математика_7 класс_формулы сокращенного умножения_Деление на группы.docx
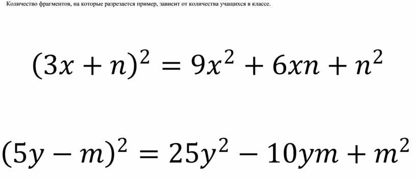
Количество фрагментов, на которые разрезается
пример, зависит от количества учащихся в классе.
Материалы на данной страницы взяты из открытых источников либо размещены пользователем в соответствии с
договором-офертой сайта. Вы можете
сообщить о нарушении.
Продолжая использовать наш сайт, вы соглашаетесь с политикой использования Cookies. Это файлы в браузере, которые помогают нам сделать ваш опыт взаимодействия с сайтом удобнее.