Приложение 2
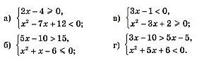
№1. Решите систему неравенств:

Критерии оценивания.
Учащийся
- верно решает линейное неравенство;
- правильно находит корни квадратного трехчлена;
- верно решает квадратное неравенство;
- верно находит пересечение решений двух неравенств.
№2. Решите систему неравенств:

Критерии оценивания.
Учащийся
- верно решает линейное неравенство;
- правильно вычисляет дискриминант квадратного трехчлена;
- верно решает квадратное неравенство;
- верно находит пересечение решений двух неравенств.
Объедините учащихся в пары, предложите им выполнить задание на установление соответствия.
|
Система |
|
Решение |
|
|
|
|
|
|
|
|
|
|
|
|
|
|
|
|
|
|
Свой ответ
|
|
|
|
|
Материалы на данной страницы взяты из открытых источников либо размещены пользователем в соответствии с договором-офертой сайта. Вы можете сообщить о нарушении.