9_законы Кеплера_перевод с казахского

  • docx
  • 01.05.2020
Публикация на сайте для учителей

Публикация педагогических разработок

Бесплатное участие. Свидетельство автора сразу.
Мгновенные 10 документов в портфолио.

Иконка файла материала 9_законы Кеплера_перевод с казахского.docx

 

Раздел долгосрочного плана:

Астрофизика

Школа :  

Дата : __________2018г

 

Фамилия и имя учителя:.

класс:  9

 

Количесвто присутствующих:

Количество отсутствующих:

Тема урока

Законы движения планет

Цели обучения, достигаемые на уроке

9.7.2.7  объяснить движение небесных тел  по закону Кеплера

 

Цели урока

Учащиеся :

Объясняют и формулируют законы Кеплера

Применяют законы Кеплера при решении задач

 

Критерии успеха

Навыки

Критерии успеха

Знание и понимание

Формулируют законы Кеплера

Могут объяснить движение небесных тел с помощью  законов Кеплера

Применение

Применяют законы кеплера при решении задач

 

Языковые цели

 

Лексика и терминология:

Солнце, Земля , Луна, планеты,комета, астероиды

Фразы для диалога:

В случае увеличения расстояния от Солнца они: ........................

Масса всех планет только вокруг Солнца .............

Нижнее соединение - планета Земля ........................

Планеты вокруг звезд называются Солнцем.

Привитие ценностей

 

ü  Повысить активность учащихся;

ü  Развитие навыков критического мышления;

ü  Улучшение коммуникативных навыков

Навыки использования     ИК     ИКТ

Широкое использование необходимых функций интерактивной доски, выбор эффективных способов поиска информации в Интернете.

Бастапқы білім

 

Строение Солнечной системы

Ход урока

Запланированные этапы урока

Запланированные мероприятия на уроке

 

Ресурсы

Начало урока

0-2

 

 

3-8

1.организационный момент.

Учитель знакомит учащихся с целями обучения и критериями успеха.

2.Проверка домашнего задания

Ответы на вопросы в начале урока и напоминание о предыдущем образовании

1.      Состав Солнечной системы

2.      Конфигурации планет.

 

Середина урока

9-11

 

 

 

 

12-30

 

 

 

 

 

 

 

 

 

 

 

 

 

 

 

31-33

 

 

 

 

 

 

 

 

 

 

34-38

 

 

 

 

 
1.      Работа с классом. Видео-ресурсы 

Тихо Браге, Иоганн Кеплер и движение планет

https://www.youtube.com/watch?v=de_J35xDi_E

2.Работа в группах.
 
Дать  каждой группе нарисовать постер трех законов Кеплера. Обсуждение законов Кеплера в группе
Первый закон Кеплера определяет форму орбиты планеты: все планеты вращаются вокруг  Солнца вдоль эллиптической оси в одной из ее фокальных точек.
Второй закон Кеплера - закон периодовопределяет, что планетарные движения неравномерны: радиус-вектор планеты разделяет одинаковые области за тот же период времени.

Третий закон Кеплера - отношение квадратов Солнца к вращению звезд на планетах равно отношению кубов больших полуосей их орбит..

https://college.ru/astronomy/course/content/javagifs/63230101873133-4.gif
 

 

 

 


3.Работа в парах .

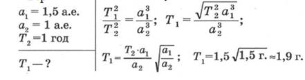
Большая полуось орбиты Марса составляет около 1,5 а.е. Определите период вращения планеты вокруг Солнца .

 

Дано:                            Решение:

3.     Индивидуальная работа. Решение задач.

1.Синодический период планеты  составляет 500 дней. Определите большую полуось его орбиты и звездный период ее вращения.

  2.Сопротивление противостояние планеты повторяется каждые 2 года. Какова большая полуось ее орбиты?

 

 

 

https://www.youtube.com/watch?v=de_J35xDi_E

 

 

ознакомление

 

ноутбуки

 

А-3 бумага

 

 

 

 

 

 

 

 

 

 

 

 

 

 

 

 

 

 

 

 

 

 

Раздаточный материал

 

38-40

 

Рефлексия: « Привыполнении какого задания мне было трудно?»

Домашнее задание: решение задач

Звездный период вращения Юпитера Солнца составляет 12 лет. Каково среднее расстояние от Солнца до Юпитера? (a = 5.2 a.е)

 

 

 

 

Дифференциация – каким образом Вы планируете оказать больше поддержки? Какие задачи Вы планируете поставить перед более способными учащимися?

Оценивание – как Вы планируете проверить уровень усвоения материала учащимися?

Здоровье и соблюдение техники безопасности

Дифференциация может быть в форме выборочных задач, ожидаемых результатов от конкретных учеников, личной поддержки учеников, учебных материалов и ресурсов на основе индивидуальных способностей студентов (сводная теория Гарднера).

Разделение можно использовать на любом этапе класса, учитывая рациональное использование времени

В этом разделе вы пишете методы, которые вы используете для оценки опыта обучения учащихся

Технологии здравоохранения.

Интересные  моменты и виды активной деятельности.

Элементы правил безопасности, используемых в этом уроке

Рефлексия по уроку

 

Были ли цели урока/цели обучения реалистичными?

Все ли учащиеся достигли ЦО?

Если нет, то почему?

Правильно ли проведена дифференциация на уроке?

Выдержаны ли были временные этапы урока?

Какие отступления были от плана урока и почему?

Используйте этот раздел, чтобы высказать свое мнение об уроке. Ответьте на вопросы в левом столбце о своем уроке.

Общая оценка

Какие два аспекта урока прошли хорошо (подумайте  как о преподавании, так и об обучении)?

1.

2.

Что могло бы способствовать улучшению урока (подумайте как о преподавании, так и об обучении)?

 

 

 

 

Что я выявил(а) за время урока о классе или достижениях/трудностях отдельных учеников, на что необходимо обратить внимание на последующих уроках?

 

 

 

 

 

 

 

 

 

 

 

 

 

 

 

 

 

 

 

 

 

 

 

 

 

 

 

 

 

 


 

Скачано с www.znanio.ru