математика_7класс_Преобразование алгебраических дробей_поурочный_ план

  • docx
  • 30.04.2020
Публикация на сайте для учителей

Публикация педагогических разработок

Бесплатное участие. Свидетельство автора сразу.
Мгновенные 10 документов в портфолио.

Иконка файла материала математика_7класс_Преобразование алгебраических дробей_поурочный_ план.docx

Раздел:7.4С Алгебраические дроби

Школа:

Дата:

ФИО учителя:

Класс: 7

Количество присутствующих:

отсутствующих:

Тема урока

Преобразования алгебраических дробей

Тип урока

Комбинированный

Ссылка на учебную программу

7.2.1.29

упрощать выражения, содержащие алгебраические дроби, например:

Цели урока

Развивать умения упрощать выражения содержащие алгебраические дроби;

Закрепить умения преобразовывать алгебраические выражения.

Критерии оценивания

Учащийся достиг цели, если:

-Умеет упрощать выражения содержащие алгебраические дроби;

-Умеет преобразовывать алгебраические дроби.

Языковые цели

 

Учащиеся смогут:

Вести рассуждения об упрощении алгебраических дробей.

Выражать устно составные части дробных выражений.

Предметная лексика и терминология:

Дробь, знаменатель, числитель, член, переменная, (отрицательное/положительное) целое число,

сумма, разность, квадратный корень, в степени, в квадрате

плюс, минус, умножить, разделить на

дробные выражения, многочлен.

Полезная серия фраз для диалога/письма:

Дробь – это число, ……

Дробное выражение – это …

Упростить алгебраическую дробь, значит…

Привитие ценностей

Уважение, сотрудничество, открытость, умение работать в группе.

Межпредметные связи

 

Навыки использования ИКТ

Использование интерактивной доскив качестве демонстрационного средства и средства записи.

 

Предварительные знания

 

Учащиеся знают следующие понятия: числитель, знаменатель, дробь, переменная, степень переменной, одночлены, многочлены, сложение и вычитание алгебраических дробей, умножение и деление алгебраических дробей

Ход урока

Запланированные этапы урока

Запланированная деятельность на уроке

Ресурсы

Начало урока

 

2 минуты

 

 

 

 

 

 

 

 

 

 

3 минуты

 

 

 

 

 

 

 

2 минуты

 

 

 

 

 

 

 

 

 

 

 

8 минут

 

 

 

 

 

15 минут

 

 

 

 

 

 

 

 

 

 

 

 

12 минут

 

 

 

 

 

 

 

 

 

 

 

 

 

 

 

 

 

 

 

 

 

 

 

 

 

 

 

 

 

 

 

 

 

 

 

 

 

 

3 минуты

 

 

 

 

 

 

 

 

 

 

Организационный момент. Психологический настрой на урок.

Тренинг: «Приветствие»

Каждая страна имеет свои традиции, обычаи, символы и приветствие. Приветствие  символизирует доброжелательность, открытость и доверительное отношение друг другу.

Ребята, давайте вспомним, как приветствуют друг друга  люди в разных странах.

Например: в Казахстане, России, Англии, Зеландии, Японии.

Учащиеся приветствуют друг друга и настраиваются на позитивное отношение к уроку, создают комфортную атмосферу в классе.

Проверка домашнего задания.

Мозговой штурм:

  • В чём заключается основное свойство дроби?
  • Что значит сократить дробь?
  • Какие основные формулы сокращённого умножения вы знаете?
  • Как сложить(вычесть) дроби с одинаковыми знаменателями?
  • Как привести дроби к общему знаменателю?

1. Найдите ошибку!

 

 

 

Работа в парах

 Если удвоить каждое значение x и у, то изменится ли значение этих дробей?

 

Работа в группе

Упростите выражения.

1)

2)

3)

4)

 

Самостоятельная работа. Учащиеся самостоятельно выбирают уровень.

Уровень  A

Упростите выражения.

 

Уровень В

Упростите выражение.

 

Уровень C

Покажите, что значение следующего выражения не зависит от  y.

 

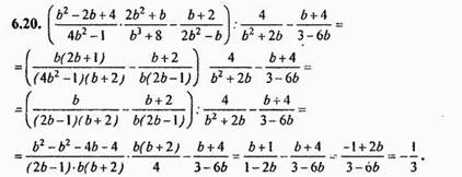
Дополнительное задание.

http://trainingst.ru/gdz/192aaa/20111112105657.jpeg

Решение.

http://trainingst.ru/gdz/192aaa/20111112105657.jpeg

 

 

Рефлексия.

«Три М».

Учащимся предлагается назвать три момента, которые у них получились хорошо в процессе урока, и предложить одно действие, которое улучшит их работу на следующем уроке.

Домашнее задание:

Упростите:

  а) ;   

  б) .

в) ;  

г) .

 

Презентация

 

 

 

 

 

 

 

 

 

 

 

 

 

 

 

 

 

 

 

 

Презентация

 

 

 

 

 

 

 

 

Презентация

 

 

 

 

 

 

Приложение

 

 

 

 

 

 

 

 

 

 

 

Приложение

 

 

 

 

 

 

 

 

 

 

 

 

 

 

 

 

 

 

 

 

 

Приложение

 

 

 

 

 

 

 

 

 

 

 

 

 

 

 

Приложение

 

Дифференциация – каким образом Вы планируете оказать больше поддержки? Какие задачи Вы планируете поставить перед более способными учащимися?

 

Более способным учащимся предлагаются задания более сложного уровня.

В ходе парной работы подготовленные учащиеся оказывают помощь в решении учащимся с более низким уровнем подготовленности.

Оценивание – как Вы планируете проверить уровень усвоения материала учащимися?

Уровень усвоения материала планируем проверить при помощи обратной связи учащихся оцениваем по критериям «достиг» или «стремится».

Здоровье и соблюдение техники безопасности

Между основными этапами урока провести физминутку «зарядку для глаз»

Рефлексия по уроку

Были ли цели урока/цели обучения реалистичными?

Все ли учащиеся достигли ЦО?

Если нет, то почему?

Правильно ли проведена дифференциация на уроке?

Выдержаны ли были временные этапы урока?

Какие отступления были от плана урока и почему?

Используйте данный раздел для размышлений об уроке. Ответьте на самые важные вопросы о Вашем уроке из левой колонки.

 

 

 

Общая оценка

 

Какие два аспекта урока прошли хорошо (подумайте как о преподавании, так и об обучении)?

1:Оценивание

Что могло бы способствовать улучшению урока (подумайте, как о преподавании, так и об обучении)?

1:

Что я выявил(а) за время урока о классе или достижениях/трудностях отдельных учеников, на что необходимо обратить внимание на последующих уроках?

 

Дать больше возможности учащимся говорить свои идеи и мысли.

 


 

           

 

 

 

 

 

 

 

 

 


 

Скачано с www.znanio.ru