Квадратные корни, иррациональные выражения_Приложение 3 к уроку №1

  • docx
  • 30.04.2020
Публикация на сайте для учителей

Публикация педагогических разработок

Бесплатное участие. Свидетельство автора сразу.
Мгновенные 10 документов в портфолио.

Иконка файла материала Квадратные корни, иррациональные выражения_Приложение 3 к уроку №1.docx

Приложение 3

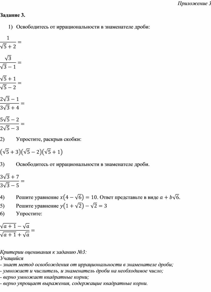
Задание 3.

1)      Освободитесь от иррациональности в знаменателе дроби:

2)                 Упростите, раскрыв скобки:

3)                 Освободитесь от иррациональности в знаменателе дроби.

4)         Решите уравнение . Ответ представьте в виде .

5)         Решите уравнение

6)                 Упростите:

 

Критерии оценивания к заданию №3:

Учащийся

- знает метод освобождения от иррациональности в знаменателе дроби;

- умножает и числитель, и знаменатель дроби на необходимое число;

- верно умножает квадратные корни;

- верно упрощает выражения, содержащие квадратные корни.