Приложение 1. Теоретический материал к уроку по теме «Скорость при прямолинейном равноускоренном движении»
Нам известно, что при прямолинейном равноускоренном движении ускорение тела можно рассчитать по формуле
![]()
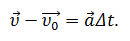
Выразим из этой формулы скорость, которую могло бы иметь тело в конце промежутка времени Δt.
Получим
![]()
![]()
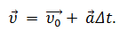
Или
![]()
Мы получили формулу, которая называется уравнением скорости при равноускоренном движении.
Напомним, что по формулам, записанным в векторном виде, вычисления вести нельзя.
Перепишем нашу формулу в проекции на ось х.
![]()
Таким образом, зная проекцию вектора начальной скорости и проекцию вектора ускорения, можно вычислить проекцию вектора мгновенной скорости, которую будет иметь тело к концу любого заданного промежутка времени.
Представим зависимость проекции вектора скорости от времени при равноускоренном движении в виде графика.
Из курса математики вам известна линейная функция
у = kx + b,
где х — аргумент, k — постоянный коэффициент, b — свободный член. Графиком этой функции является прямая линия.
Функция
υx = υ0x + axΔt
тоже линейная с аргументом Δt, постоянным коэффициентом ах и свободным членом υ0х. Значит, графиком этой функции тоже должна быть прямая линия. Расположение этой линии по отношению к осям координат определяется значениями проекции начальной скорости и ускорения.

![]()
Рассмотрим, какой вид будет иметь график скорости в зависимости от знаков проекций ускорения и начальной скорости.
Если проекция вектора скорости тела и его ускорение направлены по оси Ох, то уравнение примет вид
![]()
В этом случае скорость тела с течением времени возрастает. При этом график скорости образует с положительным направлением оси t острый угол.
![]()
Если же проекция вектора скорости тела и его ускорение направлены против оси Ох, то уравнение примет вид
![]()
Скорость тела с течением времени возрастает, но тело, при этом, движется в отрицательном направлении. График скорости образует с положительным направлением оси t тупой угол.

В случае, если скорость тела направлена по оси Ох, а ускорение — против оси Ох, то формула принимает вид
![]()
Скорость тела убывает от некоторого значения до нуля. График скорости образует с положительным направлением оси t тупой угол.
![]()
Когда ускорение направлено по оси х, а начальная скорость против оси х, то формула принимает вид:
![]()
скорость тела с течением времени возрастает. Но при этом график скорости образует с положительным направлением оси t тупой угол.
![]()
Если в начальный момент времени тело покоилось, то уравнение примет вид
![]()
если проекция вектора ускорения направлена по оси Ох, то скорость тела возрастает и график скорости, в этом случае, образует с положительным направлением оси t острый угол и начинается в точке (0;0).
![]()
Или
![]()
если проекция вектора ускорения направлена против оси х. Скорость тела возрастает, но при этом тело движется в отрицательном направлении, но так же начинается в точке (0;0).

И последнее, если проекции начальной скорости и ускорения равны нулю, то тело с течением времени не изменяет своего положения и графиком скорости является прямая, совпадающая с осью времени (тело покоится).
![]()
Материалы на данной страницы взяты из открытых источников либо размещены пользователем в соответствии с договором-офертой сайта. Вы можете сообщить о нарушении.