. Учащиеся перед уроком приглашаются к доске и записывают решение задач. Учитель проверяет верность выполнения. Остальные учащиеся могут сравнить свое решение с решением на доске. Вопросы диалога: Как движется тело в поле силы тяжести? От чего зависит как далеко отлетит тело, брошенное горизонтально? Какой компонент скорости тела, брошенного горизонтально, будет постоянным? Какой компонент скорости тела, брошенного горизонтально, будет изменятся?
|
Запись на доске (боковой маркером или фломастером на листах) |
|
(АСТ/START) Покажите учащимся фото артиллеристской стрельбы по навесу и на дальность. Вопросы диалога: · Что вы наблюдали? Какую траекторию? · Как отличается картинка для стрельбы ближе\дальше? · Отличалась ли траектория стрельбы тех кто стоял ближе\дальше? Объявите тему изучения:Движение тела в поле силы тяжести. |
Презентация фото |
|
|
(T) Объяснение новой темы. План объяснения: 1. Уравнения движения вдоль ось ОХ. 2. Уравнения движения вдоль оси ОУ. 3. Время полета, дальность полета, расчет скорости в любой момент времени. 4. Зависимость дальности полета от угла бросания.
(f\G)Формативное оценивание. Решение заданий. Цель: закрепление полученных знаний. Форма работы: парная Оценивание:самооценка по образцу. Учащиеся, сидящие по парам, решают предложенные задания с собственной скоростью. Одновременно с этим задания решаются у доски. Учитель следит за решением у доски, при этом консультирует учащихся, выполняющих решение самостоятельно с опережением (при необходимости).
При выполнении работы учащиеся сравнивают свои ответы с ответами одноклассников, в случае необходимости учитель проводит корректировку ответов.
ПРИЛОЖЕНИЕ 1. |
Презентация
https://www.youtube.com/watch?v=IDWMJB0OZb0
Распечатка для каждого ученика
|
|
|
Конец урока 3 минуты |
Рефлексия урока. Учащиеся рассказывают о том, насколько их ожидания совпали с реально прошедшим уроком отмечают моменты не совсем понятные для выполнения и требующие пояснения учителя.
Задайте вопрос о том, почему не смог самостоятельно выполнить это задание?
Д/З.решить задачи, смотри ПРИЛОЖЕНИЕ 2. |
|
|
Дифференциация – каким образом Вы планируете оказать больше поддержки? Какие задачи Вы планируете поставить перед более способными учащимися? |
Оценивание – как Вы планируете проверить уровень усвоения материала учащимися? |
Здоровье
и соблюдение техники безопасности |
|
|
На данном этапе я планирую оказать поддержку тем ученикам, которые не смогут справиться с предложенными заданиями Все учащиеся будут: при выполнении задания решать задачи и составлять ответы; Большинство учащихся будут: отвечать на поставленные вопросы; частично смогут анализировать полученную информацию; Некоторые учащиеся будут: смогут полностью проанализировать полученную информацию. |
(1) оценкаустных ответов (оценка учителя) (2) самооценка пройденного урока
|
При выполнении письменной работы держать осанку. |
|
|
Рефлексия по уроку
Были ли цели урока/цели обучения реалистичными? Все ли учащиеся достигли ЦО? Если нет, то почему? Правильно ли проведена дифференциация на уроке? Выдержаны ли были временные этапы урока? Какие отступления были от плана урока и почему? |
Используйте данный раздел для размышлений об уроке. Ответьте на самые важные вопросы о Вашем уроке из левой колонки. |
||
|
|
|||
|
Общая оценка
Какие два аспекта урока прошли хорошо (подумайте, как о преподавании, так и об обучении)? 1: 2: Что могло бы способствовать улучшению урока (подумайте, как о преподавании, так и об обучении)? 1: 2: Что я выявил(а) за время урока о классе или достижениях/трудностях отдельных учеников, на что необходимо обратить внимание на последующих уроках? |
|||
ПРИЛОЖЕНИЕ 1
1.
На рисунке представлена траектория мяча, движущегося
под углом к горизонту. В начальной точке движения изображены начальная скорость
броска и компоненты вектора скорости.
a) В точках А,В,С на этом же рисунке обозначьте как изменится вектор скорости и его компоненты. (4)
b) Определите, как долго летел мяч, если его бросили со скоростью 15 м/с, под углом 20о. (2)
Задача 1. Струя воды в гидромониторе вылетает из ствола со скоростью 50 м/ с под углом 30° к горизонту. Найти дальность полета и наибольшую высоту подъема струи.
|
Дано:
α = 30° |
Решение: Выберем прямоугольную систему координат x0y с началом отсчета в точке О вылета струи. Вдоль оси 0x движение равномерное прямолинейное, так как на струю воды действует только сила тяжести, направленная вертикально вниз. Вдоль оси 0у струя воды движется равнозамедленно до верхней точки траектории (точки А), а вниз – равноускоренно с ускорением свободного падения, направленным вертикально вниз в любой точке траектории. С учетом этого, управления движения струи воды имеют вид: 0x: x= 0y: y=
Для
точки А Тогда формула примет вид:
Следовательно
Найдем
высоту подъема струи:
Для точки падения струи воды (точки В) на землю t= Следовательно, уравнение координаты у примет вид:
Найдем дальность полета:
Так
как Найдем числовые значения h и l:
Ответ:
|
|
Найти: h- ? l- ? |
Задача 2. Под каким углом к горизонту надо бросить тело, чтобы высота его подъема была равна дальности полета?
|
Дано:
h = l |
Решение: Высоту подъема тела {Задача 1) можно определить по формуле:
Дальностьполета:
По условию задачи h = l, следовательно:
Откуда
И
следовательно, Найдем
угол α: Ответ: α ≈ 76°
|
|
Найти: α- ?
|
Задача 3. Под каким углом надо бросить тело, чтобы дальность полета была наибольшей?
|
Дано:
|
Решение: Дальность полета определяется формулой (задача 1):
Дальность
полета будет максимальна при наибольшем значении
Отсюда
Ответ:
α = |
|
Найти: α- ?
|
Задача 4. В какой точке траектории летящий снаряд обладает наименьшей скоростью?
Решение:
Наименьшая
скорость снаряда будет в наивысшей точке траектории, так как в этой точке
вертикальная составляющая скорости (
) равна нулю и скорость определяется
только горизонтальной составляющей (
), которая одинакова во всех точках
траектории.
Задача 5. Как направлено ускорение снаряда после выстрела из ствола орудия, если сопротивление воздуха отсутствует? Как изменится это направление при наличии сопротивления воздуха?
Решение:
Если отсутствует сопротивление воздуха, то ускорение снаряда одинаково во всех точках траектории и направлено вертикально вниз. Это ускорение равно ускорению свободного падения. При наличии сопротивления воздуха ускорение отклонено от вертикали в направлении противоположном движению снаряда.
Задача 6. Тело, брошенное под углом к горизонту, находилось в полете 4 секунды. Какой наибольшей высоты достигло тело?
|
Дано:
l= 4с |
Решение: Время полета тела определим по формуле:
Наибольшая высота подъема тела:
решим систему из двух уравнений:
Откуда
Вычислим:
Ответ:h = 19,6 м.
|
|
Найти: h- ?
|
Задача 7. Мальчик бросил горизонтально мяч из окна, расположенного на высоте 15 м. Сколько времени летел мяч до земли и с какой скоростью он был брошен, если мяч упал на расстоянии 5,3 м от основания дома?
|
Дано: h = 15 м; l=5,3м; g
= 9,8 м/
|
Решение: Для описания движения выберем прямоугольную систему координат х0у, ось у направим вертикально вниз. За начало отсчета координат О примем точку бросания мяча.
0x:
x = 0y:
y = По
условию задачи x = y = В момент приземления y = h; x = l. Тогда определим время полета и начальную скорость:
Вычислим:
Ответ: |
|
Найти: t - ?
|
Задача 8. Шарик, движущийся по столу со скоростью 1 м/с, упал, скатившись на расстояние 0,45 м от стола. Какова высота стола?
|
Дано:
l = S = 0,45 м
|
За начало отсчета координат примем точку, где мяч падал со стола, а за 0 начало отсчета времени — момент сбрасывания. Ось х направим горизонтально, а ось у — вертикально вверх. Движение шарика описывается уравнениями: 0x: x = 0y: y = знак
«-» перед проекцией g, так как направление вектора В момент падения шарика на пол: у = - h; х = l. Из
первого уравнения можно определить время падения шарика: Следовательно, высота, с которой падал шарик:
Ответ: высота стола
|
|
Найти: h - ?
|
Задача 9. Почему бомба, сброшенная с горизонтально летящего самолета, не падает вертикально вниз?
Решение:
Бомба, как и самолет, имеет скорость в горизонтальном направлении и в момент отрыва от самолета вследствие инерции удерживается в этом состоянии движения.
Задача 10. Снаряд вылетает из горизонтально направленного ствола пушки с некоторой скоростью. С какой скоростью вылетел бы тот же снаряд из той же пушки, если бы выстрел был произведен также горизонтально на поверхности Марса, сила притяжения которого составляет 0,38 силы притяжения Земли? Трением в стволе пушки пренебречь.
Решение:
Скорость движения снаряда зависит от величины силы, действующей на снаряд, и от массы снаряда, но не зависит от силы тяжести. Более слабое притяжение Марса повлияло бы на дальность полета снаряда и на форму его траектории движения. Поэтому снаряд будет вылетать из пушки с одинаковой скоростью и на Марсе, и на Земле.
Задача 11.Тело брошено со скоростью V0 под углом α к горизонту. Определите максимальную скорость подъема тела, время его полета, дальность полета, скорость с какой тело упадет на землю и угол, который составляет вектор скорости с горизонтом в точке падения тела на землю.

Дано Решение:
V0,α,g
V,H,t, H = V0t - gt2/2 V0x= V0cosα
V0y = V0sinα Vy= V0y - gt
t = V0y/g = v0sinα/g
S,µ-? H = (V0y)2/g - g(V0y)2/2g = (V0y)2/2g = (V0)2sin2α/2g
H = (V0)2sin2α/2g t = tвверх+ tвниз
H = g(tвниз)2/2
(V0)2sin2α/2g = g(tвниз)2/2 tвниз= V0sinα/g
tвверх= tвнизt = 2t вверх= 2tвниз= 2*V0sinα/g
S = V0xt = V0cosα*2*V0sinα/g = (V0)2*sin2α/g
S = (V0)2*sin2α/g
Vx= V0x= V0cosα
Vy= g tвниз= V0sinα V = V0
tgµ = Vy/Vx= V0sinα/ V0cosα = tgα; µ = α
Задача 12. Кошка прыгает с
подоконника высотой 1,2 метра горизонтально со скоростью 6 метров в секунду. На
какое расстояние от стены она окажется на момент приземления.
Дано Решение:
g =9.8 м/с2S=V0tH=gt2/2 ![]()
V0=6 м/с H=1,2 м
S-? ![]()
Ответ: S=3 м
Задача 13. С башни в
горизонтальном направлении бросили камень с начальной скоростью 10 метров в
секунду. Камень упал на расстоянии 40 метров от основания башни. Сколько
времени камень находился в полете?
Дано Решение:
V0=10 м/с
S=40м
t= 4 c
t-? Ответ: t= 4 c
Задача 14. С вышки бросили
камень в горизонтальном направлении. Через 2 секунды камень упал на землю на
расстоянии 30 метров от вышки. С какой скоростью он упал?
Дано Решение:
g=10 м/с2 S=V0*t
S=30 м Vx= V0= S/t =15м/с t = 2 c Vy= gt = 20м/с
V-?
= 25 м/с
Ответ: V=25 м/с
Задача 15. Шарик катился по
гладкой горизонтальной поверхности стола со скорость 2 метра в секунду.
Докатившись до края стола, шарик падает на пол на расстоянии 0,8 метров от
основания стола. С какой высоты упал шарик?
Дано Решение:
g=10 м/с2 S = V*t, V = V0 t = S/V0= 0.4 м/с
S=0,8
м
V=2 м/с
H-? Ответ: H=0.8 м
Задача 16. Камень брошен горизонтально с некоторой высоты. Через 3 секунды его скорость оказалась направленной под углом 45 градусов к горизонту. Найдите начальную скорость камня.

Дано
Решение:
t=3 c
g=9.8 м/с2
Vx=V0 ;Vy= gt; ![]()
α=450 ![]()
V0-?
Ответ: V0=30м/с
Задача 17. Тело брошено под
углом 60 градусов к горизонту со скоростью 20 метров в секунду. Под каким
углом к горизонту направлено тело через 1,5 секунды.
Дано Решение:
α=600 Vx=V0x=V0cosαVy=V0y- gt=V0sinα - gt
V0=20м/с
t=1.5c
µ-?
![]()
µ= arctg µ=11.30
Ответ: µ =11,30
Задача 18. Тело брошено под
углом 60 градусов к горизонту со скоростью 20 метров в секунду. Через сколько
времени и на какой высоте оно будет иметь скорость направленную под углом 450
к горизонту.
Дано Решение:
α=600 h = V0yt - gt2/2,
β=450 h = V0sinαt - gt2/2 = 9.6м
V0=20м/с V0x= V0cosα, V0y= V0sinα
t-? H-? Vy= V0sinα - gt;
Vx=
V0cosα;
= 0.71c
Ответ: h = 9.6м; t = 0.71c
Задача 19. Два мальчика
играют в мяч, бросая его друг другу. Какой наибольшей высоты достигнет мяч во
время игры, если он от одного игрока к другому летит 2с?
Дано Решение:
t=2 c![]()
g=9.8 м/с2
H-?
Ответ: H = 4.9м
Задача 20. Снаряд вылетел из
дальнобойной пушки со скоростью 1000м/с под углом 30 градусов к горизонту. На
каком расстоянии от пушки снаряд упадет на землю?
Дано: Решение:
V0=1*103м/с
= 0.89*105 = 89км
α=300
S-? Ответ: S = 89км
Задача 21.Из окопа на уровне земли под углом 45 градусов к горизонту бросили гранату с начальной скоростью 9,8 метров в секунду. Каково расстояние между точками бросания и падения?
Дано: Решение:
V0=9,8 м/с
= 9.8*1= 9.8км
α=450
S-? Ответ:S=9,8км

Задача 22. Под каким углом к
горизонту брошено с поверхности земли камень, если известно, что дальность его
полета в 4 раза больше высоты.
Дано: Решение:
S=4h
α-?
S=V0xt; Vy=V0y-gt ;t=V0y/g
V0x=V0cosα; V0y=V0sinα;![]()
![]()
cosα = sinα; tgα =1 =>α=450
Ответ: α = 450.
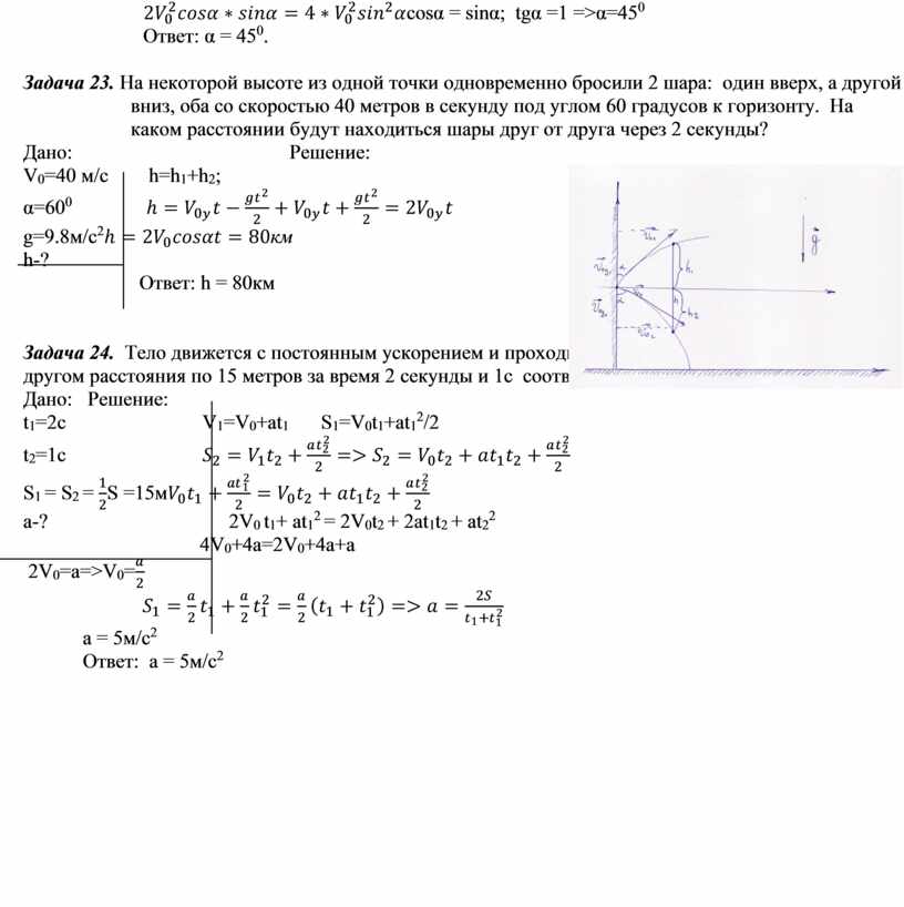
Задача 23. На некоторой
высоте из одной точки одновременно бросили 2 шара: один вверх, а другой вниз,
оба со скоростью 40 метров в секунду под углом 60 градусов к горизонту. На
каком расстоянии будут находиться шары друг от друга через 2 секунды?
Дано: Решение:
V0=40 м/с h=h1+h2;
α=600
![]()
g=9.8м/с2![]()
h-?
Ответ: h = 80км
Задача 24. Тело движется с
постоянным ускорением и проходит одинаковые, следующие друг за другом
расстояния по 15 метров за время 2 секунды и 1с соответственно. Найдите
ускорение.
Дано: Решение:
t1=2c V1=V0+at1 S1=V0t1+at12/2
t2=1c
![]()
S1
= S2 =
S =15м![]()
a-? 2V0 t1+ at12 = 2V0t2 + 2at1t2 + at22
4V0+4a=2V0+4a+a
2V0=a=>V0=![]()
![]()
а = 5м/с2
Ответ: a = 5м/с2
Скачано с www.znanio.ru
Материалы на данной страницы взяты из открытых источников либо размещены пользователем в соответствии с договором-офертой сайта. Вы можете сообщить о нарушении.