Алгебра_8класс_Повторение_Квадратичная функция_Приложение 2 к уроку №3 (1)

  • doc
  • 30.04.2020
Публикация на сайте для учителей

Публикация педагогических разработок

Бесплатное участие. Свидетельство автора сразу.
Мгновенные 10 документов в портфолио.

Иконка файла материала Алгебра_8класс_Повторение_Квадратичная функция_Приложение 2 к уроку №3 (1).doc

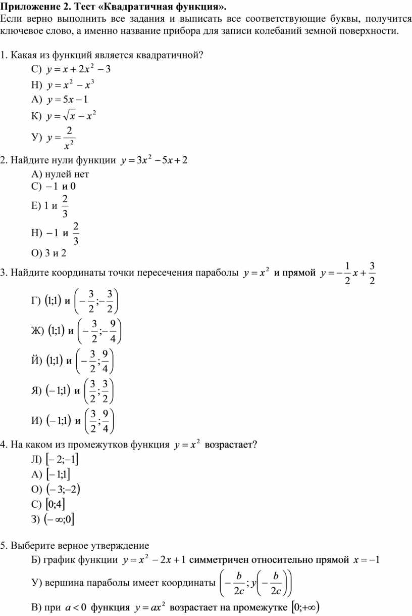
Приложение 2. Тест «Квадратичная функция».

Если верно выполнить все задания и выписать все соответствующие буквы, получится ключевое слово, а именно название прибора для записи колебаний земной поверхности.

 

1. Какая из функций является квадратичной?

С)    

Н)    

А)    

К)    

У)

2. Найдите нули функции

А) нулей нет  

С)  и 0  

Е) 1 и    

Н)  и    

О) 3 и 2

3. Найдите координаты точки пересечения параболы  и прямой

Г)  и    

Ж)  и    

Й)  и

Я)  и    

И)  и

4. На каком из промежутков функция  возрастает?

Л)    

А)    

О)    

С)    

З)

 

5. Выберите верное утверждение

Б) график функции  симметричен относительно прямой

У) вершина параболы имеет координаты

В) при  функция  возрастает на промежутке

Д) функция  имеет фокус в точке

М) графиком квадратичной функции является парабола

 

6. Найдите сумму наибольшего и наименьшего значений функции

, если    .       

О) 4     

Ы) 5     

Ю) 1     

А)       

Е) другой ответ

 

7. Найдите координаты вершины параболы    

А)    

Б)    

В)    

Г)    

Д) другой ответ

 

8. Напишите уравнение параболы, пересекающей оси координат в точках ; ;

К)   

Т)

А)    

Е)    

Р) другой ответ

 

9. Найдите область значений функции

Ц) не определить  

Б)    

Л)    

А)    

У)

 

10. Сумма катетов прямоугольного треугольника равна 12. Найдите катеты, при которых площадь треугольника будет наибольшей.

 

М) 8 и 4  

Ф) 6 и 6  

Н) 9 и 3  

Р) 2 и 10 

Л) 5 и 7

 

Критерий оценивания:

Учащийся

ü получает верное ключевое слово.


ü