Формулы сокращённого умножения_Решение текстовых задач_Приложение 1

  • docx
  • 30.04.2020
Публикация на сайте для учителей

Публикация педагогических разработок

Бесплатное участие. Свидетельство автора сразу.
Мгновенные 10 документов в портфолио.

Иконка файла материала Формулы сокращённого умножения_Решение текстовых задач_Приложение 1.docx

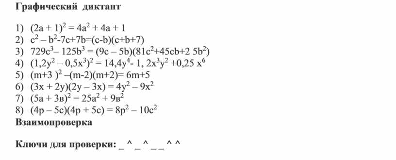
       Графический  диктант  

1)      (2а + 1)2 = 4а2 + 4а + 1

2)      с2b2-7c+7b=(c-b)(c+b+7)

3)      729с3125b3 = (9с 5b)(81с2+45cb+2 5b2)

4)      (1,2у20,5х3)2 = 14,4у4- 1,3у2 +0,25 х6

5)      (m+3 )2 –(m-2)(m+2)= 6m+5

6)      (3х + 2у)(2у – 3х) = 4у2 – 9х2

7)      (5а + 3в)2 = 25а2 + 9в2

8)      (4р – 5с)(4р + 5с) = 8р2 – 10с2

Взаимопроверка

Ключи для проверки: _ ^ _ ^ _ _ ^ ^