Функции и графики_ решение СЛУ граф способом_ приложение1_урок3.docx
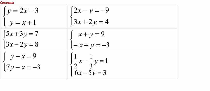
Соотнесите данные графические
решения систем линейных уравнений с их системами
Системы
Материалы на данной страницы взяты из открытых источников либо размещены пользователем в соответствии с
договором-офертой сайта. Вы можете
сообщить о нарушении.
Продолжая использовать наш сайт, вы соглашаетесь с политикой использования Cookies. Это файлы в браузере, которые помогают нам сделать ваш опыт взаимодействия с сайтом удобнее.