Приложение 1
№1. Были куплены «Математические часы». Правильно восстановите часы, вписав соответствующие числа и символы.

В качестве творческого задания составьте дома другой вариант аналогичных часов.
Критерии оценивания:
Учащийся
- находит степень числа;
- извлекает квадратный корень из точного квадрата.
№2. Рассада томатов
была посажена на пришкольном участке квадратной формы, площадь которого 16
м2. Так как
и
, то числа 4 и -4 являются
квадратными корнями из числа 16. Какое из этих двух чисел является длиной
стороны квадрата? Почему?
_____________________________________________________________________________
_____________________________________________________________________________
_____________________________________________________________________________
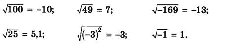
№3. Подчеркните верные равенства:

№4. Укажите есть ли смысл у следующих выражений:

Критерии оценивания:
Учащийся
- знает определение арифметического квадратного корня;
- извлекает корень квадратный из точного квадрата.
Материалы на данной страницы взяты из открытых источников либо размещены пользователем в соответствии с договором-офертой сайта. Вы можете сообщить о нарушении.