Линейные механические колебательные системы

  • docx
  • 21.06.2024
Публикация на сайте для учителей

Публикация педагогических разработок

Бесплатное участие. Свидетельство автора сразу.
Мгновенные 10 документов в портфолио.

Иконка файла материала 28.Линейные механические колебательные системы(1).docx

Линейные механические колебательные системы

 

Колебания - это повторяющиеся во времени изменения состояния системы. Понятие колебаний охватывает очень широкий круг явлений.

Колебания механических систем, или механические колебания - это механическое движение тела или системы тел, которое обладает повторяемостью во времени и происходит в окрестности положения равновесия. Положением равновесия называется такое состояние системы, в котором она может оставаться сколь угодно долго, не испытывая внешних воздействий.

Например, если маятник отклонить и отпустить, то начнутся колебания. Положение равновесия - это положение маятника при отсутствии отклонения. В этом положении маятник, если его не трогать, может пребывать сколь угодно долго. При колебаниях маятник много раз проходит положение равновесия.

Сразу после того, как отклонённый маятник отпустили, он начал двигаться, прошёл положение равновесия, достиг противоположного крайнего положения, на мгновение остановился в нём, двинулся в обратном направлении, снова прошёл положение равновесия и вернулся назад. Совершилось одно полное колебание. Дальше этот процесс будет периодически повторяться.

Амплитуда колебаний тела - это величина его наибольшего отклонения от положения равновесия.

Период колебаний  T - это время одного полного колебания. Можно сказать, что за период тело проходит путь в четыре амплитуды.

Частота колебаний  \nu  - это величина, обратная периоду:  \nu =1/T. Частота измеряется в герцах (Гц) и показывает, сколько полных колебаний совершается за одну секунду.

Гармонические колебания.

 

Будем считать, что положение колеблющегося тела определяется одной-единственной координатой x. Положению равновесия отвечает значение x=0. Основная задача механики в данном случае состоит в нахождении функции  x(t) , дающей координату тела в любой момент времени.

Для математического описания колебаний естественно использовать периодические функции. Таких функций много, но две из них - синус и косинус - являются самыми важными. У них много хороших свойств, и они тесно связаны с широким кругом физических явлений.

Поскольку функции синус и косинус получаются друг из друга сдвигом аргумента на \pi /2, можно ограничиться только одной из них. Мы для определённости будем использовать косинус.

Гармонические колебания - это колебания, при которых координата зависит от времени по гармоническому закону:

x=Acos(\omega t+\alpha )(1)

Выясним смысл входящих в эту формулу величин.

Положительная величина A является наибольшим по модулю значением координаты (так как максимальное значение модуля косинуса равно единице), т. е. наибольшим отклонением от положения равновесия. Поэтому A - амплитуда колебаний.

Аргумент косинуса  \omega t+\alpha   называется фазой колебаний. Величина \alpha , равная значению фазы при  t=0 , называется начальной фазой. Начальная фаза отвечает начальной координате тела: x_{0}=Acos \alpha .

Величина называется \omega  циклической частотой. Найдём её связь с периодом колебаний T и частотой \nu. Одному полному колебанию отвечает приращение фазы, равное 2 \pi радиан: \omega T=2 \pi, откуда

\omega = \frac{\displaystyle 2\pi }{\displaystyle T}   (2)                    \omega =2 \pi \nu    (3)

Измеряется циклическая частота в рад/с (радиан в секунду).

В соответствии с выражениями (2) и (3) получаем ещё две формы записи гармонического закона (1):

x=Acos(\frac{\displaystyle 2\pi t }{\displaystyle T}+ \alpha), x=Acos(2 \pi \nu t + \alpha)

График функции (1), выражающей зависимость координаты от времени при гармонических колебаниях, приведён на рис. 1.

https://ege-study.ru/wp-content/uploads/2016/04/%D0%BC%D0%BA1.jpg

Рис. 1. График гармонических колебаний

 

Гармонический закон вида (1) носит самый общий характер. Он отвечает, например, ситуации, когда с маятником совершили одновременно два начальных действия: отклонили на величину x_{0} и придали ему некоторую начальную скорость. Имеются два важных частных случая, когда одно из этих действий не совершалось.

Пусть маятник отклонили, но начальной скорости не сообщали (отпустили без начальной скорости). Ясно, что в этом случае x_{0}=A, поэтому можно положить \alpha=0. Мы получаем закон косинуса:

x=Acos \omega t.

График гармонических колебаний в этом случае представлен на рис. 2.

https://ege-study.ru/wp-content/uploads/2016/04/%D0%BC%D0%BA2.jpg

Рис. 2. Закон косинуса

 

Допустим теперь, что маятник не отклоняли, но ударом сообщили ему начальную скорость из положения равновесия. В этом случае x_{0}=0, так что можно положить \alpha =-\pi /2. Получаем закон синуса:  x=Asin \omega t.

График колебаний представлен на рис. 3.

https://ege-study.ru/wp-content/uploads/2016/04/%D0%BC%D0%BA3.jpg

Рис. 3. Закон синуса

Уравнение гармонических колебаний.

Вернёмся к общему гармоническому закону (1). Дифференцируем это равенство:

v_{x}=\dot{x}=-A\omega sin(\omega t+\alpha ).   (4)

Теперь дифференцируем полученное равенство (4):   a_{x}=\ddot{x}=-A\omega^{2} cos(\omega t+\alpha ).   (5)

Давайте сопоставим выражение (1) для координаты и выражение (5) для проекции ускорения. Мы видим, что проекция ускорения отличается от координаты лишь множителем -\omega^{2}:

a_{x}=-\omega^{2}x.    (6)

Это соотношение называется уравнением гармонических колебаний. Его можно переписать и в таком виде:    \ddot{x}+\omega^{2}x=0.    (7)

C математической точки зрения уравнение (7) является дифференциальным уравнением. Решениями дифференциальных уравнений служат функции (а не числа, как в обычной алгебре).
Так вот, можно доказать, что:

-решением уравнения (7) является всякая функция вида (1) с произвольными A, \alpha;

-никакая другая функция решением данного уравнения не является.

Иными словами, соотношения (6), (7) описывают гармонические колебания с циклической частотой \omega и только их. Две константы A, \alpha определяются из начальных условий - по начальным значениям координаты и скорости.

Пружинный маятник - это закреплённый на пружине груз, способный совершать колебания в горизонтальном или вертикальном направлении.

Найдём период малых горизонтальных колебаний пружинного маятника (рис. 4). Колебания будут малыми, если величина деформации пружины много меньше её размеров. При малых деформациях мы можем пользоваться законом Гука. Это приведёт к тому, что колебания окажутся гармоническими.

Трением пренебрегаем. Груз имеет массу m, жёсткость пружины равна k.

Координате x=0отвечает положение равновесия, в котором пружина не деформирована. Следовательно, величина деформации пружины равна модулю координаты груза.

https://ege-study.ru/wp-content/uploads/2016/04/%D0%BC%D0%BA4.jpg

Рис. 4. Пружинный маятник

В горизонтальном направлении на груз действует только сила упругости \vec F со стороны пружины. Второй закон Ньютона для груза в проекции на ось X имеет вид:   ma_{x}=F_{x}. (8)

Знаки  x и   F_{x} всё время противоположны, поэтому закон Гука можно записать так:

F_{x}=-kx

Тогда соотношение (8) принимает вид:   ma_{x}=-kx   или    a_{x}=-\frac{\displaystyle k}{\displaystyle m}x.

Мы получили уравнение гармонических колебаний вида (6), в котором    \omega ^{2}=\frac{\displaystyle k}{\displaystyle m}.

Циклическая частота колебаний пружинного маятника, таким образом, равна:   \omega =\sqrt{\frac{\displaystyle k}{\displaystyle m}}. (9)

Отсюда и из соотношения T=2 \pi / \omega находим период горизонтальных колебаний пружинного маятника:    T=2 \pi \sqrt{\frac{\displaystyle m}{\displaystyle k}}.   (10)

Если подвесить груз на пружине, то получится пружинный маятник, совершающий колебания в вертикальном направлении. Можно показать, что и в этом случае для периода колебаний справедлива формула (10).

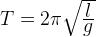
https://ege-study.ru/wp-content/uploads/2016/04/%D0%BC%D0%BA5.jpgМатематический маятник - это небольшое тело, подвешенное на невесомой нерастяжимой нити (рис. 5). Математический маятник может совершать колебания в вертикальной плоскости в поле силы тяжести.

 Найдём период малых колебаний математического маятника. Длина нити равна l. Сопротивлением воздуха пренебрегаем.

Запишем для маятника второй закон Ньютона:  m \vec a=m \vec g + \vec T,

и спроектируем его на ось X:          ma_{x}=T_{x}.

Если маятник занимает положение как на рисунке, то:   T_{x}=-Tsin\varphi =-T\frac{\displaystyle x}{\displaystyle l}.                                                                      Рис. 5. Математический маятник

Если же маятник находится по другую сторону от положения равновесия, то:

T_{x}=Tsin\varphi =-T\frac{\displaystyle x}{\displaystyle l}.

Итак, при любом положении маятника имеем:   ma_{x}=-T\frac{\displaystyle x}{\displaystyle l}.    (11)

Когда маятник покоится в положении равновесия, выполнено равенство T=mg. При малых колебаниях, когда отклонения маятника от положения равновесия малы (по сравнению с длиной нити), выполнено приближённое равенство T \approx mg. Воспользуемся им в формуле (11):

ma_{x}=-mg\frac{\displaystyle x}{\displaystyle l},   или          a_{x}=-\frac{\displaystyle g}{\displaystyle l}x.

Это - уравнение гармонических колебаний вида (6), в котором      \omega ^{2}=\frac{\displaystyle g}{\displaystyle l}.

Следовательно, циклическая частота колебаний математического маятника равна: \omega =\sqrt{\frac{\displaystyle g}{\displaystyle l}} (12)

Отсюда период колебаний математического маятника:  T=2\pi \sqrt{\frac{\displaystyle l}{\displaystyle g}}. (13)

Обратите внимание, что в формулу (13) не входит масса груза. В отличие от пружинного маятника, период колебаний математического маятника не зависит от его массы.

Свободные и вынужденные колебания.

 Говорят, что система совершает свободные колебания, если она однократно выведена из положения равновесия и в дальнейшем предоставлена сама себе. Никаких периодических внешних
воздействий система при этом не испытывает, и никаких внутренних источников энергии, поддерживающих колебания, в системе нет.

Рассмотренные выше колебания пружинного и математического маятников являются примерами свободных колебаний.

https://ege-study.ru/wp-content/uploads/2016/04/%D0%BC%D0%BA6.jpgЧастота, с которой совершаются свободные колебания, называется собственной частотой колебательной системы. Так, формулы (9) и (12) дают собственные (циклические) частоты колебаний пружинного и математического маятников.

В идеализированной ситуации при отсутствии трения свободные колебания являются незатухающими, т. е. имеют постоянную амплитуду и длятся неограниченно долго. В реальных колебательных системах всегда присутствует трение, поэтому свободные колебания постепенно затухают (рис. 6).

Рис. 6. Затухающие колебания

 Вынужденные колебания - это колебания, совершаемые системой под воздействием внешней силы F(t), периодически изменяющейся во времени (так называемой вынуждающей силы).

Предположим, что собственная частота колебаний системы равна \omega_{0}, а вынуждающая сила зависит от времени по гармоническому закону:  F(t)=F_{0}cos \omega t.

В течение некоторого времени происходит установление вынужденных колебаний: система совершает сложное движение, которое является наложением выужденных и свободных колебаний. Свободные колебания постепенно затухают, и в установившемся режиме система совершает вынужденные колебания, которые также оказываются гармоническими.

https://ege-study.ru/wp-content/uploads/2016/04/%D0%BC%D0%BA7.jpgЧастота установившихся вынужденных колебаний совпадает с частотой
\omega вынуждающей силы (внешняя сила как бы навязывает системе свою частоту).

Амплитуда установившихся вынужденных колебаний зависит от частоты вынуждающей силы. График этой зависимости показан на рис. 7.

 Мы видим, что вблизи частоты \omega=\omega_{r} наступает резонанс - явление возрастания амплитуды вынужденных колебаний. Резонансная частота приближённо равна собственной частоте колебаний системы: \omega_{r} \approx \omega_{0}, и это равенство выполняется тем точнее, чем меньше трение в системе.                                     Рис. 7. Резонанс

При отсутствии трения резонансная частота совпадает с собственной частотой колебаний, \omega_{r} = \omega_{0}, а амплитуда колебаний возрастает до бесконечности при \omega \Rightarrow \omega_{0}.

 


 

Скачивание материала доступно только для авторизованных пользователей.