Математика

  • doc
  • 06.05.2020
Публикация на сайте для учителей

Публикация педагогических разработок

Бесплатное участие. Свидетельство автора сразу.
Мгновенные 10 документов в портфолио.

Иконка файла материала 34.doc

Конспект открытого урока на тему

«Преобразования дробных выражений».

                                                                                                

Тема: Преобразования дробных выражений (По учебнику Виленкин и др., Математика 6 класс). Учитель Малкина Е.В., дата 15.12.2016

Оборудование: проектор, карточки с заданиями

Цели: Деятелъностная цель: формирование у учащихся способностей к рефлексии коррекционно-контрольного типа и реализации коррекционной нормы (фиксирование собственных затруднений в деятельности, выявление их причин, построение и реализация проекта выхода из затруднения и т.д.).
Содержательная цель: закрепление и при необходимости коррекция изученных способов действий – понятий, алгоритмов

Планируемый результат: обучающиеся самостоятельно анализируют условие задачи, составляют устный и письменный ответ на поставленную задачу.

Формировние УУД: Коммуникативные: уметь с достаточной полнотой и точностью выражать свои мысли в соответствии с задачами и условиями коммуникации. Регулятивные: осознавать учащимся уровень и качество усвоения результата. Познавательные: владеть общим приемом решения учебных задач. Личностные:   формирование познавательного интереса к изучению нового, способам обобщения и систематизации знаний.

Тип урока Урок отработки умений и рефлексии

Методы обучения:

- репродуктивный;

- частично-поисковый метод;

- метод проблемного изложения.

- дифференциация

Формы организации познавательной деятельности:

- фронтальная;

- групповая;

- индивидуальная.

Ход урока.

 

Этапы урока

Содержание учебного материала.

Деятельность

учителя

 

Деятельность

обучающихся

Формирование УУД

 

1.Организационный момент

 

Мотивация обучающихся

 Здравствуйте, ребята, сегодня у нас не совсем обычный урок, к нам пришли гости. Посмотрите на наших гостей, улыбнитесь им, посмотрите друг на друга и тоже улыбнитесь, ведь от улыбки поднимается настроение.

Ребята, посмотрите в окно. За окном холодно, зябко.

Слайд-----(-Солнышко)

Но я думаю, что сегодня на уроке будет всем комфортно, отношения будут теплыми, потому что каждый из вас будет иметь свое маленькое солнышко. Пусть оно согревает каждого из  вас в течение всего урока.

 

 «Эпиграф к уроку:                     "Умение решать задачи - практическое искусство, подобно плаванию или катанию на лыжах или игре на фортепиано: научиться этому можно, лишь постоянно тренируясь."(Д..Пойа)

Учитель:    Договоримся действовать и не бояться допустить ошибку, ведь не зря в народе говорят  «На ошибках учатся» . А потому сегодня

(Слайд----Девиз урока):

«Не   ошибается

только   тот,  кто

ничего  не  делает.»

Учитель:   Ни для кого не секрет, что человек не сможет стать успешным в этой жизни, не определив для себя цели.

Я постараюсь вам помочь найти свою цель на этот крохотный период вашей жизни,на 45 минут урока. Предлагаю список личностных целей, которые вы сейчас увидите на экране. Прочитаем их вслух.(след.слайд)

 

 

Выберите свою цель, запишите ее номер в тетради, постарайтесь ее достичь в течении урока.

 

Включаются в деловой ритм урока.

 

 

 

 

 

 

 

 

Записывают число, классная работа

 

 

 

 

 

 

 

Читают вслух

Личностные цели:

1. Читать и учиться самостоятельно.

2. Выражать свои мысли в письменной  форме.

3. Грамотно и точно  излагать свои мысли.

4. Уверенно и легко выполнять математические операции.

5. Научиться ничего не принимать на веру.

6. Развить умение по принятию ответственности за свои решения

Выбирают свою цель, записывают ее номер в тетради. (ЦЕЛЬ №…)

 

Коммуникативные УУД: планирование учебного сотрудничества с учителем и одноклассниками.

 

2. Этап актуализации и пробного учебного действия

Формулирование темы урока. Постановка проблемы.

Постановка целей урока.

 

 

 

 

 

 

3. Этап локализации индивидуальных затруднений

 

 

 

4. Этап целеполагания и построения проекта коррекции выявленных затруднений

 

 

 

 

 

 

 

5. Этап реализации построенного проекта

 

 

 

 

 

 

 

 

 

 

 

 

 

 

 

 

 

Физкультминутка

 

 

 

 

 

 

 

 

 

 

 

 

 

 

 

6. Этап обобщения затруднений во внешней речи

 

Как называется самое глубокое озеро в мире? Его называют «жемчужиной» нашей планеты, так как в нём самая чистая вода

(Байкал). Можете ответить на вопрос: какова глубина озера Байкал.

  Не будем гадать, а определим глубину, выполнив следующее задание : Что это за математический объект?

Что необходимо выполнить с дробным выражением, чтобы  ответить на вопрос?

 

Попробуйте сформулировать тему сегодняшнего урока. (сформулировать цель урока)

 

 

 

 

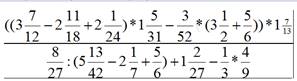
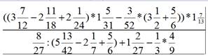
Найдём значение выражения

 

 

 

 

 

 

 

Задания из дом работы: выполняли действия и находили значение дробного выражения. Какие затруднения испытали?

 

 

 

Найти значение дробного выражения.(зад.повыш уровня сложности)

Поднимите руки те, кто сможет преобразовать это выражение.

 

 

 

 

 

 

Предлагаю вашему вниманию сам раб

 

 

 

 

 

 

 

 

 

 

 

 

Ребята, давайте теперь отдохнем.

-Закройте глаза и попытайтесь выполнить то, что я сейчас вам скажу.

-Рисуй глазами треугольник.

-Теперь его переверни вершиной вниз.

-И вновь глазами ты по периметру веди.

-Рисуй 8 вертикально.

-Ты головою не крути,

-А лишь глазами осторожно

-Ты вдоль по линиям води

-И на бочок его клади.

-Теперь следи горизонтально,

- И в центре ты остановись.

-Зажмурься крепко, не ленись.

Молодцы, открыли глазки. Сейчас подвигаемся

 

 

 

Слайды для самопроверки

 

 

 

 

 

 

Основная цель — закрепление способов действий, вызвавших затруднения.
Особое внимание здесь следует уделить тем учащимся, у которых возникли затруднения, лучше, чтобы именно они проговорили вслух правильные способы действий.

 

Дробное выражение

Проговаривают определение Выражение над чертой называют числителем, а под чертой-знаменателем дробного выражения.

Преобразовать, т.е. найти значение.

 

 

 

 

Преобразования дробных выражений Цель урока:

отработка приемов действий с дробными

Объясняют решение, затруднениям

 

 

 

 

 

В оценочном листе ставят оценку:  все три задания верны «5»,

только одно «3», только 2  – «4».

Объясняют решение, затруднения

 

 

Кто не берётся, тот решает задания из сам работы

 

 

 

Сначала расставляют действия

 

 

Переписывают в тетрадь  и решают

Кто справился  с №1,2,3поднимите руки.

 

Ответы:№1  0,0072;  №2  1 ½  или 1,5;   №3   2 ½ или  2,5

осмысленная коррекция учащимися своих ошибок в самостоятельной работе

у которого были затруднения в самостоятельной работе, должен:

·                                 самостоятельно исправить свои ошибки выбранным методом на основе применения выбранных средств, а в случае затруднения - с помощью предложенного эталона для самопроверки

Учащиеся, не допустившие ошибок в самостоятельной работе, продолжают решать задание повышенного  уровня или выступают в качестве консультантов.

 

Класс выполняет упражнения

 

 

 

 

 

 

 

 

 

 

Проводит ученик

 

 

 

 

Переписывают в тетрадь и расставляют действия

 

 

·                                 проговариваются формулировки способов действий, которые вызвали затруднения

 

 

Познавательные УУД (поиск и выделение необходимой информации для решения проблемы, структурирование знаний, осознанное построение речевого высказывания, анализ, выдвижение гипотез и их обоснование).

Коммуникативные УУД (умение полно и точно выражать свои мысли).

Регулятивные  УУД (целеполагание).

Личностные  УУД (самоопределение, смыслообразование).

 

Познавательные УУД (поиск и выделение необходимой информации для решения проблемы, структурирование знаний, осознанное построение речевого высказывания, анализ, выдвижение гипотез и их обоснование).

Коммуникативные УУД (умение полно и точно выражать свои мысли).

 

 

·                                 Познавательные УУД (поиск и выделение необходимой информации, осознанное высказывание, формирование мыслительных операций) организуется обсуждение типовых затруднений

Коммуникативные УУД (умение с достаточной полнотой и точностью выражать свои мысли, владеть монологической и диалогической формами речи).

 

 

 

 

 

 

Осознание

необходимости в упражнениях для глаз (познавательные)

Саморегуляция егулятивные)

Умение слушать (соблюдение тишины) (коммуникативные)

Осознание ценности здоровья

ичностные)

 

 

 

 

 

 

 

 

 

 

 

 

 

 

 

Познавательные УУД (поиск и выделение необходимой информации, осознанное высказывание, формирование мыслительных операций)

Коммуникативные УУД (умение с достаточной полнотой и точностью выражать свои мысли, владеть монологической и диалогической формами речи).

 

7. Этап самостоятельной работы с самопроверкой и взаимопроверкой по эталону

 

Выбирают дифференцированные задания и решают тестовые задания , проверяют ответы

На «3»

На «4»

На  «5»

а

в

а

б

б

б

2х+3

в

в

Числитель – 5,1-3,1

Знаменатель- 0,5+1,5

0,34

2,7

 

 

 

 

 

 

Оцените друг друга. Заполните оценочный лист.

 

Познавательные УУД (поиск и выделение необходимой информации, осознанное высказывание, формирование мыслительных операций)

Коммуникативные УУД (умение с достаточной полнотой и точностью выражать свои мысли, владеть монологической и диалогической формами речи)

8. Этап включения в систему знаний и повторения

 

 Продолжают решать зад.повыш уровня сложности)

Решение задач с комментированием

 

Познавательные УУД (поиск и выделение необходимой информации, самостоятельное применение полученных знаний, рефлексия способов  действия, анализ и синтез).

 

 

9.Подведение итогов. Рефлексия.

Ответьте на вопрос: достигнута ли  личностная цель с помощью сигнальных кружков.

Выберите утверждение, которое  подходит вам :

1.  Было   интересно и все понятно. (Зелёный кружок)

2.   Интересно , но испытываю небольшие   затруднения.(синий)

3.   Многое непонятно, нужна помощь.(красный)

 

Вы поняли что надо для успешного нахождения значения дробного выражения в самостоятельной и  контрольной работах?

-Оцените свою работу на уроке

У кого " 5 "
У кого " 3 " У кого " 4 ",

Отвечают на вопрос: достигнута ли  личностная цель с помощью сигнальных кружков.

Итоговая ( средняя арифметическая)оценка за урок

 

Поднимают руки

Регулятивные УУД (оценка, выделение и осознание обучающимися того, что уже усвоено и что еще нужно усвоить, осознание качества и уровня усвоения; оценка результатов работы.

Коммуникативные УУД (умение с достаточной полнотой и точностью выражать свои мысли,

Личностные УУД (нравственно- этическая ориентация, смыслообразование).

10.Домашнее задание.

Выполнить тест по темам: Нахождение числа по его дроби. Дробные выражения в двух вариантах

Выбирают задание из предложенных учителем с учетом индивидуальных возможностей

Повторяют правило  нахождения числа по его дроби..

Личностные УУД (нравственный аспект поведения).

 


Скачано с www.znanio.ru

Скачивание материала доступно только для авторизованных пользователей.