Приложение 3
Уровень А
№1. Вычислите:

Критерий оценивания:
Учащийся
- правильно вычисляет арифметический квадратный корень и выполняет заданные действия.
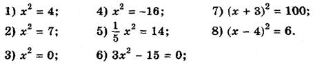
№2. Решите уравнение:
![]()
Критерий оценивания:
Учащийся
-
верно
решает уравнения вида
.
Уровень В
№3. Вычислите:
![]()
Критерий оценивания:
Учащийся
- верно выполняет вычисления со сложными выражениями, содержащие арифметический квадратный корень.
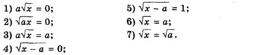
№4. Теңдеулерді шешіңіз:

Критерии оценивания:
Учащийся
-
верно
решает уравнения вида
;
Уровень С
№5. При каких значениях переменной а уравнения
1)
; 2)
а) имеют два корня;
b) имеют один корень;
с) не имеют корней.
Критерии оценивания:
Учащийся
-
проводит анализ о количестве корней уравнения вида
;
- верно записывает допустимое значение (допустимые значения) параметра.
№6. Решите уравнение, где
- постоянная.

Критерии оценивания:
Учащийся
- проводит
анализ уравнения вида
;
- записывает корни уравнения через параметр а.
-
Материалы на данной страницы взяты из открытых источников либо размещены пользователем в соответствии с договором-офертой сайта. Вы можете сообщить о нарушении.