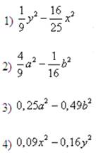
1. Вычислите рациональным способом
1)
![]()
2)
![]()
3)
![]()
4)
![]()
2. Разложите многочлен на множители
1)
![]()
2)
![]()
3)
![]()
4)
![]()
5)
![]()
6)
![]()
3. Представьте в виде произведения.

Материалы на данной страницы взяты из открытых источников либо размещены пользователем в соответствии с договором-офертой сайта. Вы можете сообщить о нарушении.