4_8 _Решение квадратных уравнений_ Методические рекомендации_5 урок

  • docx
  • 30.04.2020
Публикация на сайте для учителей

Публикация педагогических разработок

Бесплатное участие. Свидетельство автора сразу.
Мгновенные 10 документов в портфолио.

Иконка файла материала 4_8 _Решение квадратных уравнений_ Методические рекомендации_5 урок.docx

Приложение 4

    Теорема Виета и её доказательство обычно легко усваиваются учащимися, однако встречаются ошибки с неправильным распространением формул на квадратные уравнения, в которых первый коэффициент отличен от единицы. Поэтому следует начинать использование этой теоремы (и ей обратной) с проверки, является ли рассматриваемое уравнение приведённым.

       Чтобы распространить теорему на случай квадратного уравнения, имеющего единственный корень надо считать, что в этом случае уравнение имеет два равных корня.

 

Теорема Виета

 

Квадратное уравнение, старший коэффициент которого равен единице называется приведённым.

 Рассмотрим несколько приведенных квадратных уравнений. Найдите их корни, а также сумму и произведение этих корней.

, , ,;

, , ,;

, , ,;

Какие закономерности вы видите между суммой и произведением корней уравнения и его коэффициентами? Попробуйте их сформулировать.

Для каждого из приведенных уравнений сумма корней равна второму коэффициенту с противоположным знаком, а произведение корней равно свободному члену.

Прямая теорема Виета: Сумма корней приведенного квадратного уравнения равна второму коэффициенту, взятому с противоположным знаком, а произведение корней равно свободному члену.

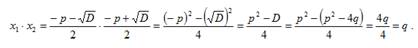
Теорема Виета выполняется для любого приведенного квадратного уравнения, имеющего корни. Докажем эту теорему. Рассмотрим приведенное квадратное уравнение (где старший коэффициент равен 1, второй коэффициент обозначен буквой, свободный член -). Найдем его дискриминант: .

Пусть , тогда уравнение имеет два различных ()  или равных  корня:  и . Найдем сумму и произведение этих корней::

Доказано, что , .

Заметим, что и ранее, и сейчас в случае, когда дискриминант квадратного уравнения равнялся нулю, мы говорили, что уравнение имеет два равных (или одинаковых) корня. Тогда теорема Виета выполняется.

 Если считать, что в этом случае уравнение имеет один корень, то не понятно, как использовать теорему Виета ( что в этом случае считать корнем ).

Теорему Виета легко применять к произвольному квадратному уравнению.

Пусть это уравнение имеет корни  и . Разделим все части уравнения на старший коэффициент   и получим равносильное приведенное квадратное уравнение . Для него (и для исходного уравнения) по доказанной теореме Виета выполняются соотношения: .

 

Ответы к заданиям классной работы:

1. a);

b) ;

c) ;

d) .

2.

Уравнение

Корни   и .

3;1

4

3

-7;1

-6

-7

-3;4

1

-12

3;4

7

12

-5;-3

-8

15

 

3.

Уравнение

 

-7

-10

3

1

18

-91

41,7

 

 

 

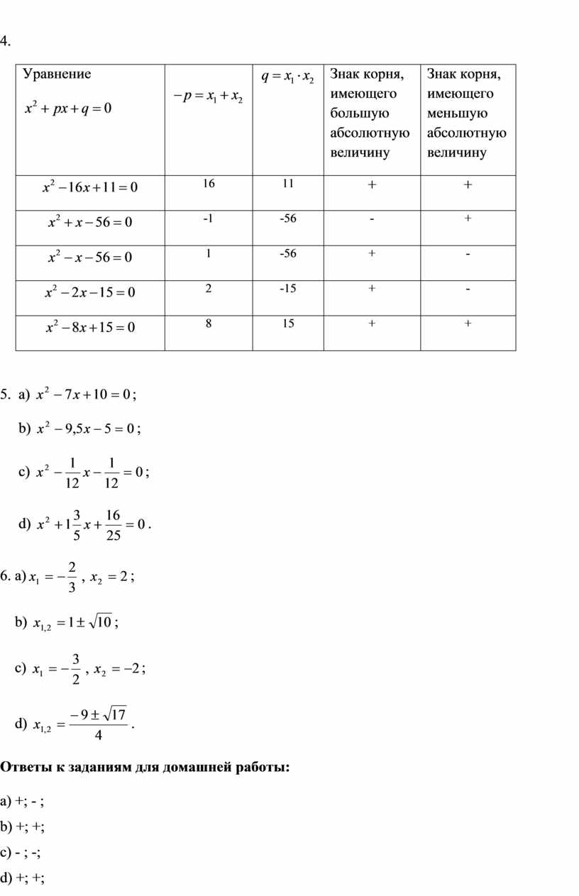
4.

Уравнение

 

 

Знак корня, имеющего большую абсолютную величину

Знак корня, имеющего меньшую абсолютную величину

16

11

+

+

-1

-56

-

+

1

-56

+

-

2

-15

+

-

8

15

+

+

 

5.  a) ;

     b) ;

     c) ;

     d) .

6. a);

    b) ;

    c) ;

    d) .

Ответы к заданиям для домашней работы:

 

a) +; - ;

b) +; +;

c) - ; -;

d) +; +;

е) -; -.

Литература: Алгебра.8 класс: учебник для общеобразовательных учреждений/ [Ю.Н.МакарычевН.Г.Миндюк, К.И. Нешков, С.Б.Суворова]; под редакцией С.А. Теляковского. – М.:Просвещение, 2013.