Конспект_Умножение и деление алгебраических дробей

  • docx
  • 30.04.2020
Публикация на сайте для учителей

Публикация педагогических разработок

Бесплатное участие. Свидетельство автора сразу.
Мгновенные 10 документов в портфолио.

Иконка файла материала Конспект_Умножение и деление алгебраических дробей.docx

Краткосрочный планn

 

Раздел долгосрочного плана:  7.4С Алгебраические дроби

Школа

Дата:

ФИО учителя:

Класс: 7

Количество присутствующих:

отсутствующих:

Тема урока

Умножение и деление алгебраических дробей.

Цели обучения, которые достигаются на данном  уроке (ссылка на учебную программу)

7.2.1.28 Выполняетсложение, вычитание, умножение и деление алгебраических дробей, например:.

Цели урока

Выполняет сложение, вычитание, умножение, возведение в степень и деление алгебраических дробей.

 

Критерии успеха

Ученик достиг цели, если:

- приводит дробные выражения к общему знаменателю;

- применяет арифметические действия к дробям;

- знает что такое взаимообратные выражения.

 

Языковые цели

 

Учащиеся будут:

-      аргументировано описывать выбор алгебраической дроби из ряда различных выражений;

-      комментировать нахождение области допустимых значений алгебраической дроби;

-      пояснять смысл сокращения дроби;

-      комментировать порядок выполнения действий с алгебраическими дробями;

пояснять выполнение каждого действия с алгебраическими дробями.

 

Лексика и терминология, специфичная для предмета:

-      числитель, знаменатель;

-      допустимые значения переменной;

-      область допустимых значений переменной в выражении;

-      рациональное выражение;

-      целое выражение;

-      дробное выражение;

-      алгебраическая дробь;

-      сокращение дробей;

-      основное свойство дроби;

-      дополнительный множитель;

-      несократимая дробь;

-      умножение (деление) дробей;

-      возведение дроби в степень;

-      «многоэтажная» дробь.

 

Полезные выражения для диалогов и письма:

-      дробь не имеет смысла …;

-      дробь равна нулю тогда, когда … ;

-      чтобы найти область допустимых значений выражения, нужно … ;

-      чтобы привести дроби к общему знаменателю, нужно …;

-      используем разложение числителя и знаменателя дроби на множители для … ;

-      чтобы найти общий знаменатель дробей, нужно …;

-      чтобы найти дополнительные множители для каждой дроби, нужно … ;

-      чтобы изменить знаки слагаемых в числителе (знак перед дробью), … ;

-      чтобы показать, что значение выражения не зависит от значения входящих в него переменных, нужно … ;

заменить дробь тождественно равной ей дробью значит … .

 

Привитие ценностей

Уважение и сотрудничество при парной и групповой формах работы.

1. При обсуждении решения проблемы, каждый учащийся может высказать своё мнение, которое будет принято остальными участниками коллектива и принято на обсуждения для определения правильности суждения, учитель акцентирует на этом внимание.

2. Каждый учащийся, заметив ошибку или недочет может исправить её обосновав это. В этот момент другие учащиеся воспринимают критику взвешено.

3. Учитель очень внимательно слушает всех учеников, показывает им, что слышит мнение каждого из них, желательно давать обратную связь каждому ученику по его ответу.

Сотрудничество нарабатывается при использовании парной и групповой работы, во время оценивания навыков каждого ученика всем классом, при оказании помощи одноклассниками друг другу, если это разрешено учителем.

 

Ключевые навыки

На данном уроке социальные навыки развиваются во время взаимопроверки и взаимо-обучения, которые проводятся на этапах разбора новой темы по ОСУДам, решения задач с комментированием и подробным объяснением, устного рецензирования домашнего задания.

Использование БиС-технологии на уроке позволяет:

1. повысить речевую активность учеников,

2. способствовать поиску информации (обратиться к ОСУДу),

3. научить учеников задавать вопросы, правильно ставить их,

4. формулировать собственное мнение и позицию в устной форме,

5. обучить учеников точно, последовательно и полно передавать информацию.

 

Межпредметные связи

Физика

Навыки использования ИКТ

Использование возможностей интерактивной доски

Предварительные знания

 

Учащимся необходимо вспомнить понятия: наименьшее общее кратное, наибольший больший делитель, дополнительный множитель дроби, формулы сокращённого умножения, разложение многочлена на множители, умножение одночлена и многочлена на одночлен, сложение, вычитание умножение многочленов, взаимообратные числа.

 

Ход урока

Запланиро-ванные этапы урока

Запланированная деятельность на уроке

Ресурсы

Начало урока

2 мин

В начале урока сделать акценты наконцентрацию внимания учащихся и постараться быстро «включить» их в работу на уроке, для этого решить логическую задачу:

От полного стакана кофе я отпил половину и долил столько же молока. Затем я отпил третью часть получившегося кофе с молоком и долил столько же молока. Затем я отпил шестую часть получившегося кофе с молоком, долил стакан молоком доверху и выпил всё до конца. Чего в итоге я выпил больше: молока или чёрного кофе?

(Ответ: молока было выпито 1/2 + 1/3 + 1/6 = 6/6 =1, кофе тоже была одна чашка, значит было выпито поровну кофе и молока.)

 

Совместное определение целей урока.

 

 

Середина урока

26 мин

 

 

 

 

 

 

 

 

 

 

 

 

 

 

 

 

 

 

 

 

 

 

 

 

 

 

 

 

 

 

 

 

 

 

 

 

 

 

 

 

 

 

 

 

 

 

 

 

 

 

 

 

 

 

 

 

 

 

 

 

 

 

 

 

 

 

 

 

 

 

 

 

 

 

 

 

 

 

 

 

 

 

 

 

 

 

 

 

 

 

 

 

 

 

 

 

 

 

 

 

 

 

 

 

 

 

 

 

 

 

 

 

 

 

 

 

 

 

 

 

 

 

 

 

 

 

 

 

 

 

 

 

 

 

 

 

 

 

 

10 мин

Урок проводится по технологии управления качеством обучения в общеобразовательной школе «Биоинформатика и синергетика», автор кандидат педагогических наук, профессор Вассерман Ф.Я.

Объяснение нового материала проводится по ОСУДам (обобщённое средство учебной деятельности), которые должны быть на каждой парте (смотреть приложение к уроку). Учитель объясняет тему по каждому элементу ОСУДа, левая рука указывает на нужный этап схемы, правая рука с мелом – на доске.

 

Учащиеся выполняют задания по тренажёру с дифференцированными заданиями трёх уровней сложности: НПС – нижний порог сложности, ППС – промежуточный порог сложности, ВПС – верхний порог сложности. Учащиеся делают синхронно хлопок и приступают к выполнению заданий уровня НПС, учитель двигается по классу и анализирует степень усвоения учебного материала. Важно увидеть в какой части ОСУДа дети делают ошибку. Количество заданий, которые нужно выполнить учитель определяет на своё усмотрение (исходя из имеющегося времени урока и уровня подготовленности класса). По окончании работы учащиеся обмениваются тетрадями, звучит команда «Ручка в руках – это ошибка». Учитель без объяснения записывает на доске правильные ответы к каждому заданию, каждый ученик в это время проверяет

тетрадь своего соседа, делая пометки карандашом. На доске расположена матрица посадочных мест, например, такая:

В неё учитель вносит результаты заданий: «+» и «-». Если класс вышел на норму 63% выполнения, то учитель может переходить на следующий уровень сложности ППС. Если этого не произошло, учитель приступает ко второму объяснению.

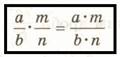
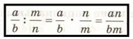
На втором этапе объяснения учитель может приводить следующую формулировку правил и примеры:

 

Пока класс не выйдет на уровень выполнения 63% заданий данного уровня, учитель не может перейти к следующему уровню сложности.

 

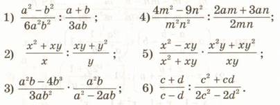
Тренажёр: Умножение и деление алгебраических дробей (смотреть приложение к уроку).

 

 

ФО

Абылкасымова А.Е. «Алгебра, 7», Алматы «Мектеп», 2012 г.

 

 

Шыныбеков А.Н. «Алгебра, 7», Алматы «Атамұра», 2012 г.

 

 

Вассерман Ф.Я. «Технология управления качеством обучения в общеобразовательной школе «Биоинформатика и синергетика»», Алматы «Образовательный технопарк», 2016 г.

 

 

Вассерман Ф.Я., Обмолоткова Е.В. «Методическое руководство для учащихся. Алгебра, 7», Алматы «Образовательный технопарк», 2016 г.

 

Конец урока

1 мин

Рефлексия:

http://3.bp.blogspot.com/-AzddL8VshZM/Uxje8tgXe-I/AAAAAAAACiE/zO59Q67FH7E/s1600/CC+Reflection+Img.png

 

 

1 мин

Домашнее задание

№550Шыныбеков А.Н.

Выполните действия:

 

№553Шыныбеков А.Н.

Выполните действия:

 

Абылкасымова А.Е. «Алгебра, 7», Алматы «Мектеп», 2012 г.

 

Шыныбеков А.Н. «Алгебра, 7», Алматы «Атамұра», 2012 г.

Дифференциация – каким образом Вы планируете оказать больше поддержки? Какие задачи Вы планируете поставить перед более способными учащимися?

Оценивание – как Вы планируете проверить уровень усвоения материала учащимися?

Здоровье и соблюдение техники безопасности

Дифференциация может быть выражена в подборе заданий, в ожидаемом результате от конкретного ученика, в оказании индивидуальной поддержки учащемуся, в подборе учебного материала и ресурсов с учетом индивидуальных способностей учащихся (Теория множественного интеллекта по Гарднеру).

Дифференциация может быть использована на любом этапе урока с учетом рационального использования времени.

Используйте данный раздел для записи методов, которые Вы будете использовать для оценивания того, чему учащиеся научились во время урока.

Здоровьесберегающие технологии.

Используемые физминутки и активные виды деятельности.

Пункты, применяемые из Правил техники безопасности на данном уроке.

Рефлексия по уроку

Были ли цели урока/цели обучения реалистичными?

Все ли учащиеся достигли ЦО?

Если нет, то почему?

Правильно ли проведена дифференциация на уроке?

Выдержаны ли были временные этапы урока?

Какие отступления были от плана урока и почему?

Используйте данный раздел для размышлений об уроке. Ответьте на самые важные вопросы о Вашем уроке из левой колонки. 

 

Общая оценка

 

Какие два аспекта урока прошли хорошо (подумайте как о преподавании, так и об обучении)?

1:

 

2:

Что могло бы способствовать улучшению урока (подумайте как о преподавании, так и об обучении)?

1:

 

2:

Что я выявил(а) за время урока о классе или достижениях/трудностях отдельных учеников, на что необходимо обратить внимание на последующих уроках?

 

 

 

 


 

Скачано с www.znanio.ru