Самостоятельная работа

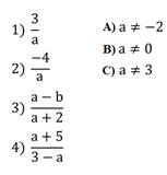
3) Установите соответствие. Запишите ответ следующим образом: 2-А

Самостоятельная работа

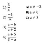
3) Установите соответствие. Запишите ответ следующим образом: 2-А

Материалы на данной страницы взяты из открытых источников либо размещены пользователем в соответствии с договором-офертой сайта. Вы можете сообщить о нарушении.