Приложение 1
График квадратичной функции
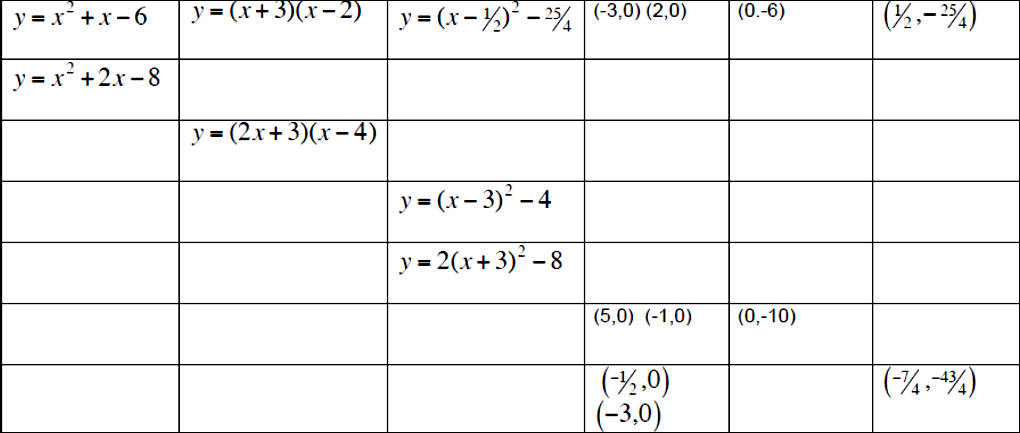
Заполните пустые ячейки таблицы:
|
y=ax2+bx+c |
Разложение на множители |
у=a(x-p)2+q |
Точки пересечения с осью Ох |
Точки пересечения с осью Оу |
Вершина параболы |

Критерии оценивания:
Учащийся
- верно выполняет разложение квадратного трехчлена на множители или записывает квадратный трехчлен по его разложению;
- верно выделяет полный квадрат из квадратного трехчлена или записывает квадратный трехчлен по его выделенному полному квадрату;
- верно определяет точки пересечения параболы с осями координат или по заданным точкам пересечения с осями записывает квадратичную функцию;
- верно определяет вершину параболы или по заданной вершине определяет квадратичную функцию.
Материалы на данной страницы взяты из открытых источников либо размещены пользователем в соответствии с договором-офертой сайта. Вы можете сообщить о нарушении.